700.二叉搜索树中的搜索(二叉树算法) - 实践
700.二叉搜索树中的搜索
力扣题目地址
给定二叉搜索树(BST)的根节点 root 和一个整数值 val。
你需要在 BST 中找到节点值等于 val 的节点。 返回以该节点为根的子树。 如果节点不存在,则返回 null 。
示例 1:

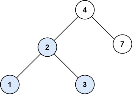
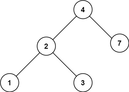
输入:root = [4,2,7,1,3], val = 2
输出:[2,1,3]
示例 2:

输入:root = [4,2,7,1,3], val = 5
输出:[]
提示:
- 树中节点数在
[1, 5000]范围内 1 <= Node.val <= 107root是二叉搜索树1 <= val <= 107
算法公开课
《代码随想录》算法视频公开课 (opens new window):不愧是搜索树,这次搜索有方向了!| LeetCode:700.二叉搜索树中的搜索 (opens new window),相信结合视频在看本篇题解,更有助于大家对本题的理解。
#思路
之前我们讲的都是普通二叉树,那么接下来看看二叉搜索树。
在关于二叉树,你该了解这些! (opens new window)中,我们已经讲过了二叉搜索树。
二叉搜索树是一个有序树:
- 若它的左子树不空,则左子树上所有结点的值均小于它的根结点的值;
- 若它的右子树不空,则右子树上所有结点的值均大于它的根结点的值;
- 它的左、右子树也分别为二叉搜索树
这就决定了,二叉搜索树,递归遍历和迭代遍历和普通二叉树都不一样。
本题,其实就是在二叉搜索树中搜索一个节点。那么我们来看看应该如何遍历。
#递归法
- 确定递归函数的参数和返回值
递归函数的参数传入的就是根节点和要搜索的数值,返回的就是以这个搜索数值所在的节点。
代码如下:
TreeNode* searchBST(TreeNode* root, int val)
- 确定终止条件
如果root为空,或者找到这个数值了,就返回root节点。
if (root == NULL || root->val == val) return root;
- 确定单层递归的逻辑
看看二叉搜索树的单层递归逻辑有何不同。
因为二叉搜索树的节点是有序的,所以可以有方向的去搜索。
如果root->val > val,搜索左子树,如果root->val < val,就搜索右子树,最后如果都没有搜索到,就返回NULL。
代码如下:
TreeNode* result = NULL;
if (root->val > val) result = searchBST(root->left, val);
if (root->val < val) result = searchBST(root->right, val);
return result;
很多录友写递归函数的时候 习惯直接写 searchBST(root->left, val),却忘了 递归函数还有返回值。!!!我就是错在这一步!
递归函数的返回值是什么? 是 左子树如果搜索到了val,要将该节点返回。 如果不用一个变量将其接住,那么返回值不就没了。
所以要 result = searchBST(root->left, val)。
/*** Definition for a binary tree node.* public class TreeNode {* int val; // 节点存储的值* TreeNode left; // 指向左子节点的引用* TreeNode right;// 指向右子节点的引用* TreeNode() {} // 默认构造函数* TreeNode(int val) { this.val = val; } // 构造函数:仅值* TreeNode(int val, TreeNode left, TreeNode right) { // 构造函数:值+左右子树* this.val = val;* this.left = left;* this.right = right;* }* }*/
class Solution {/*** 在二叉搜索树(BST)中查找值为 val 的节点(LeetCode 第700题:Search in a Binary Search Tree)** 使用递归方式实现深度优先搜索(DFS),利用 BST 的性质(左 < 根 < 右)* 来决定搜索方向,避免无效分支。** @param root BST 的根节点* @param val 要查找的目标值* @return 如果存在值为 val 的节点,则返回该节点;否则返回 null*/public TreeNode searchBST(TreeNode root, int val) {// 调用递归辅助方法进行实际查找return searchBST1(root, val);}/*** 递归辅助方法:在以 root 为根的子树中查找值为 val 的节点** @param root 当前递归到的节点* @param val 目标值* @return 找到则返回目标节点,否则返回 null*/public TreeNode searchBST1(TreeNode root, int val) {// 基础情况1:当前节点为空(到达叶子的子节点),说明未找到目标值if (root == null) return null;// 基础情况2:当前节点的值等于目标值,找到目标,直接返回该节点if (root.val == val) return root;// 定义结果变量,用于接收递归调用的返回值TreeNode res = null;// 情况1:当前节点值大于目标值 → 目标应在左子树中if (root.val > val && root.left != null) {// 递归搜索左子树,并将结果赋值给 resres = searchBST1(root.left, val);}// 情况2:当前节点值小于目标值 → 目标应在右子树中// 注意:这里使用的是独立的 if,不是 else ifif (root.val < val && root.right != null) {// 递归搜索右子树,并将结果赋值给 res(会覆盖前面的 res)res = searchBST1(root.right, val);}// 返回查找结果// 如果两个 if 都没执行,res 保持为 null// 如果某个分支找到了,res 就是目标节点return res;}
}
迭代法
一提到二叉树遍历的迭代法,可能立刻想起使用栈来模拟深度遍历,使用队列来模拟广度遍历。
对于二叉搜索树可就不一样了,因为二叉搜索树的特殊性,也就是节点的有序性,可以不使用辅助栈或者队列就可以写出迭代法。
对于一般二叉树,递归过程中还有回溯的过程,例如走一个左方向的分支走到头了,那么要调头,在走右分支。
而对于二叉搜索树,不需要回溯的过程,因为节点的有序性就帮我们确定了搜索的方向。
例如要搜索元素为3的节点,我们不需要搜索其他节点,也不需要做回溯,查找的路径已经规划好了。
中间节点如果大于3就向左走,如果小于3就向右走,如图:

