引言
前缀树——trie /ˈtraɪ//树,也叫作“单词查找树”、“字典树”。
它属于多叉树结构,典型应用场景是统计、保存大量的字符串,经常被搜索引擎系统用于文本词频统计。它的优点是利用字符串的公共前缀来减少查找时间,最大限度的减少无谓字符串的比较和存储空间。
trie 来自于 retrieval 的中间部分。在wiki百科中,有关于 trie 一词的由来:
Tries were first described by René de la Briandais in 1959.The term trie was coined two years later by Edward Fredkin, who pronounces it /ˈtriː/(as "tree"), after the middle syllable of retrieval.However, other authors pronounce it/ˈtraɪ/(as "try"), in an attempt to distinguish it verbally from "tree".
一、前缀树的逻辑结构
前缀树是一个由“路径”和“节点”组成多叉树结构。由根节点出发,按照存储字符串的每个字符,创建对应字符路径。
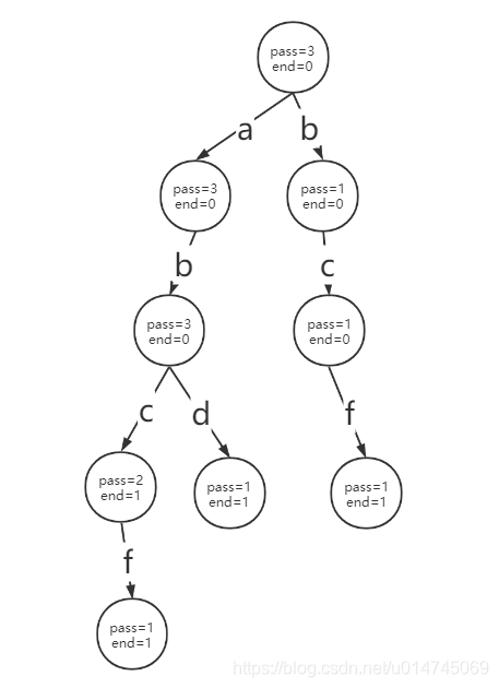
由“路径”记载字符串中的字符,由节点记载经过的字符数以及结尾字符结尾数,例如一个简单的记录了"abc"、"abd"、"bcf"、"abcd" 这四个字符串的前缀树如下图所示:

二、前缀树的添加过程
经典的前缀树都是以“路径”(以下简称路)记录字符的,由节点记录统计信息 pass 代表经过的字符个数,end代表有多少个字符串以这条路径结尾。
2.1 逻辑过程
前缀树添加字符串的过程,以 "abc"、"bcd"、"abcd"为例:
1、首先会有一个初始化的根节点 root :

2、添加 'a' 字符,根节点 pass++ , 由于字符串还没有结束,后面还有 'b'、'c',end 不变,并在路的另一端创建一个节点(因为两个节点才能形成一条路),并将新节点的 pass++,end 同样不变:

3、添加 'b' 字符,同样创建一个新的节点,来表示 b 的路,并在新节点上 pass++,end不变:

4、添加'c' 字符,创建一个新的节点,表示 c 的路,在新节点上 pass++,此时字符串已经结束,end++:

到此为止,就完成了'abc'字符串的添加,以同样的方法添加 'bcd'、'abcd',注意,每次添加都要从 root 开始,root 作为前缀树的第一个节点,其 pass 可以表示树中一共存储了多少字符串。前缀树的最大特点就是复用字符,如果从 root 没有可复用的前缀,那么就需要创建新的路径,如果有就需要复用已有路径,并标记经过的字符个数:

