文章目录
- 1. 线性可分SVM 与 硬间隔最大化
- 1.1 线性可分SVM
- 1.2 函数间隔、几何间隔
- 1.3 间隔最大化
- 2. 线性SVM 与 软间隔最大化
- 2.1 线性SVM
- 3. 非线性SVM 与 核函数
- 3.1 核技巧/核函数
- 3.2 常用核函数
- 3.3 非线性SVM分类
- 4. 序列最小最优化算法
- 5. sklearn SVC 实例
- 6. 课后习题
- 支持向量机(SVM)是一种二类分类模型。
- 支持向量机还包括核技巧,实质上是非线性分类器。
- 学习策略:间隔最大化
- 学习算法:求解凸二次规划的最优化算法。
- 当训练数据线性可分时,通过硬间隔最大化(hard margin maximization),学习一个线性的分类器,即线性可分支持向量机,又称为硬间隔支持向量机
- 当训练数据近似线性可分时,通过软间隔最大化(soft margin maximization),也学习一个线性的分类器,即线性支持向量机,又称为软间隔支持向量机
- 当训练数据线性不可分时,通过使用核技巧(kernel trick)及软间隔最大化,学习非线性支持向量机
- 核函数(kernel function)表示将输入从输入空间映射到特征空间得到的特征向量之间的内积。通过使用核函数可以学习非线性支持向量机,等价于隐式地在高维的特征空间中学习线性支持向量机
1. 线性可分SVM 与 硬间隔最大化
1.1 线性可分SVM
输入都由输入空间转换到特征空间,支持向量机的学习是在特征空间进行的。
- 假设数据集线性可分
- 找到分离超平面将数据分为 +1,-1类
- 感知机 利用误分类最小的策略,求得分离超平面,有无穷多个
- 线性可分SVM 利用间隔最大化求最优分离超平面,解是唯一的
1.2 函数间隔、几何间隔
超平面 (ω,b)(\omega,b)(ω,b) 关于样本 (xi,yi)(x_i,y_i)(xi,yi) 的函数间隔:
γ^i=yi(ω∙xi+b)\hat \gamma_i = y_i(\omega \bullet x_i +b)γ^i=yi(ω∙xi+b)
超平面 (ω,b)(\omega,b)(ω,b) 关于数据集 TTT 的函数间隔:对所有点,取 min\minmin
γ^=mini=1,...,Nγ^i\hat \gamma = \min\limits_{i=1,...,N}\hat \gamma_iγ^=i=1,...,Nminγ^i
超平面 (ω,b)(\omega,b)(ω,b) 关于样本 (xi,yi)(x_i,y_i)(xi,yi) 的几何间隔:
γi=yi(ω∣∣ω∣∣2∙xi+b∣∣ω∣∣2)\gamma_i = y_i\bigg(\frac{\omega}{||\omega||_2} \bullet x_i +\frac{b}{||\omega||_2}\bigg)γi=yi(∣∣ω∣∣2ω∙xi+∣∣ω∣∣2b)
超平面 (ω,b)(\omega,b)(ω,b) 关于数据集 TTT 的几何间隔:对所有点,取 min\minmin
γ=mini=1,...,Nγi\gamma = \min\limits_{i=1,...,N}\gamma_iγ=i=1,...,Nminγi
函数间隔、几何间隔的关系
γi=γ^i∣∣ω∣∣2,γ=γ^∣∣ω∣∣2\gamma_i = \frac{\hat \gamma_i}{||\omega||_2},\quad \gamma = \frac{\hat \gamma}{||\omega||_2}γi=∣∣ω∣∣2γ^i,γ=∣∣ω∣∣2γ^
- 如果 ∣∣ω∣∣2=1||\omega||_2 = 1∣∣ω∣∣2=1,那么函数间隔和几何间隔相等。
- 如果超平面参数 w 和 b 成比例地改变(超平面没有改变),函数间隔也按此比例改变,而几何间隔不变。
1.3 间隔最大化
SVM学习的基本想法:能够正确划分,且几何间隔最大的分离超平面
- 几何间隔 最大的分离超平面是唯一的。
- 这里的间隔最大化又称为硬间隔最大化(与训练数据集近似线性可分时的软间隔最大化相对应)
- 间隔最大化 的直观解释是:以充分大的确信度对训练数据进行分类。这样的超平面应该对未知的新实例有很好的分类预测能力
线性可分SVM学习最优化问题:
minw,b12∥w∥2\color{red}\min _{w, b} \quad \frac{1}{2}\|w\|^{2} \quad \quad \quad \quad \quad \quad \quad \quad \quad \quad \quad \quad \quad \quad w,bmin21∥w∥2
s.t.yi(w∙xi+b)−1⩾0,i=1,2,⋯,N\color{red}s.t. \quad y_{i}\left(w \bullet x_{i}+b\right)-1 \geqslant 0, \quad i=1,2, \cdots, Ns.t.yi(w∙xi+b)−1⩾0,i=1,2,⋯,N
求得最优化问题的解为 w∗w^*w∗,b∗b^*b∗,得到线性可分支持向量机,分离超平面是
