二叉树

(一)二叉树的三种遍历方式:
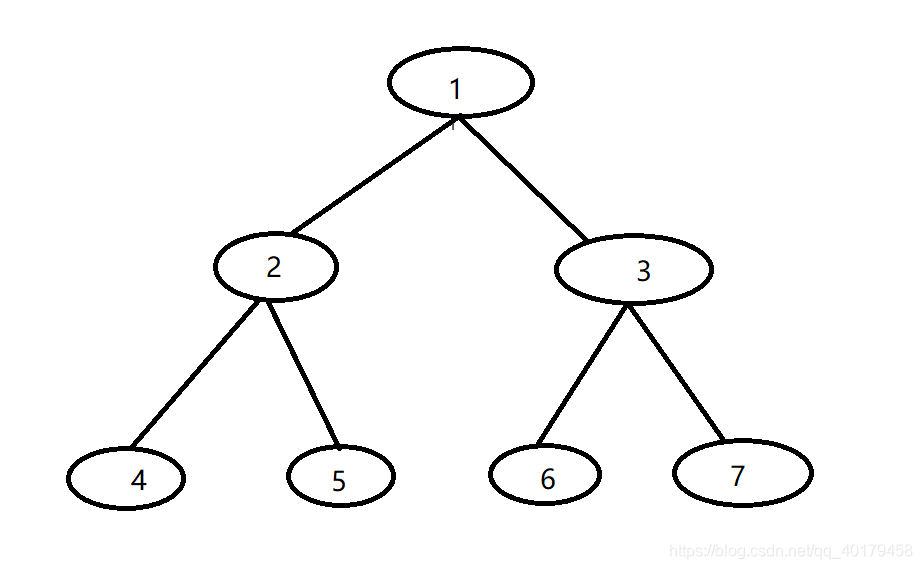
前序遍历 : 1 2 4 5 3 6 7 ; 中序遍历 : 4 2 5 1 6 3 7 ; 后序遍历 : 4 5 2 6 7 3 1 ;
本质是在递归序的基础上打印时机的不同,可以使用栈来实现三种遍历。深度优先遍历(DFS)
(二)各种遍历的非递归实现
struct Node {int value;Node *left;Node *right;
};前序遍历:
1.先定义一个栈,把跟压入栈 ; 2. 弹出栈顶元素,并且打印出来;3.如果弹出的栈顶元素有右节点,先将该节点压入到栈中,如果有左节点,再后向栈中压入左节点;中左右顺序,因为是栈,所以先压入右,后压入左。
static void preOrderUnRecur(Node *head) {if (head != nullptr) {stack<Node*> stack;stack.push(head);while (!stack.empty()) {head = stack.top();printf("%d\0", head->value);stack.pop();if (head->right != nullptr) {stack.push(head->right);}if (head->left != nullptr) {stack.push(head->left);}}}
}2.后续遍历,左中右,把前序遍历的基础上调整左右子树压入顺序,期间不进行打印,并且开辟额外的栈,来保存节点,最后统一输出便是左右中。
3.中序遍历:把整个树左边界化,从根节点开始一直沿着左树压入栈,如果有右子树依然是按照左边界的方式重复。
可以使用队列来实现三种遍历。广度优先遍历(BFS)
1.定义一个队列,先压入根节点。然后分别压入先左后右子树,依次弹出。本例输出:1,2,3,4,5,6,7
bool leveltraverse(Btree T){Btree p;if(!T)return false;queue<Btree>Q; //创建一个队列,指针类型Q.push(T); //根指针入队while(!Q.empty()){ //如果队列不空p=Q.front();//取出队头元素Q.pop(); //队头元素出队cout<<p->data<<"  ";if(p->lchild)Q.push(p->lchild); //左孩子指针入队if(p->rchild)Q.push(p->rchild); //右孩子指针入队}return true;
}哈夫曼编码
#include<iostream>
#include<cstring>
using namespace std;
#define MAXBIT    100
#define MAXVALUE  0x3f3f3f3f
#define MAXLEAF   30
#define MAXNODE   MAXLEAF*2 -1typedef struct{ //节点结构体double weight; //权值int parent; //双亲int lchild; //左孩子int rchild; //右孩子char value; //字符信息 
}HNodeType;        typedef struct{ //编码结构体int bit[MAXBIT];int start;
}HCodeType;
HNodeType HuffNode[MAXNODE]; //定义一个节点结构体数组
HCodeType HuffCode[MAXLEAF]; //定义一个编码结构体数组void HuffmanTree (HNodeType HuffNode[], int n){ //构造哈夫曼树int x1,x2; //x1、x2:最小、次小权值节点的编号double m1,m2; //m1、m2:最小、次小权值节点的权值for(int i=0;i<2*n-1;i++){//初始化HuffNode[i].weight=0;HuffNode[i].parent=-1;HuffNode[i].lchild=-1;HuffNode[i].rchild=-1;}cout<<"Please input value and weight of leaf node :"<<endl;for(int i=0;i<n;i++)//输入n个叶子的信息和权值cin>>HuffNode[i].value>>HuffNode[i].weight;for(int i=0;i<n-1;i++){//执行n-1次合并m1=m2=MAXVALUE;x1=x2=0;for(int j=0;j<n+i;j++){//找权值最小和次小、且无父节点的两个节点if(HuffNode[j].weight<m1&&HuffNode[j].parent==-1){m2=m1;x2=x1;m1=HuffNode[j].weight;x1=j;}else if(HuffNode[j].weight<m2&&HuffNode[j].parent==-1){m2=HuffNode[j].weight;x2=j;}}HuffNode[x1].parent=n+i; //更新5个信息,两个结点的父亲为新节点,新节点的权值和两个孩子 HuffNode[x2].parent=n+i;HuffNode[n+i].weight=m1+m2;HuffNode[n+i].lchild=x1;HuffNode[n+i].rchild=x2;cout<<"x1.weight and x2.weight in round "<<i+1<<"\t"<<HuffNode[x1].weight<<"\t"<<HuffNode[x2].weight<<endl; /* 用于测试 */}
}void HuffmanCode(HCodeType HuffCode[],int n){ //哈夫曼树编码HCodeType cd; //定义一个临时变量来存放求解编码时的信息int c,p;for(int i=0;i<n;i++){cd.start=n-1;c=i;p=HuffNode[c].parent;while(p!=-1){if(HuffNode[p].lchild==c)cd.bit[cd.start]=0;elsecd.bit[cd.start]=1;cd.start--; //前移一位c=p;p=HuffNode[c].parent; //设置下一循环条件}//把叶子节点的编码信息从临时编码cd中复制出来,放入编码结构体数组for(int j=cd.start+1;j<n;j++)HuffCode[i].bit[j]=cd.bit[j];HuffCode[i].start=cd.start;}
}int main(){int n;cout<<"Please input n:"<<endl;cin>>n;HuffmanTree(HuffNode,n); //构造哈夫曼树HuffmanCode(HuffCode,n); //哈夫曼编码for(int i=0;i<n;i++){ //输出所有哈夫曼编码cout<<HuffNode[i].value<<": Huffman code is: ";for(int j=HuffCode[i].start+1;j<n;j++)cout<<HuffCode[i].bit[j];cout<<endl;}return 0;
}
/*测试数据 
6
a 0.05
b 0.32
c 0.18
d 0.07
e 0.25
f 0.13
*/