所以迭代法代码如下:
class Solution {// 迭代,利用二叉搜索树特点,优化,可以不需要栈public TreeNode searchBST(TreeNode root, int val) {while (root != null)if (val < root.val) root = root.left;else if (val > root.val) root = root.right;else return root;return null;}
}
下面这个是我自己想的(使用了空间咯咯哒):
/*** Definition for a binary tree node.* public class TreeNode {* int val; // 节点存储的值* TreeNode left; // 指向左子节点的引用* TreeNode right;// 指向右子节点的引用* TreeNode() {} // 默认构造函数* TreeNode(int val) { this.val = val; } // 构造函数:仅值* TreeNode(int val, TreeNode left, TreeNode right) { // 构造函数:值+左右子树* this.val = val;* this.left = left;* this.right = right;* }* }*/
class Solution {/*** 在二叉搜索树(BST)中查找值为 val 的节点(LeetCode 第700题:Search in a Binary Search Tree)** 使用广度优先搜索(BFS / 层序遍历)的方式遍历整棵树,寻找目标值。** 虽然 BST 具有有序性(左 < 根 < 右),理论上可用 O(h) 时间完成查找,* 但本解法采用 BFS 遍历所有可能路径,仍能正确找到目标节点。** @param root BST 的根节点* @param val 要查找的目标值* @return 如果存在值为 val 的节点,则返回该节点;否则返回 null*/public TreeNode searchBST(TreeNode root, int val) {// 边界情况:如果根节点为空,直接返回 nullif (root == null) return null;// 创建一个队列用于层序遍历(BFS)Queue queue = new LinkedList<>();// 将根节点入队,作为遍历起点queue.offer(root);// 当队列不为空时,持续处理每一层的节点while (!queue.isEmpty()) {// 从队列中取出一个节点进行处理TreeNode node = queue.poll();// 检查当前节点的值是否等于目标值if (node.val == val) {// 找到目标节点,立即返回return node;}// 利用 BST 性质进行剪枝优化:// 如果当前节点值大于目标值,说明目标应在左子树if (node.val > val && node.left != null) {queue.offer(node.left); // 将左子节点加入队列等待处理}// 如果当前节点值小于目标值,说明目标应在右子树if (node.val < val && node.right != null) {queue.offer(node.right); // 将右子节点加入队列等待处理}// 注意:这里没有将“错误方向”的子节点入队(如 node.val > val 时不加 right)// 这正是利用了 BST 的有序性,避免无效搜索,提高效率}// 遍历结束仍未找到目标值,返回 nullreturn null;}
}