

什么是蒙特卡罗模拟?
蒙特卡罗方法是一种使用随机数和概率来解决复杂问题的技术。蒙特卡罗模拟或概率模拟是一种技术,用于了解金融部门、项目管理、成本和其他预测机器学习模型中风险和不确定性的影响。风险分析几乎是我们做出的每一个决定的一部分,因为我们在生活中经常面临不确定性、模糊性和变化无常。此外,即使我们拥有前所未有的信息获取渠道,我们也不能准确预测未来。蒙特卡洛模拟使我们能够看到决策的所有可能结果,并评估风险影响,从而在不确定的情况下更好地做出决策。在本文中,我们将通过五个不同的例子来理解蒙特卡罗模拟方法。应用领域:金融、项目管理、能量、制造业、工程学、研究和开发、保险、石油和天然气公司、交通、环境等。
举例:
- 抛硬币示例
- 用圆和平方估计PI
- 三门问题
蒲丰投针问题
- 为什么赌场总是赚的?

抛硬币示例
抛硬币中奖的概率是1/2。但是,我们有没有办法从实验上证明这一点呢?在这个例子中,我们将使用蒙特卡罗方法迭代地模拟抛硬币5000次,以找出为什么头部或尾巴的概率总是1/2。如果我们重复抛硬币很多很多次,那么我们可以在概率值的准确答案上获得更高的精确度。在这个例子中,我们将使用Monte-Carlo方法反复模拟抛硬币5000次,以找出头部或尾部的概率始终是1/2的概率。
正面和反面,数学表示在抛硬币时:
正面和反面硬币的公式示例接下来,我们将用蒙特卡罗方法对这个公式进行实验证明。Python实现:
1.导入所需的库:
为我们的抛硬币示例导入所需的库2.投币功能:
一个简单的函数,将结果随机排列在0和1之间,头部为0,尾部为13.检查函数输出:
运行Coin_Flip()函数4.主要功能:
计算概率并将概率值附加到结果5.调用main函数:
调用Monte Carlo主函数,并绘制最终值如图8所示,我们显示在5,000次迭代之后,获得尾部的概率为0.502。因此,这就是我们可以如何使用蒙特卡罗模拟来通过实验找到概率的方法。
使用圆形和正方形估算PI
圆形和正方形的简单面积
分别计算圆形和正方形的面积要估计PI的值,我们需要正方形的面积和圆的面积。为了找到这些区域,我们将在表面上随机放置点,并计算落在圆内的点和落在正方形内的点。这将给我们一个估计的面积。因此,我们将使用点数作为面积,而不是使用实际面积。在下面的代码中,我们使用Python的Turtle模块来查看点的随机放置。python实现:
1.导入需要的库
为我们的π示例导入所需的库2.可视化这些点:
绘制图形3.初始化部分必填数据:
初始化数据值4.主要功能:
实现主功能5.绘制数据:
绘制数据值6.输出
图15:使用蒙特卡罗方法的π近似。
值的数据可视化
值的数据可视化如上图所示,我们可以看到,经过5000次迭代后,我们可以得到PI的近似值。另外,请注意,随着迭代次数的增加,估计误差也呈指数下降。

