存在一个按升序排列的链表,给你这个链表的头节点 head ,请你删除链表中所有存在数字重复情况的节点,只保留原始链表中 没有重复出现 的数字。
返回同样按升序排列的结果链表。

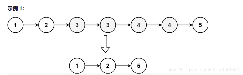
输入:head = [1,2,3,3,4,4,5]
输出:[1,2,5]

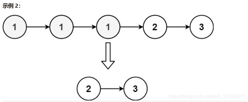
输入:head = [1,1,1,2,3]
输出:[2,3]
提示:
链表中节点数目在范围 [0, 300] 内
-100 <= Node.val <= 100
题目数据保证链表已经按升序排列
代码如下:
/*** Definition for singly-linked list.* struct ListNode {* int val;* ListNode *next;* ListNode() : val(0), next(nullptr) {}* ListNode(int x) : val(x), next(nullptr) {}* ListNode(int x, ListNode *next) : val(x), next(next) {}* };*/
class Solution {
public:ListNode* deleteDuplicates(ListNode* head) {if (head==nullptr) return nullptr;ListNode *dummy = new ListNode;ListNode*cur;cur=dummy;cur->next = head;while(cur->next && cur->next->next){if (cur->next->val== cur->next->next->val){int x = cur->next->val;while(cur->next && cur->next->val==x)cur->next = cur->next->next;}else cur = cur->next;}return dummy->next;}
};