w∗∙x+b∗=0w^{*} \bullet x+b^{*}=0w∗∙x+b∗=0
分类决策函数是
f(x)=sign(w∗∙x+b∗)f(x)=\operatorname{sign}\left(w^{*} \bullet x+b^{*}\right)f(x)=sign(w∗∙x+b∗)
- 支持向量、间隔边界
在线性可分情况下,样本点中与分离超平面距离最近的样本点的实例称为支持向量(support vector)

- 决定分离超平面时只有支持向量起作用,而其他实例点并不起作用
- 移动支持向量将改变所求的解;在间隔边界以外移动其他实例点,甚至去掉这些点,解不变
- 支持向量在确定分离超平面中起着决定性作用,支持向量的个数一般很少,所以SVM由很少的
“重要的”训练样本确定
对偶问题:
minα12∑i=1N∑j=1Nαiαjyiyj(xi∙xj)−∑i=1Nαi\color{red} \min\limits_\alpha \quad \frac{1}{2} \sum_{i=1}^{N} \sum_{j=1}^{N} \alpha_{i} \alpha_{j} y_{i} y_{j}\left(x_{i} \bullet x_{j}\right)-\sum_{i=1}^{N} \alpha_{i}αmin21i=1∑Nj=1∑Nαiαjyiyj(xi∙xj)−i=1∑Nαi
s.t.∑i=1Nαiyi=0\color{red} s.t. \quad \sum_{i=1}^{N} \alpha_{i} y_{i}=0 \quad \quad \quad \quad \quad \quad \quad \quad \quad \quad s.t.i=1∑Nαiyi=0
αi⩾0,i=1,2,⋯,N\color{red} \alpha_{i} \geqslant 0, \quad i=1,2, \cdots, N \quad \quad αi⩾0,i=1,2,⋯,N
通常,通过求解 对偶问题 学习线性可分支持向量机,即首先求解对偶问题的最优值
a∗a^*a∗,然后求最优值 w∗w^*w∗和 b∗b^*b∗,得出分离超平面和分类决策函数。
ω∗=∑i=1Nαi∗yixi,b∗=yi−∑i=1Nαi∗yi(xi∙xj)\omega^* = \sum\limits_{i=1}^N \alpha_i^*y_ix_i, \quad b^* =y_i-\sum\limits_{i=1}^N \alpha_i^*y_i(x_i \bullet x_j)ω∗=i=1∑Nαi∗yixi,b∗=yi−i=1∑Nαi∗yi(xi∙xj)
分离超平面是
w∗∙x+b∗=0⇒∑i=1Nαi∗yi(x∙xi)+b∗=0w^{*} \bullet x+b^{*}=0 \quad \Rightarrow \quad \sum\limits_{i=1}^N \alpha_i^*y_i(x \bullet x_i)+b^*=0w∗∙x+b∗=0⇒i=1∑Nαi∗yi(x∙xi)+b∗=0
分类决策函数是
f(x)=sign(w∗∙x+b∗)⇒f(x)=sign(∑i=1Nαi∗yi(x∙xi)+b∗)f(x)=\operatorname{sign}\left(w^{*} \bullet x+b^{*}\right) \quad \Rightarrow \quad f(x)=\operatorname{sign}\left(\sum\limits_{i=1}^N \alpha_i^*y_i(x \bullet x_i)+b^*\right)f(x)=sign(w∗∙x+b∗)⇒f(x)=sign(i=1∑Nαi∗yi(x∙xi)+b∗)
αi∗>0\color{red}\alpha_i^* > 0αi∗>0 的样本点称为支持向量,其一定在间隔边界上。
2. 线性SVM 与 软间隔最大化
2.1 线性SVM
线性可分SVM学习方法,对线性不可分训练数据是不适用的,怎么将它扩展到线性不可分,需要修改硬间隔最大化,使其成为软间隔最大化。
引入松弛变量 ξi\xi_{\mathrm{i}}ξi,C>0C>0C>0 是惩罚参数,线性SVM学习的凸二次规划问题,
原始最优化问题:
minw,b,ξ12∥w∥2+C∑i=1Nξi\color{red}\min _{w, b, \xi} \quad \frac{1}{2}\|w\|^{2}+C \sum_{i=1}^{N} \xi_{i} \quad \quad \quad \quad \quad \quad \quad \quad \quad \quadw,b,ξmin21∥w∥2+Ci=1∑Nξi
s.t.yi(w∙xi+b)⩾1−ξi,i=1,2,⋯,N\color{red} s.t. \quad y_{i}\left(w \bullet x_{i}+b\right) \geqslant 1-\xi_{i}, \quad i=1,2, \cdots, Ns.t.yi(w∙xi+b)⩾1−ξi,i=1,2,⋯,N
ξi⩾0,i=1,2,⋯,N\color{red} \xi_{i} \geqslant 0, \quad i=1,2, \cdots, N \quad \quad \quad \quad ξi⩾0,i=1,2,⋯,N