三门问题
假设你正在参加一个游戏节目,你可以从三扇门中选择一扇:一扇门后面是一辆汽车;另一扇门后面是山羊。你选了一扇门,假设是1号门,主人,谁知道门后面有什么,就打开另一扇门,比如说3号门,里面有一只山羊。主人然后问你:你是坚持自己的选择,还是选择另一扇门? 选择不同的门对你有好处吗? 事实证明,从概率上说,打开门对我们有利。具体分析:
导入所需库2. 初始化数据:
初始化代表门的枚举变量和存储概率值的列表3. Main函数:
用蒙特卡洛模拟来实现主函数.4. 调用main函数:
调用主函数模拟1000次博弈5. 输出:
得到坚持自己的选择或换门的近似获胜概率.在上图中,我们发现在1000次模拟后,如果我们换门,获胜概率是0.669。因此,我们确信在本例中换门对我们更有利.
蒲丰投针问题
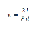
法国贵族Georges-Louis Leclerc,即蒲丰公爵在1777年提出了这样一个问题:若在一张绘有等距平行线的纸上随意抛一根短针,求针和任意一条线相交的概率概率取决于方格纸的线间距(d),和针长度(l)——或者说,它取决于l/d的比值。在这个例子里,我们可以认为针长度l≤d。简而言之,我们假设了针不能同时相交于两条不同的线。令人惊讶的是,蒲丰针问题的答案与PI相关。这里,我们将使用用蒙特卡洛法来解蒲丰投针问题,顺便估计出PI的值。不过在此之前,我们要先展示一下解法是如何推导出来的,这样会更有趣。
定理:
如果一根长为l的短针落在一张纸上,而纸上画有距离d≥l的等距线,那么针与任一条线相交的概率为:
蒲丰投针定理证明:
蒲丰投针问题的可视化首先,我们需要统计出与任意垂线相交的针的数量。若针与任意一条线相交,对于特定的θ值,针与垂线相交的最大和最小可能值为:最大可能值:
最大概率值2. 最小可能值:
最小可能值因此, 对于特定的θ值,针在垂线上的概率是:
针与垂线相交的概率公式这个概率公式局限于特定θ值,在本实验中,θ的范围是0到pi/2。所以,我们需要对所有的θ值做一个积分,得到投针相交的实际概率.
对所有θ值积分的投针相交概率公式
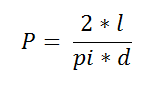
PI的估计值由蒲丰投针问题来估计PI:
接下来,我们要用上面的公式来进行实验求得PI值.
求PI值现在,因为我们已经知道了l和d的值,所以只要求得了P的值,我们就可以推知PI的值。而要得到概率P,必须要知道相交针数和总针数, 这里的总针数是已知的.下图是计算相交针数的直观图解.
可视化表示如何计算针的数量Python 实现:
- Import 所需的库:
导入所需库2. Main 函数:
用蒙特卡洛方法模拟蒲丰投针3. 调用main函数:
调用main函数模拟蒲丰投针4. 输出:
使用蒙特卡洛方法模拟100次投针的数据如上图所示,经过100次的模拟,蒙特卡洛法就能得出一个非常接近PI的值。

为什么赌场总是赚的?
赌场是怎么赚钱的?诀窍很简单--“你玩得越多,他们赚的就越多。” 让我们通过一个简单的蒙特卡罗模拟示例来看看这是如何工作的。考虑一个假想的游戏,玩家必须从一袋筹码中选择一个筹码。规则:
- 袋子里有数字从1到100的筹码。
- 用户可以押注于偶数或奇数筹码。
- 在这个游戏中,10和11是特殊的数字。如果我们赌偶数,那么10就算奇数,如果我们赌赔率,那么11就算偶数。
- 如果我们赌偶数,我们得了10,那么我们就输了。
- 如果我们赌的是奇数,我们得了11,那么我们就输了。

Python 实现
Import所需的库:
导入赌场模拟所需的库2. 玩家下注:
在下注奇数或偶数3. Main 函数:
使用蒙特卡洛方法模拟赌场行为4. 最终输出:
计算并展示计算结果5. 模拟1000次试试:
模拟1000次6. 下注数 = 5
图43: 下注5次时的结果可视化 .7. 下注数 = 10:
图44: 下注10次时的结果可视化.8. 下注数 = 1000:
下注1000次时的结果可视化 9. 下注数 = 5000:
下注5000次时的结果可视化 10. 下注数 = 10000:
下注10000次时的结果可视化从上面的实验中,我们可以看到,如果玩家在赌博中下注较少,那么有得赚的机会就比较大。有时候实验会得到负数,这意味着玩家输得倾家荡产负债累累,而不是单车变路虎.请注意, 这些比例源于为促进理解的非真实场景,认不赌为赢.
结论
就像任何预测模型一样 模拟结果只有我们的估计值才是好的 重要的是要记住,蒙特卡洛模拟只代表概率而不是确定性。尽管如此,在预测未知的未来时,蒙特卡洛模拟是一个有价值的工具。

AI研习社是AI学术青年和开发者社区,为大家提供一个顶会资讯、论文解读、数据竞赛、求职内推等的技术交流阵地,欢迎登陆www.yanxishe.com加入我们吧~
投稿、转载、媒介合作联系微信号 | bajiaojiao-sz
商务合作联系微信号 | LJ18825253481