转载:https://www.cnblogs.com/skywang12345/p/3711483.html
深度优先搜索
1. 深度优先搜索介绍
图的深度优先搜索(Depth First Search),和树的先序遍历比较类似。
它的思想:假设初始状态是图中所有顶点均未被访问,则从某个顶点v出发,首先访问该顶点,然后依次从它的各个未被访问的邻接点出发深度优先搜索遍历图,直至图中所有和v有路径相通的顶点都被访问到。 若此时尚有其他顶点未被访问到,则另选一个未被访问的顶点作起始点,重复上述过程,直至图中所有顶点都被访问到为止。
显然,深度优先搜索是一个递归的过程。
2. 深度优先搜索图解
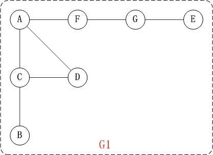
2.1 无向图的深度优先搜索
下面以"无向图"为例,来对深度优先搜索进行演示。
|
|
对上面的图G1进行深度优先遍历,从顶点A开始。
|
|
第1步:访问A。
第2步:访问(A的邻接点)C。
在第1步访问A之后,接下来应该访问的是A的邻接点,即"C,D,F"中的一个。但在本文的实现中,顶点ABCDEFG是按照顺序存储,C在"D和F"的前面,因此,先访问C。
第3步:访问(C的邻接点)B。
在第2步访问C之后,接下来应该访问C的邻接点,即"B和D"中一个(A已经被访问过,就不算在内)。而由于B在D之前,先访问B。
第4步:访问(C的邻接点)D。
在第3步访问了C的邻接点B之后,B没有未被访问的邻接点;因此,返回到访问C的另一个邻接点D。
第5步:访问(A的邻接点)F。
前面已经访问了A,并且访问完了"A的邻接点B的所有邻接点(包括递归的邻接点在内)";因此,此时返回到访问A的另一个邻接点F。
第6步:访问(F的邻接点)G。
第7步:访问(G的邻接点)E。
因此访问顺序是:A -> C -> B -> D -> F -> G -> E
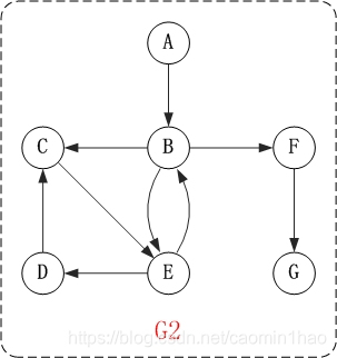
2.2 有向图的深度优先搜索
下面以"有向图"为例,来对深度优先搜索进行演示。
|
|
对上面的图G2进行深度优先遍历,从顶点A开始。
|
|
第1步:访问A。
第2步:访问B。
在访问了A之后,接下来应该访问的是A的出边的另一个顶点,即顶点B。
第3步:访问C。
在访问了B之后,接下来应该访问的是B的出边的另一个顶点,即顶点C,E,F。在本文实现的图中,顶点ABCDEFG按照顺序存储,因此先访问C。
第4步:访问E。
接下来访问C的出边的另一个顶点,即顶点E。
第5步:访问D。
接下来访问E的出边的另一个顶点,即顶点B,D。顶点B已经被访问过,因此访问顶点D。
第6步:访问F。
接下应该回溯"访问A的出边的另一个顶点F"。
第7步:访问G。
因此访问顺序是:A -> B -> C -> E -> D -> F -> G