求解原始最优化问题的解 w∗w^*w∗和 b∗b^*b∗,得到线性SVM,其分离超平面为
w∗∙x+b∗=0w^{*} \bullet x+b^{*}=0w∗∙x+b∗=0
分类决策函数是
f(x)=sign(w∗∙x+b∗)f(x)=\operatorname{sign}\left(w^{*} \bullet x+b^{*}\right)f(x)=sign(w∗∙x+b∗)
线性不可分支持向量机的解 w∗w^*w∗ 唯一,但 b∗b^*b∗ 不唯一。
对偶问题:
minα12∑i=1N∑j=1Nαiαjyiyj(xi∙xj)−∑i=1Nαi\color{red} \min _{\alpha} \quad \frac{1}{2} \sum_{i=1}^{N} \sum_{j=1}^{N} \alpha_{i} \alpha_{j} y_{i} y_{j}\left(x_{i} \bullet x_{j}\right)-\sum_{i=1}^{N} \alpha_{i}αmin21i=1∑Nj=1∑Nαiαjyiyj(xi∙xj)−i=1∑Nαi
s.t.∑i=1Nαiyi=0\color{red} s.t. \quad \sum_{i=1}^{N} \alpha_{i} y_{i}=0 \quad \quad \quad \quad \quad \quad \quad \quad \quad \quad s.t.i=1∑Nαiyi=0
0⩽αi⩽C,i=1,2,⋯,N\color{red} 0 \leqslant \alpha_{i} \leqslant C, \quad i=1,2, \cdots, N0⩽αi⩽C,i=1,2,⋯,N
线性支持向量机的对偶学习算法,首先求解对偶问题得到最优解α∗\alpha^*α∗,然后求原始问题最优解w∗w^*w∗和b∗b^*b∗,得出分离超平面和分类决策函数。
ω∗=∑i=1Nαi∗yixi,b∗=yi−∑i=1Nαi∗yi(xi∙xj)\omega^* = \sum\limits_{i=1}^N \alpha_i^*y_ix_i, \quad b^* =y_i-\sum\limits_{i=1}^N \alpha_i^*y_i(x_i \bullet x_j)ω∗=i=1∑Nαi∗yixi,b∗=yi−i=1∑Nαi∗yi(xi∙xj)
分离超平面是
w∗∙x+b∗=0⇒∑i=1Nαi∗yi(x∙xi)+b∗=0w^{*} \bullet x+b^{*}=0 \quad \Rightarrow \quad \sum\limits_{i=1}^N \alpha_i^*y_i(x \bullet x_i)+b^*=0w∗∙x+b∗=0⇒i=1∑Nαi∗yi(x∙xi)+b∗=0
分类决策函数是
f(x)=sign(w∗∙x+b∗)⇒f(x)=sign(∑i=1Nαi∗yi(x∙xi)+b∗)f(x)=\operatorname{sign}\left(w^{*} \bullet x+b^{*}\right) \quad \Rightarrow \quad f(x)=\operatorname{sign}\left(\sum\limits_{i=1}^N \alpha_i^*y_i(x \bullet x_i)+b^*\right)f(x)=sign(w∗∙x+b∗)⇒f(x)=sign(i=1∑Nαi∗yi(x∙xi)+b∗)
对偶问题的解 α∗\alpha^*α∗ 中满足 αi∗>0\color{red}\alpha_i^{*}>0αi∗>0 的实例点 xix_ixi 称为(软间隔)支持向量。
支持向量可在间隔边界上,也可在间隔边界与分离超平面之间,或者在分离超平面误分一侧。最优分离超平面由支持向量完全决定。

线性SVM学习 等价于 最小化二阶范数正则化的 合页函数
minw,b∑i=1N[1−yi(w∙xi+b)]++λ∥w∥2\min _{w, b} \quad \sum_{i=1}^{N}\left[1-y_{i}\left(w \bullet x_{i}+b\right)\right]_{+}+\lambda\|w\|^{2}w,bmini=1∑N[1−yi(w∙xi+b)]++λ∥w∥2

合页损失函数 不仅要正确分类,而且确信度足够高时损失才是0。也就是说,合页损失函数对学习有更高的要求
3. 非线性SVM 与 核函数
核技巧(kernel trick)不仅应用于支持向量机,而且应用于其他统计学习问题。
3.1 核技巧/核函数

用线性分类求解非线性分类问题分为两步:
- 使用一个变换将原空间的数据映射到新空间
- 在新空间里用线性分类学习方法从训练数据中学习分类模型
用核函数来替换前面式子中的内积。
核函数表示,通过一个非线性转换后的两个实例间的内积。具体地,K(x,z)K(x,z)K(x,z) 是一个核函数,或 正定核,意味着存在一个从输入空间 x 到特征空间的映射X→H\mathcal{X} \rightarrow \mathcal{H}X→H,对任意 X\mathcal{X}X,有
