三个数差的平方公式推导过程_勾股数公式的简单推导

3645fcefcdaa89e097506186f49ec5f9.png

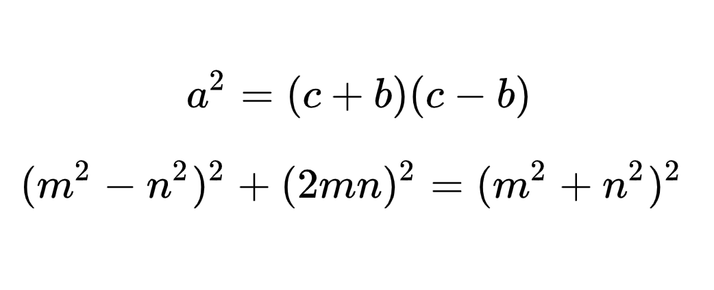
勾股数

是指满足
的正整数,它们的通用公式为
,下边我从定义出发,利用平方差公式举例实验找规律,推导出这一通用公式。

可知

为奇数时
全都是奇数;当
为偶数时
全都是偶数。(
,与
同奇同偶)

时,
,则
,此时
是奇数,令
,则

由此可得到(3,4,5)(5,12,13)(7,24,25)(9,40,41)(11,60,61)(13,84,85)等勾股数组。

时,
,则
,此时
是偶数,令
,则

由此可得到(4,3,5)(6,8,10)(8,15,17)(10,24,26)(12,35,37)(14,48,50)(16,63,65)等勾股数组。

时,
,则
,此时
是3的倍数且是奇数,令
,则

由此可得到(9,12,15)(15,36,39)(21,72,75)(27,240,243)(33,180,183)(39,252,255))等勾股数组

...........

发现规律了吗?让我们来一个更直接的假设吧:

,设
,则
,求出
,即
,这可以解释为:对任意正整数a和不大于a的每一个正整数k,总是存在两个差为k的有理数,它们的平方差等于a²。

乘上去,得到
,这就是通用勾股数公式的形式,完毕。

让我们从头分析一下,

这一式子中有三个变量,一个约束条件,意味着只有两个独立变量,取成a和b,那么推导过程中独立变量是怎么变成a和k的呢?就在于令
时,以k取代了b。然后我们确定这个等式的通用公式用两个独立变量就可以表示,因此我们有两个独立变量后可以暴力表示,再把有理式化成等式,就可以得到一个通用公式,但这个过程中,a的含义不知不觉发生了变化。

采用相同步骤,还可以寻找

的通用公式
:将式子改写成
,令
,则
,解得
,即
,把
提到分子上后得到了最终公式
,a、b、k三个独立变量可取任意正整数。

例如,

时能得到
;取(3,2,1) 时能得到
,可继续化简为
;取(4,2,1) 时能得到
;取(4,2,3) 时能得到
;取(2,2,3) 时能得到
;取(2,2,1) 时能得到
等。

性质:1.此公式中a与b地位完全对等;

2.左边已经有了两个偶数,为了避免剩下的两个也是偶数,a、b、k中必须有1或3个奇数。

注意到这个公式无法直接生成勾股数嵌套的最简例子

,因为13、7这些数无法写成三正整数平方和,只能由(3,4,1)生成它的两倍式
,因此这个公式还是有些粗糙,可能不是最终的通用公式,但已经可以用一下了。

3.(a,b,k)的轮换能产生三种不同的三平方和,

例(5,3,1)(5,1,3)(3,1,5)轮换能导出

(6,2,1)(6,1,2)(2,1,6)轮换能导出

本文来自互联网用户投稿,该文观点仅代表作者本人,不代表本站立场。本站仅提供信息存储空间服务,不拥有所有权,不承担相关法律责任。如若转载,请注明出处:http://www.mzph.cn/news/519589.shtml

如若内容造成侵权/违法违规/事实不符,请联系多彩编程网进行投诉反馈email:809451989@qq.com,一经查实,立即删除!

