给你一个链表,删除链表的倒数第 n 个结点,并且返回链表的头结点。
进阶:你能尝试使用一趟扫描实现吗?

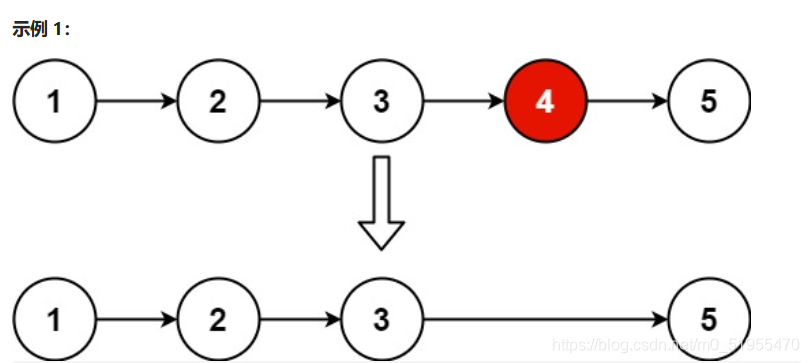
输入:head = [1,2,3,4,5], n = 2
 输出:[1,2,3,5]
示例 2:
输入:head = [1], n = 1
 输出:[]
示例 3:
输入:head = [1,2], n = 1
 输出:[1]
提示:
链表中结点的数目为 sz
1 <= sz <= 30
0 <= Node.val <= 100
1 <= n <= sz
代码如下:
/*** Definition for singly-linked list.* struct ListNode {*     int val;*     ListNode *next;*     ListNode() : val(0), next(nullptr) {}*     ListNode(int x) : val(x), next(nullptr) {}*     ListNode(int x, ListNode *next) : val(x), next(next) {}* };*/
class Solution {
public:ListNode* removeNthFromEnd(ListNode* head, int n) {ListNode *dummy = new ListNode;ListNode *cur = dummy;cur->next = head;int len = getlength(head);for (int i = 1;i<len-n+1;i++){cur = cur->next;}cur->next = cur->next->next;ListNode *idx = dummy->next;delete dummy;return idx;}int getlength(ListNode *head){int len = 0;while(head){head = head->next;len++;}return len;}
};