K(x,z)=ϕ(x)⋅ϕ(z)K(x, z)=\phi(x) \cdot \phi(z)K(x,z)=ϕ(x)⋅ϕ(z)
对称函数K(x,z)K(x,z)K(x,z)为正定核的充要条件:
对任意 xi∈X,i=1,2,…,m\mathrm{x}_{\mathrm{i}} \in \mathcal{X}, \quad \mathrm{i}=1,2, \ldots, \mathrm{m}xi∈X,i=1,2,…,m,任意正整数 mmm,对称函数 K(x,z)K(x,z)K(x,z) 对应的 Gram 矩阵是半正定的。
线性支持向量机学习的对偶问题中,用核函数 K(x,z)K(x,z)K(x,z) 替代内积,求解得到的就是非线性SVM
f(x)=sign(∑i=1Nαi∗yiK(x,xi)+b∗)\color{red} f(x)=\operatorname{sign} \Bigg(\sum_{i=1}^{N} \alpha_{i}^{*} y_{i} K(x, x_i)+b^*\Bigg)f(x)=sign(i=1∑Nαi∗yiK(x,xi)+b∗)
3.2 常用核函数
对于任意函数,验证其对任意输入集,验证 K 对应的 Gram 矩阵是否是半正定的,很困难,所以用已有的核函数。
- 多项式核函数
K(x,z)=(x∙z+1)pK(x,z) = (x \bullet z + 1)^pK(x,z)=(x∙z+1)p - 高斯核函数
K(x,z)=exp(−∣∣x−z∣∣22σ2)K(x,z) = \exp \bigg(- \frac{||x-z||^2}{2 \sigma^2} \bigg)K(x,z)=exp(−2σ2∣∣x−z∣∣2) - 字符串核函数(离散空间)
3.3 非线性SVM分类
选取适当的核函数 K(x,z)K(x,z)K(x,z), 适当的参数 CCC, 构造最优化问题:
minα12∑i=1N∑j=1NαiαjyiyjK(xi,xj)−∑i=1Nαi\color{red} \min _{\alpha} \quad \frac{1}{2} \sum_{i=1}^{N} \sum_{j=1}^{N} \alpha_{i} \alpha_{j} y_{i} y_{j} K \left(x_{i} ,x_{j}\right)-\sum_{i=1}^{N} \alpha_{i}αmin21i=1∑Nj=1∑NαiαjyiyjK(xi,xj)−i=1∑Nαi
s.t.∑i=1Nαiyi=0\color{red} s.t. \quad \sum_{i=1}^{N} \alpha_{i} y_{i}=0 \quad \quad \quad \quad \quad \quad \quad \quad \quad \quad s.t.i=1∑Nαiyi=0
0⩽αi⩽C,i=1,2,⋯,N\color{red} 0 \leqslant \alpha_{i} \leqslant C, \quad i=1,2, \cdots, N0⩽αi⩽C,i=1,2,⋯,N
求解对偶问题得到最优解α∗\alpha^*α∗,选择 α∗\alpha^*α∗ 的一个正分量 0<αj∗<C0<\alpha_j^* < C0<αj∗<C ,计算
b∗=yi−∑i=1Nαi∗yiK(xi,xj)\color{red} b^* =y_i-\sum\limits_{i=1}^N \alpha_i^*y_i K \left(x_{i} ,x_{j}\right)b∗=yi−i=1∑Nαi∗yiK(xi,xj)
分类决策函数是
f(x)=sign(∑i=1Nαi∗yiK(x,xi)+b∗)\color{red} f(x)=\operatorname{sign}\left(\sum\limits_{i=1}^N \alpha_i^*y_i K \left(x ,x_{i}\right)+b^*\right)f(x)=sign(i=1∑Nαi∗yiK(x,xi)+b∗)
当 K(x,z)K(x,z)K(x,z) 是正定核函数时,上面问题是凸二次规划问题,解存在。
4. 序列最小最优化算法
SMO(sequential minimal optimization)算法是SVM学习的一种快速算法
特点:不断地将原二次规划问题分解为只有两个变量的二次规划子问题,并对子问题进行解析求解,直到所有变量满足KKT条件为止。
这样通过启发式的方法得到原二次规划问题的最优解。因为子问题有解析解,所以每次计算子问题都很快,虽然计算子问题次数很多,但在总体上还是高效的。
5. sklearn SVC 实例
官方文档 :sklearn.svm.SVC
class sklearn.svm.SVC(C=1.0, kernel='rbf', degree=3, gamma='scale', coef0=0.0,
shrinking=True, probability=False, tol=0.001, cache_size=200, class_weight=None,
verbose=False, max_iter=-1, decision_function_shape='ovr', break_ties=False,