2.2 代码实现
前缀树的路是一种抽象结构,无法用具体的代码直接描述,在代码中,基于最简单的小写英文的前缀树,通常就是以一个数组表示 26 个字母的通道,以每个通道是否存在 Node 节点来表示到达这个Node节点的路是否存在:
private static class Node {public int pass;public int end;public Node[] nexts;public Node() {pass = 0;end = 0;// 26种可能nexts = new Node[26];}
}
那么添加的过程就是:
public class Code01_TrieTree {private Node root;public Code01_TrieTree() {root = new Node();}private static class Node {// ...}public void insert(String word) {if (word == null)return;char[] chars = word.toCharArray();Node node = root;// 以 root 出发node.pass++;// 初始化路径int path = 0;// 遍历字符数组for (int i = 0; i < chars.length; i++) {// 26个槽位与26个字母对应,'a'->0,字符相减就可以获得路径的偏移量path = chars[i] - 'a';// 计算出偏移量后判断是否存在节点,如果是 null 表示不存在这条路径if (node.nexts[path] == null)node.nexts[path] = new Node();// 指针移动到路径的尾节点node = node.nexts[path];// 路径的尾节点pass++node.pass++;}// 遍历完成后,node一定就是最后一个路径的尾节点,此时记录结尾数量node.end++;}
}
三、前缀树的查找
前缀树有两种常用查找,第一种是最普通的字符串出现的次数,第二种是某个字符串前缀出现的次数。
3.1 指定字符串出现次数
前缀树的查找思路是,先获取到 root 引用,由此出发。
遍历整个字符串,如果在遍历途中发现某个路径不存在(即路径的尾节点==null),则表示前缀树从未存储过该字符串。
经过遍历后,节点指针一定会来到最后一个字符路径的尾节点,这个节点的 end 记录了总共有多少个字符串以这个字符路径结尾,所以直接返回 end 即可,代码如下:
public int search(String word) {if (word == null)return 0;char[] chars = word.toCharArray();// 由 root出发的节点指针Node node = root;// 初始化路径int path = 0;// 遍历字符串for (int i = 0; i < chars.length; i++) {// 计算路径偏移path = chars[i] - 'a';// 路径不存在,表示该字符串不存在if (node.nexts[path] == null)return 0;// 移动节点指针node = node.nexts[path];}// 遍历结束后,节点指针来到字符串的尾节点,直接返回end统计值return node.end;
}
3.2 指定前缀出现次数
前缀查找统计的逻辑和字符串查找的逻辑几乎完全一样,唯一不同的是,在最后返回时,返回的是字符串尾节点的 pass 值,它代表有多少个字符串经过了这个节点。
public int searchPre(String pre) {if (pre == null) return 0;Node node = root;char[] chars = pre.toCharArray();int path = 0;for (int i = 0; i < chars.length; i++) {path = chars[i] - 'a';if (node.nexts[path] == null) {return 0;}node = node.nexts[path];}return node.pass;
}
四、前缀树的删除
前缀树的删除逻辑主体结构和插入、查找相同,都是遍历参数字符串,在途径的节点上分别 count down pass 和end 两个变量。
需要注意的两个点:
1、在开始执行真正的删除逻辑之前,一定要先调用 search 方法判断是否存在该字符串。
2、如果 node 的pass 属性-1 后是0,那么需要将节点引用置为 null,以便回收内存,同时也契合 insert、search等逻辑中 判断路径是否存在的方式。
public void delete(String word) {if (search(word) == 0)return;char[] chars = word.toCharArray();Node node = root;// 根节点 -1node.pass--;int path = 0;// 遍历字符串for (int i = 0; i < chars.length; i++) {// 计算路径偏移path = chars[i] - 'a';// 如果路径的尾节点 pass-1 后为 0,将这个尾节点置为 null,直接返回if (--node.nexts[path].pass == 0) {node.nexts[path] = null;return;}// 移动节点指针node = node.nexts[path];}// 遍历后沿途的 pass 都已经 -1,最后 end - 1node.end--;
}
五、以HashMap描述路径的前缀树
数组的适用场景较为局限,由于数组本身扩容不便,在实际的前缀树实现上,往往可以用HashMap作为路径的替代,这种方式还可以实现中文字符的存储。
public class Code02_TrieTree {private Node root;public Code02_TrieTree() {this.root = new Node();}private static class Node {public int pass;public int end;public HashMap<Integer, Node> nexts;public Node() {this.pass = 0;this.end = 0;this.nexts = new HashMap<>();}}public void insert(String word) {if (word == null || "".equals(word)) return;char[] chars = word.toCharArray();Node node = root;node.pass++;Integer path = 0;for (int i = 0; i < chars.length; i++) {// 以字符的ASCII码作为路径path = (int) chars[i];if (!node.nexts.containsKey(path))node.nexts.put(path, new Node());node = node.nexts.get(path);node.pass++;}node.end++;}public int search(String word) {if (word == null || "".equals(word)) return 0;char[] chars = word.toCharArray();Node node = root;Integer path = 0;for (int i = 0; i < chars.length; i++) {// 计算路径path = (int) chars[i];if (node.nexts.get(path) == null)return 0;node = node.nexts.get(path);}return node.end;}public int searchPre(String pre) {if (pre == null || "".equals(pre)) return 0;char[] chars = pre.toCharArray();Node node = root;Integer path = 0;for (int i = 0; i < chars.length; i++) {path = (int) chars[i];if (node.nexts.get(path) == null)return 0;node = node.nexts.get(path);}return node.pass;}public void delete(String word) {if (search(word) == 0) return;char[] chars = word.toCharArray();Node node = root;node.pass--;Integer path = 0;for (int i = 0; i < chars.length; i++) {path = (int) chars[i];if (--node.nexts.get(path).pass == 0) {node.nexts.remove(path);return;}node = node.nexts.get(path);}node.end--;}public int size() {return root.pass;}
}
六、前缀的时间复杂度
如果一个字符串长度为 k,那么插入前缀树需要的时间,就是 O(k)。
因为每个字符都需要比较一遍,在比较和计算路径的逻辑中,不论是数组实现的方式还是HashMap实现的方式,其路径的计算前者是使用相减得到的偏移量,后者是 containsKey 的 hashcode计算,都是常数时间复杂度。
而其余的代码步骤也都是常数时间复杂度,因此整个insert的过程就是 O(k)。
而查找的时间复杂度同样是 O(k),依然取决于字符串长度。
总结
前缀树是一种非常有用的字符串存储结构,它解决了像 HashMap 这种存储结构无法实现的问题——前缀统计,并且由于是复用节点,也很好的节约了存储空间。
它的增删逻辑是遍历参数字符串,找到对应路径,如果没有则创建节点。
路径是以节点是否存在的形式来抽象表示的。
在删除字符串的时候,一定要先判断是否存在该字符串,以免造成误操作途经节点的 pass属性。
对于 pass 属性 -1后为0,此时可以将这个节点置为null,并直接返回,这是因为 pass 如果 = 0,就表明 end 一定=0,反之 end =0,pass 不一定 =0。
插入、查询的大体流程是:
由根节点出发,通过参数中的每个字符,计算 path 路径,判断路径是否存在,如果是添加操作,就创建节点,如果是查询操作,就根据情况判断是否要直接返回结果。