微分方程的求解
许多同学之所以觉得信号与系统难的原因之一就在于它的数学推导,特别是对于一些高等数学基础比较薄弱的同学来说,且不说后面的求解傅里叶变换部分,目前的LTI连续系统微分方程的求解,已经是的有的同学感到云里雾里。但值得庆幸的一点是,这门课终究不是高等数学,涉及到高等数学的部分套路性很强,不会有那么多需要另辟蹊径的地方,只要掌握了题目的套路,这部分的问题就算解决了,以后到实际工作中用到的时候我们有专业的数学软件来处理。

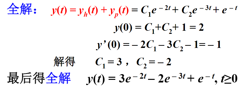
题目要求全解,那么全解又包含什么呢?全解=通解+特解,看到微分方程,第一件事情就是求解出它的特征方程:
λ2+5λ+6λ=0\lambda^2+5\lambda+6\lambda=0λ2+5λ+6λ=0
λ1=−2\lambda_1=-2λ1=−2
λ2=−3\lambda_2=-3λ2=−3
接下来就要设定通解与特解了,怎么设定?到这里如果不会的话,看看这张表:


齐次解就是通解,非齐次解就是特解,我们由上表得到

这里的α=−1\alpha =-1α=−1不是特征根,所以就有激励为e−te^{-t}e−t,你把特解,也就是这个激励带入方程里,得到 Q=1Q=1Q=1
然后按部就班的写就完事了:

再来看后面这种α=\alpha =α= 特征根的情况

微分方程的求解一定要熟悉,信号与系统本质上就是一堆函数罢了