random_state=None)
参数:- C:正则化参数C,默认值是1.0C越大,相当于惩罚松弛变量,希望松弛变量接近0,即对误分类的惩罚增大,趋向于对训练集全分对的情况,这样对训练集测试时准确率很高,但泛化能力弱。
C值小,对误分类的惩罚减小,允许容错,将他们当成噪声点,泛化能力较强。- kernel :核函数,默认是rbf,可以是‘linear’, ‘poly’, ‘rbf’, ‘sigmoid’, ‘precomputed’ – 线性:u'v– 多项式:(gamma*u'*v + coef0)^degree– RBF函数:exp(-gamma|u-v|^2)– sigmoid:tanh(gamma*u'*v + coef0)- degree :多项式poly函数的维度,默认是3,选择其他核函数时会被忽略。- gamma : ‘rbf’,‘poly’ 和‘sigmoid’的核函数参数。- coef0 :核函数的常数项。对于‘poly’和 ‘sigmoid’有用。- probability :是否采用概率估计? 默认为False- shrinking :是否采用shrinking heuristic方法,默认为true- tol :停止训练的误差值大小,默认为1e-3- cache_size :核函数cache缓存大小,默认为200- class_weight :类别的权重,字典形式传递。设置第几类的参数C为weight*C(C-SVC中的C)- verbose :允许冗余输出?- max_iter :最大迭代次数。-1为无限制。- decision_function_shape :‘ovo’, ‘ovr’, default=‘ovr’- random_state :数据洗牌时的种子值,int值主要调节的参数有:C、kernel、degree、gamma、coef0。
# -*- coding:utf-8 -*-
# @Python Version: 3.7
# @Time: 2020/3/20 14:23
# @Author: Michael Ming
# @Website: https://michael.blog.csdn.net/
# @File: 7.SupportVectorMachine.py
# @Reference: https://github.com/fengdu78/lihang-codeimport numpy as np
import pandas as pd
from sklearn.datasets import load_iris
from sklearn.model_selection import train_test_split
import matplotlib.pyplot as plt
from sklearn.svm import SVCdef create_data():iris = load_iris()df = pd.DataFrame(iris.data, columns=iris.feature_names)df['label'] = iris.targetdata = np.array(df.iloc[:100, [0, 1, -1]])for i in range(len(data)):if (data[i, -1] == 0):data[i, -1] = -1return data[:, :2], data[:, -1]X, y = create_data()
X_train, X_test, y_train, y_test = train_test_split(X, y, test_size=0.25)
clf = SVC()
clf.fit(X_train, y_train)
print(clf.score(X_test, y_test))
6. 课后习题
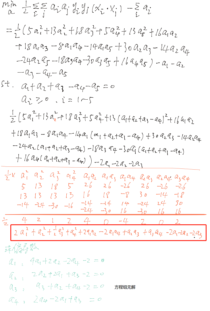
习题7.2:已知正例点 x1=(1,2)T,x2=(2,3)T,x3=(3,3)Tx_1=(1,2)^T,x_2=(2,3)^T,x_3=(3,3)^Tx1=(1,2)T,x2=(2,3)T,x3=(3,3)T,负例点 x4=(2,1)T,x5=(3,2)Tx_4=(2,1)^T,x_5=(3,2)^Tx4=(2,1)T,x5=(3,2)T,试求最大间隔分离超平面和分类决策函数,并在图上画出分离超平面、间隔边界及支持向量。
解:

# 计算最优alpha*
import numpydata = numpy.array([[1, 2], [2, 3], [3, 3], [2, 1], [3, 2]])
label = numpy.array([1, 1, 1, -1, -1])
m = 10000;
a = []