相关文章

通过阿里云K8S Ingress Controller实现路由配置的动态更新

简介 在Kubernetes集群中,Ingress作为集群内服务对外暴露的访问接入点,其几乎承载着集群内服务访问的所有流量。我们知道,Nginx Ingress Controller是Kubernetes社区很重要的一个子项目,其内部主要依托于高性能的负载均衡软件Ngi…

编写一个C程序,实现以下功能:用一个函数实现两个字符串的比较,即自己写一个strcmp函数,函数原型为:int strcmp(char *p1,char *p2);设p1指向字符串s

题目描述: 编写一个C程序,实现以下功能: 用一个函数实现两个字符串的比较,即自己写一个strcmp函数,函数原型为: int strcmp(char *p1,char *p2); 设p1指向字符串s1,p2指向字符串s2,…

工作流实战_14_flowable_已办任务列表查询

项目地址:https://gitee.com/lwj/flowable.git 分支flowable-base 视频讲解地址 https://space.bilibili.com/485524575/channel/detail?cid94579 1、演示 2、代码 这里也是通过sql来查询的 SELECT DISTINCTt1.ID_ AS taskId,t1.NAME_ AS taskName,t2.FIRST_ AS…

SpringBoot使用prometheus监控

本文介绍SpringBoot如何使用Prometheus配合Grafana监控。 1.关于Prometheus Prometheus是一个根据应用的metrics来进行监控的开源工具。相信很多工程都在使用它来进行监控,有关详细介绍可以查看官网:https://prometheus.io/docs/introduction/overview/…

合同相似可逆等价矩阵的关系及性质_笔记:辛矩阵和Siegel上半平面

1.辛矩阵(1.1)定义。 设 , 是交换幺环。定义其中 ,以及注意,对任意 , 令 ,演算知 。因此有群概形的正合列:(1.2)等价条件。设 ,利用分块矩阵计算,可知下述条件…

详解异构计算FPGA基础知识

戳蓝字“CSDN云计算”关注我们哦!作者 | 浩仔责编 | 阿秃随着云计算,大数据和人工智能技术应用,单靠CPU已经无法满足各行各业的算力需求。海量数据分析、机器学习和边缘计算等场景需要计算架构多样化,需要不同的处理器架构和GPU&a…

开发函数计算的正确姿势——使用 brotli 压缩大文件

大文件问题 函数计算对上传的 zip 代码包尺寸限制为 50M。某些场景中代码包中会超过这一限制,比如二进制 serverless-chrome 经过一番裁剪以后 ZIP 压缩包的体积为 43.4M,类似的还有 liboffice ,此外常见的还有机器学习训练的模型文件。 目…

流程变量的分组_01

项目地址:https://gitee.com/lwj/flowable.git 分支flowable-base 视频地址:https://www.bilibili.com/video/av79774697/ 业务场景: 实际场景中,有可能我们的流程变量会比较多,如果一个变量就作为一条记录存储的话&a…

编写一个C程序,实现以下功能:动态申请长度为5的整数空间数组,用户输入5个整数;动态扩展数组空间为8,用户另外输入3个整数,最后输出扩展后的全部数组元素。

DGUT最简单的题。没有之一&#xff0c;只要面向GOOGLE和百度编程就行。 在GOOGLE查询malloc和realloc。 malloc&#xff1a;动态申请内存。 realloc&#xff1a;动态更改&#xff08;扩展&#xff09;内存 代码如下 #define _CRT_SECURE_NO_WARNINGS 1 #include<stdio.…

amd显卡风扇调节_中端游戏显卡新晋黑马,华硕ROG STRIX RX5600XT O6G GAMING拆解评测...

在年初的CES2020上&#xff0c;AMD发布了面向中端市场的Radeon RX 5500 XT&#xff0c;进一步完善了自己的游戏显卡产品线。在本月21日&#xff0c;RX 5600 XT正式解禁发布。各大AIB厂商也在第一时间推出了自己的相关产品。我们也在第一时间收到了来自华硕的ROG STRIX RX5600XT…

集成源码深度剖析:Fescar x Spring Cloud

Fescar 简介 常见的分布式事务方式有基于 2PC 的 XA (e.g. atomikos)&#xff0c;从业务层入手的 TCC( e.g. byteTCC)、事务消息 ( e.g. RocketMQ Half Message) 等等。XA 是需要本地数据库支持的分布式事务的协议&#xff0c;资源锁在数据库层面导致性能较差&#xff0c;而支…

CPU 到底是怎么认识代码的?涨姿势了!

