系统的初值问题就是让你求一下系统在0时刻的y(t)y(t)y(t)函数

我们看到它要我们求关于t=0t=0t=0时刻的一些参数,我们这里首先就要想到冲激函数,为什么?因为冲激函数最特殊,它的特性就是在0时刻才有定义,才有值,我们又发现,题目中有一个y′(t)y'(t)y′(t),这就是在暗示我们要设置一个函数,求导之后可以为冲激函数的,那么我们自然而然就想到了阶跃函数,如下:

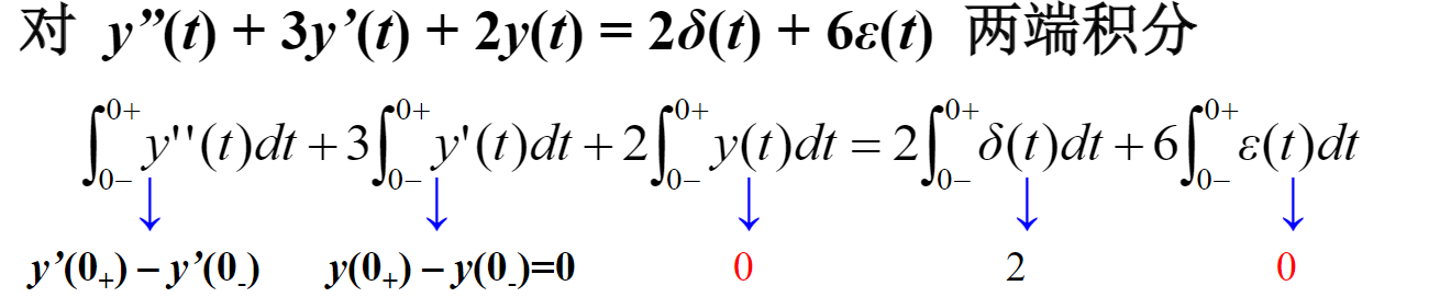
原因如下:最高求导是求了二阶导,而δ(t)\delta(t)δ(t)是由ξ(t)\xi(t)ξ(t)求导得来的,所以只有y′′(t)y''(t)y′′(t)包含δ(t)\delta(t)δ(t),底下那两个式子也好理解,回想我们大一学习高数时函数极限的思想,0时刻两端分别有不同的趋近方向的函数,所以它们的导数不同,但函数值归于同一点,所以有y(0+)=y(0−)=2y(0_+)=y(0_-)=2y(0+)=y(0−)=2
下面我们就要计算y′(0+)y'(0_+)y′(0+)了,可以看到,题目中已经为我们贴心的给出了y′(0−)y'(0_-)y′(0−),这个条件前面没用,到这一步怎么说也得使用了,我们又观察式子发现其中有一阶导数与二阶导数,而原函数的在t=0t=0t=0值是已知的,到这里了怎么说也得给式子两边积分一下,如下:

关于δ(t)\delta(t)δ(t)的积分,想不明白了就想一想积分的意义,不就是求一下面积吗,冲激函数的面积始终为1,不就出来了,后面那个阶跃函数因为积分区间无限趋近于0,结果自然也是0,然后把咱们第一问里求出来的y(0+)y(0−)y(0_+) y(0_-)y(0+)y(0−)带入不久出来了,结果如下:

以上,就是信号与系统的初值匹配法(这个名字不是我起的,我觉得这个名字一点也不好)