for a1 in numpy.linspace(0,5,30):for a2 in numpy.linspace(0,5,30):for a3 in numpy.linspace(0,5,30):for a4 in numpy.linspace(0,5,30):if a1+a2+a3-a4 >= 0:ans = 2*a1**2+a2**2+0.5*a3**2+a4**2+2*a1*a2-2*a1*a4+a2*a3+a3*a4-2*a1-2*a2-2*a3if ans < m:a = [a1, a2, a3, a4, a1+a2+a3-a4]m = ans
print(m,a)
w1 = 1*a[0]+2*a[1]+3*a[2]-2*a[3]-3*a[4]
w2 = 2*a[0]+3*a[1]+3*a[2]-1*a[3]-2*a[4]
b = label[0] - sum(a[i]*label[i]*numpy.dot(data[i],data[0]) for i in range(5))
print(w1,w2, b)
-2.4970273483947683 [0.5172413793103449, 0.0, 2.0689655172413794, 0.0, 2.586206896551724]# w1, w2, b
-1.0344827586206886 2.06896551724138 -2.103448275862071
w 的比例跟下面 sklearn 算的是一致的,截距项有点偏差
对上面结果除以 w 的 2范数 2.31317
得到的 w1,w2,b 是 -0.447,0.894,-0.909(w跟下面sklearn算的一致(除以范数后的结果),截距项不一致,是因为sklearn 用的是软间隔最大化,有松弛变量,解出来的 b 是不唯一的)
- sklearn 编程解 7.2 习题
# -*- coding:utf-8 -*-
# @Python Version: 3.7
# @Time: 2020/3/20 14:23
# @Author: Michael Ming
# @Website: https://michael.blog.csdn.net/
# @File: 7.SupportVectorMachine.py
# @Reference: https://github.com/fengdu78/lihang-codeimport numpy as np
import pandas as pd
from sklearn.datasets import load_iris
from sklearn.model_selection import train_test_split
import matplotlib.pyplot as plt
from sklearn.svm import SVCdef create_data():iris = load_iris()df = pd.DataFrame(iris.data, columns=iris.feature_names)df['label'] = iris.targetdata = np.array(df.iloc[:100, [0, 1, -1]])for i in range(len(data)):if (data[i, -1] == 0):data[i, -1] = -1return data[:, :2], data[:, -1]X, y = create_data()data = pd.DataFrame([[1, 2], [2, 3], [3, 3], [2, 1], [3, 2]])
label = pd.DataFrame([1, 1, 1, -1, -1])
plt.scatter(data[:3][0], data[:3][1], c='r', marker='o', label='+')
plt.scatter(data[3:][0], data[3:][1], c='g', marker='x', label='-')X = data
y = label
clf.fit(X, y)xi = np.linspace(-1, 4, 20)
yi = (clf.coef_[0][0] * xi + clf.intercept_) / (-clf.coef_[0][1])
plt.plot(xi, yi, 'b', label='分离超平面')
plt.legend()
plt.title("练习7.2")
plt.rcParams['font.sans-serif'] = 'SimHei' # 消除中文乱码
plt.rcParams['axes.unicode_minus'] = False # 正常显示负号
plt.show()
print(clf.support_vectors_)
print(clf.coef_)
print(clf.intercept_)
print(clf.support_)
print(clf.n_support_)
[[2. 1.] # 支持向量[3. 2.] # 支持向量[1. 2.] # 支持向量[3. 3.]] # 支持向量
[[-0.6664 1.3328]] # w 除以2范数后 为 -0.447, 0.894
[-0.99946667] # b 除以2范数后 为 0.671
[3 4 0 2]
[2 2]
