1、 Precision, recall and F-measure(f1-score)

2、思路
数据集:手写数字集
从训练集中抽取数据,保证每种label的数量一致,使用SVM 或ANN模型训练新数据集。按照高斯分布抽取新数据, 再次使用SVM 或ANN模型训练。下图显示抽取后的每种label的个数

3、软件框图

4、代码
由于代码有点多,点此处链接 下载。每个函数都有功能,输入,输出描述。
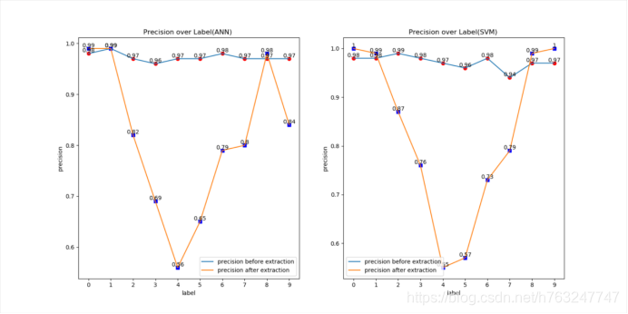
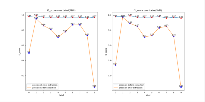
5、运行结果




数据集:手写数字集
从训练集中抽取数据,保证每种label的数量一致,使用SVM 或ANN模型训练新数据集。按照高斯分布抽取新数据, 再次使用SVM 或ANN模型训练。下图显示抽取后的每种label的个数


由于代码有点多,点此处链接 下载。每个函数都有功能,输入,输出描述。



本文来自互联网用户投稿,该文观点仅代表作者本人,不代表本站立场。本站仅提供信息存储空间服务,不拥有所有权,不承担相关法律责任。如若转载,请注明出处:http://www.mzph.cn/news/492202.shtml
如若内容造成侵权/违法违规/事实不符,请联系多彩编程网进行投诉反馈email:809451989@qq.com,一经查实,立即删除!