在chapter2里我们简单的示例了一个阶跃函数做尺度变换的例子,在这一节里我们会对冲激函数做尺度变换,同样很简单
关于δ(at)\delta(at)δ(at)

它的证明如下,使用换元法即可得到:

始终利用的是冲激函数只在t=0t=0t=0处有意义
如果它发生了左右时移,我们第一步同样的也是要把ttt前面的系数化为1,再分析
δ(at−t0)=δ(a(t−t0a))\delta(at-t_0)=\delta(a(t-\frac{t_0}{a}))δ(at−t0)=δ(a(t−at0))
到这一步就和前面只有伸缩变换时的情况一样了
结果为:1∣a∣δ(t−t0a)\frac{1}{|a|}\delta(t-\frac{t_0}{a})∣a∣1δ(t−at0)

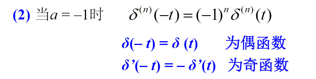
有一个特殊的例子:
δ(−t)=(−1)nδn(t)\delta(-t)=(-1)^n\delta^n(t)δ(−t)=(−1)nδn(t)
应用如下:

后面的冲激函数要求几阶导数,你给前面的式子求个几阶导数,不要忘记乘(−1)n(-1)^n(−1)n
一组练习

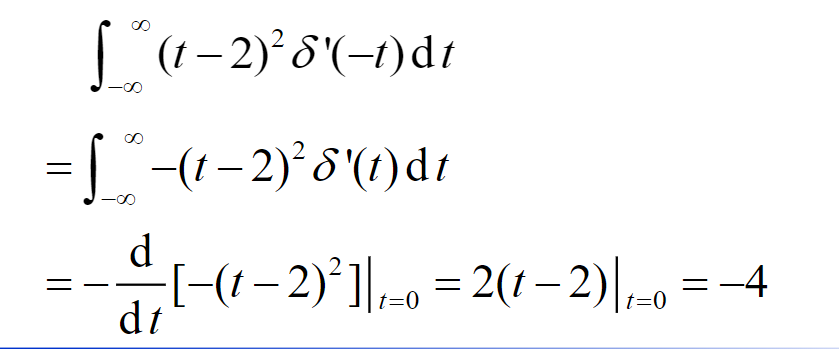
1.前面的式子在t→0t_\rightarrow0t→0极限为2,与后面冲激函数一作用,不难得到为结果2
2.这个更简单,由前面学习的冲激函数性质,直接把前面的式子在t=1t=1t=1处求个导就完事了,记得加上(−1)n(-1)^n(−1)n
3.前面学过的那个atatat的性质,要在这里用,结果=10
4.还是第2题里用到的性质

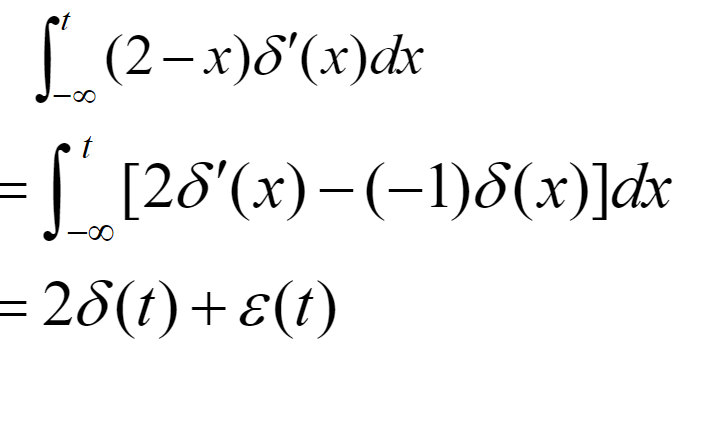
积分相当于打回原形了属于是