戳蓝字“CSDN云计算”关注我们哦&#xff01;作者 | brightwang责编 | 阿秃最近读到这样一篇好文章&#xff0c;从底层硬件角度出发剖析了一下CPU对代码的识别和读取&#xff0c;内容非常精彩&#xff0c;读完感觉大学里学到的很多东西瞬间联系起来了&#xff0c;这里分享给大家…

编写一个C程序,实现以下功能:编写一个常规的函数和一个递归函数,两个函数均能将输入的一个字符串以按反序形式的字符串作为返回值。在main函数中输入一行字符串,分别调用两个函数,输出反序后的字符串。

题目要求&#xff1a; 编写一个C程序&#xff0c;实现以下功能&#xff1a;编写一个常规的函数和一个递归函数&#xff0c;两个函数均能将输入的一个字符串以按反序形式的字符串作为返回值。在main函数中输入一行字符串&#xff0c;分别调用两个函数&#xff0c;输出反序后的字…

.流程引擎对接的三种方式_02

项目地址&#xff1a;https://gitee.com/lwj/flowable.git分支flowable-base 视频地址&#xff1a;https://www.bilibili.com/video/av79774697/ 业务场景&#xff1a; 实际业务中&#xff0c;我们有三种对接流程的方式 1、自定义流程对接 2、内部业务流程对接 3、外部系统对接…

Dubbo Mesh 在闲鱼生产环境中的落地实践

本文作者至简曾在 2018 QCon 上海站以《Service Mesh 的本质、价值和应用探索》为题做了一次分享&#xff0c;其中谈到了 Dubbo Mesh 的整体发展思路是“借力开源、反哺开源”&#xff0c;也讲到了 Service Mesh 在阿里巴巴的发路径将经历以下三大阶段&#xff1a; 撬动做透价…

github private链接访问_将github配置为图床+PicGo配置

将github配置为图床PicGo配置快乐的红领巾&#xff1a;​zhuanlan.zhihu.com1、建一个git仓库 2、获取授权token 3、配置PicGo 4、picgo快捷键1、建一个git仓库用于存需要上传的图片。这个仓库最好是public的&#xff0c;因为private的仓库&#xff0c;图片链接会带token&#…

编写一个C程序,实现以下功能:编写一个函数decTobin(int n),该函数能将一个十进制数n转换成二进制数,输入13 输出 1101。在main函数中输入整数n,调用函数,输出它的二进制

题目要求&#xff1a; 编写一个C程序&#xff0c;实现以下功能&#xff1a; //编写一个函数decTobin(int n)&#xff0c;该函数能将一个十进制数n转换成二进制数&#xff0c;输入13 输出 1101。 //在main函数中输入整数n,调用函数&#xff0c;输出它的二进制数。 二进值怎么来…

RocketMQ 在平安银行的实践和应用

随着互联网金融业务和相关技术的不断发展&#xff0c;传统金融行业为满足业务快速发展需求&#xff0c;正在积极引入各类开源技术&#xff0c;以快速抢占市场。那么&#xff0c;以金融和科技作为双驱动的平安银行在开源技术的引入方面是如何评估&#xff0c;运用到哪些业务场景…

flowable节点的自定义属性扩展_03

文章目录新增一个节点属性新增一个package&#xff1b;把我们新增的这个package添加节点属性中编写angularJS脚本在properties.js 配置模板&#xff1b;编写js控制器配置引用后台配置解析我们的节点属性编写一个自定义的解析器bean的初始化spring定义bean项目地址&#xff1a;h…

终于有人把超融合和边缘计算说清楚了

戳蓝字“CSDN云计算”关注我们哦&#xff01;作者 | 采葑责编 | 阿秃近年来超融合在国内迎来快速增长&#xff0c;根据IDC最新发布的报告&#xff0c;2019上半年中国超融合市场增长率达56.7%&#xff0c;大幅超越去年同期。Gartner发布的最新报告&#xff0c;到2023年我国超融合…