定义
阶跃响应是阶跃函数ξ(t)\xi(t)ξ(t)所引起的***零状态响应,***记为g(t)g(t)g(t)
 
 这玩意的求法与咱们前面画信号与系统框图那一部分有异曲同工之妙信号与系统chapter8
有两种方法
- 经典法
  
- 利用单位阶跃函数与单位冲激响应之间的关系
  
 看一道例题:
  
 看到这种题目,第一步就是按照前面的方法写出微分方程
 由框图可得微分方程为:
 左边一个:x′′(t)=−3x′(t)−2x(t)+f(t)x''(t)=-3x'(t)-2x(t)+f(t)x′′(t)=−3x′(t)−2x(t)+f(t)
 转换一下:x′′(t)+3x′(t)+2x(t)=f(t)x''(t)+3x'(t)+2x(t)=f(t)x′′(t)+3x′(t)+2x(t)=f(t)
 右边一个:y(t)=2x(t)−x′(t)y(t)=2x(t)-x'(t)y(t)=2x(t)−x′(t) 记住右边这个方程,一会儿有用
 然后后面两个式子合并整理,第一个式子取左半部分,把x(t)x(t)x(t)全部转化为y(t)y(t)y(t),第二个式子取右半部分,x(t)→f(t)x(t)\rightarrow f(t)x(t)→f(t),得到:
  
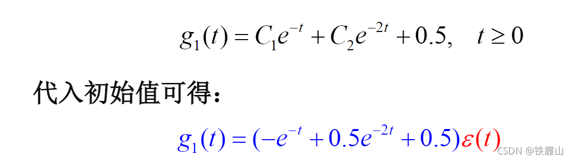
 易知特征根为−1,−2-1,-2−1,−2,特解为0.5,可得:
  
 然后就十分容易了:
  
 阶跃响应就是之前的系统框图右边那个式子,拿过来用就可以了,记住先求阶跃响应,再求冲激响应(求个导数就完事了),不过不要忘记挂在后面的ξ(t)\xi(t)ξ(t)
 前面那个求解出来的微分方程也是!