引言
“递归” 一词是比较专业的计算机术语,在现实生活中,有一个更可爱的词——“套娃”。如果把“递归算法”叫做“套娃算法”,或许可以减少一些恐惧程度。
套娃是有限的,同样,递归也是有限的,这和我们经常在影视作品中看到的“无限嵌套循环”是有很大区别的,递归一定存在某个可以返回的节点或条件,否则就会出现栈溢出错误(StackOverflowError)。
其实“套娃”这个词已经足以概括递归算法的本质,就是函数本身调用自身,直到找到一个可以返回的条件,再层层返回。参考《盗梦空间》《明日边缘》等。
递归算法一定可以改写成非递归的实现方式(迭代)。本篇博客将会展示一个简单的递归算法案例,并介绍评估递归算法时间复杂度的 Master公式。
一、案例:数组中的最大值
正如前面所说,递归算法一定可以改写成迭代方式,那么也就是说,递归也属于迭代,只不过它每次迭代的内容,和上一次都是一致的。
假设一个数组,如何用递归的方式找到其中的最大值?
分析,我们可以使用一个类似二分的思路,将数组层层二分,左侧找一个值,右侧找一个值,二者取一个最大。反复这样的过程。
完整代码:
public class RecursionGetMax {public static int getMax(int[] arr, int L, int R) {if (arr == null || arr.length == 0)throw new IllegalArgumentException("参数异常");if (arr.length == 1)return arr[0];// arr[L..R]范围上只有一个数,直接返回,base caseif (L == R)return arr[L];// 2个元素以上int mid = L + ((R - L) >> 1);// 递归取得区域最大int leftMax = getMax(arr, L, mid);int rightMax = getMax(arr, mid + 1, R);return Math.max(leftMax, rightMax);}public static void main(String[] args) {int[] arr = {1, 2, 3, 5, 22, 5, 221, 4, 6, 43, 6, 21, 1, 3, 3, 9};int max = getMax(arr, 0, arr.length - 1);System.out.println(max);}
}
注意,这道题在设计时,我们首先要有二分是思路基础,然后我们思考,要设计这样一个函数,这个函数一定会接收一个需要查找的数组,而仅仅传递数组的话,那么就需要在方法中反复拷贝新数组,显然空间复杂度太高,因此,不妨提供额外的两个指针,方便我们选取数组上的数,这样每次传递指针的值,就可以避免每次传递截取的数组。
其次,基础条件也是关键,base case 是可以直接返回的条件,即当 L == R 时,代表我们已经无法再继续二分,因此可以直接返回,这就是最终的返回节点,如果没有这个条件,那么递归将持续执行下去,直到 StackOverflow 。因此,在设计递归方法的时候,一定要考虑好 base case。
二、递归的底层执行与逻辑分析方式
2.1 递归的底层实现
在系统中,递归的实现是使用一个系统栈来完成的,当方法执行到自身调用时,系统会将“现场”保存到系统栈中,擦除局部变量,再重新跳到函数的开头继续执行。
例如,一个数组 arr = {4, 3, 8, 5, 7},初始 L = 0,R = 4,leftMax的返回值调用过程:

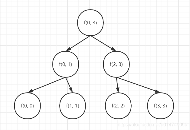
2.2 逻辑分析方式
对于一个希望使用递归实现的方法,我们并不需要每次都画出类似上图的栈结构来详细分析,只需要画出逻辑递归图即可:
例如,arr = {5, 3, 4, 9},初始 L = 0, R = 3:

三、递归算法的时间复杂度分析
由于递归算法是建立在一种不确定循环次数的情况下,有点类似 do-while 循环,因此,在分析递归算法复杂度形式的时候,只展开第一层的规模。
例如,上述二分取值的方式,就可以写成这样的时间消耗形式:
T(N) = a * T(N/b) + T(N^d),其中 a,b,d 都是常数
具体的值就是:T(N) = 2 * T(N/2) + O(1) ,a = 2, b = 2, d = 0。
Master 公式,可以直接确定形如上面时间消耗形式的时间复杂度:
如果 logb a < d,复杂度为:O(N^d)
如果 logb a > d,复杂度为:O(N^(logb a))
如果 logb a == d,复杂度为:O(N^d * logN)
其中,logb a,指的是以b为底 a 的对数。案例中的问题,由于log2 > d ,1 >0 ,因此时间复杂度就是 O(N^log2) = O(N) 。