欧拉函数 :
欧拉函数是数论中很重要的一个函数,欧拉函数是指:对于一个正整数 n ,小于 n 且和 n 互质的正整数(包括 1)的个数,记作 φ(n) 。
完全余数集合:
定义小于 n 且和 n 互质的数构成的集合为 Zn ,称呼这个集合为 n 的完全余数集合。 显然 |Zn| =φ(n) 。
有关性质:
对于素数 p ,φ(p) = p -1 。
对于两个不同素数 p, q ,它们的乘积 n = p * q 满足 φ(n) = (p -1) * (q -1) 。
这是因为 Zn = {1, 2, 3, ... , n - 1} - {p, 2p, ... , (q - 1) * p} - {q, 2q, ... , (p - 1) * q} , 则 φ(n) = (n - 1) - (q - 1) - (p - 1) = (p -1) * (q -1) =φ(p) * φ(q) 。
欧拉定理 :
对于互质的正整数 a 和 n ,有 aφ(n) ≡ 1 mod n 。
证明:
( 1 ) 令 Zn = {x1, x2, ..., xφ(n)} , S = {a * x1 mod n, a * x2 mod n, ... , a * xφ(n) mod n} ,
则 Zn = S 。
① 因为 a 与 n 互质, xi (1 ≤ i ≤ φ(n)) 与 n 互质, 所以 a * xi 与 n 互质,所以 a * xi mod n ∈ Zn 。
② 若 i ≠ j , 那么 xi ≠ xj,且由 a, n互质可得 a * xi mod n ≠ a * xj mod n (消去律)。
( 2 ) aφ(n) * x1 * x2 *... * xφ(n) mod n
≡ (a * x1) * (a * x2) * ... * (a * xφ(n)) mod n
≡ (a * x1 mod n) * (a * x2 mod n) * ... * (a * xφ(n) mod n) mod n
≡ x1 * x2 * ... * xφ(n) mod n
对比等式的左右两端,因为 xi (1 ≤ i ≤ φ(n)) 与 n 互质,所以 aφ(n) ≡ 1 mod n (消去律)。
注:
消去律:如果 gcd(c,p) = 1 ,则 ac ≡ bc mod p ⇒ a ≡ b mod p 。
费马定理 :
若正整数 a 与素数 p 互质,则有 ap - 1 ≡ 1 mod p 。
证明这个定理非常简单,由于 φ(p) = p -1,代入欧拉定理即可证明。
参考来源:
http://zhidao.baidu.com/question/15882452.html?si=2
》》》》》》》》》》》》》》》》》》》》》》》》》》》》》》
补充:欧拉函数公式
( 1 ) pk 的欧拉函数
对于给定的一个素数 p , φ(p) = p -1。则对于正整数 n = pk ,
φ(n) = pk - pk -1证明:小于 pk 的正整数个数为 pk - 1个,其中和 pk 不互质的正整数有{p * 1,p * 2,...,p * (pk - 1-1)} 共计 pk - 1 - 1 个所以 φ(n) = pk - 1 - (pk - 1 - 1) = pk - pk - 1 。
( 2 ) p * q 的欧拉函数
假设 p, q是两个互质的正整数,则 p * q 的欧拉函数为
φ(p * q) = φ(p) * φ(q) , gcd(p, q) = 1 。
证明:令 n = p * q , gcd(p,q) = 1根据中国余数定理,有Zn 和 Zp × Zq 之间存在一一映射
(我的想法是: a ∈ Zp , b ∈ Zq ⇔ b * p + a * q ∈ Zn 。)所以 n 的完全余数集合的元素个数等于集合 Zp × Zq 的元素个数。而后者的元素个数为 φ(p) * φ(q) ,所以有φ(p * q) = φ(p) * φ(q) 。
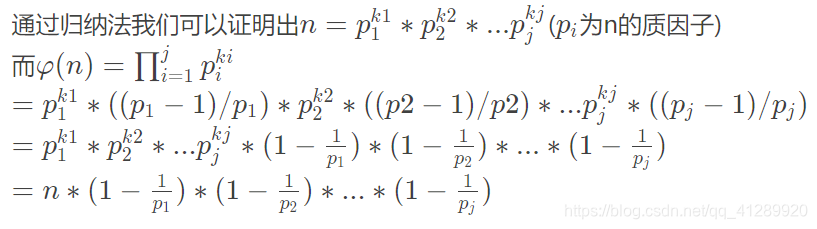
( 3 ) 任意正整数的欧拉函数
任意一个整数 n 都可以表示为其素因子的乘积为:
In = ∏ piki (I 为 n 的素因子的个数)
i=1
根据前面两个结论,很容易得出它的欧拉函数为:
I IΦ(n) = ∏ piki -1(pi -1) = n ∏ (1 - 1 / pi)i=1 i=1
对于任意 n > 2,2 | Φ(n) ,因为必存在 pi -1 是偶数。
程序代码可参见:http://blog.csdn.net/Rappy/archive/2007/08/16/1747489.aspx
转自https://blog.csdn.net/hillgong/article/details/4214327
