由于map和set的底层是红黑树,同时后面要讲的AVL树(高度平衡二叉搜索树),为了方便理解,我们先来讲解二叉搜索树,因为红黑树和AVL树都是在二叉搜索树的前提下实现的
在之前的C语言数据结构章节中,我们讲过二叉树,这次就来认识一下二叉搜索树
1. 二叉搜索树的概念
二叉搜索树又称二叉排序树,它或者是一棵空树,或者是具有以下性质的二叉树:
• 若它的左子树不为空,则左子树上所有结点的值都小于等于根结点的值
• 若它的右子树不为空,则右子树上所有结点的值都大于等于根结点的值
• 它的左右子树也分别为二叉搜索树
• 二叉搜索树中可以支持插入相等的值,也可以不支持插入相等的值,具体看使用场景定义,后续我们学习map/set/multimap/multiset系列容器底层就是二叉搜索树,其中map/set不支持插入相等值,multimap/multiset支持插入相等值

2. 二叉搜索树的性能分析
最优情况下,二叉搜索树为完全二叉树(或者接近完全二叉树),其高度为: log2 N
最差情况下,二叉搜索树退化为单支树(或者类似单支),其高度为: N
所以综合而言二叉搜索树增删查改时间复杂度为: O(N)
那么这样的效率显然是无法满足我们需求的,我们后续章节需要继续讲解二叉搜索树的变形,平衡二叉搜索树AVL树和红黑树,才能适用于我们在内存中存储和搜索数据。
另外需要说明的是,二分查找也可以实现 O(log2 N) 级别的查找效率,但是二分查找有两大缺陷:
1. 需要存储在支持下标随机访问的结构中,并且有序。
2. 插入和删除数据效率很低,因为存储在下标随机访问的结构中,插入和删除数据一般需要挪动数据。
这里也就体现出了平衡二叉搜索树的价值

3. 二叉搜索树的实现
template<class K>
struct BSTreeNode
{BSTreeNode(const K& key):_key(key),_left(nullptr),_right(nullptr){}K _key;BSTreeNode<K>* _left;BSTreeNode<K>* _right;
};template<class K>
class BSTree
{//typedef BSTreeNode<K> Node;using Node = BSTreeNode<K>;
public:
private:Node* _root = nullptr;
};
首先我们要管理每个节点的数据以及它的左右孩子,所以我们先封装一个树节点类,用来管理节点的数据和左右孩子,其次我们要把每个树节点统一管理,所以还需要再封装一个树类,用来管理所有节点。
BSTreeNode:
这里我们模板参数使用K(表示key的意思),模板参数并不是只能是T
和之前list一样,只需要写构造,原因如下:
I. 节点类的核心需求
二叉搜索树的节点通常需要强制初始化关键值(如节点的值 val),并将子节点指针(left 和 right)初始化为空。
通过定义带参数的构造函数,可以确保:
-
值必须显式初始化:节点必须有值,不能存在未初始化的节点。
-
子节点指针默认置空:左右子节点指针默认初始化为
nullptr,避免野指针问题。
II. C++ 构造函数规则
-
默认构造函数:如果用户没有定义任何构造函数,编译器会生成一个默认构造函数。但如果用户定义了带参数的构造函数,编译器不再生成默认构造函数。此时若尝试无参创建对象会报错,符合“节点必须有值”的逻辑。
-
拷贝构造函数:若未显式定义,编译器会生成一个浅拷贝构造函数。对于树节点来说,浅拷贝通常是危险的(可能导致重复释放同一内存),但二叉搜索树的操作一般通过指针传递节点,不涉及拷贝节点对象本身,因此可以暂时忽略拷贝构造函数的需求。若需要更严格的控制,可显式删除拷贝构造函数。
III. 为什么其他构造函数可以不写?
-
默认构造函数:
已通过带参构造函数禁用,确保节点必须有初始值。 -
拷贝构造函数:
树节点通常通过指针操作,不需要拷贝节点对象。若需要复制整棵树(深拷贝),应在树结构中实现,而非节点类中。 -
移动构造函数:
对于简单的值类型(如int和指针),默认生成的移动操作已足够。 -
析构函数:
节点类的子节点指针是“原始指针”,但二叉搜索树的释放通常由树结构统一管理(如递归删除子树),因此节点类可以不显式定义析构函数。
BSTree:
我们先将BSTreeNode<K>类型typedef一下(类型太长了不好写),但是我们这里使用using,在现阶段using和typedef功能是一样的,具体差异后面章节会讲,不过using取别名的用法有点不一样;由于我们要管理树,将所有节点联系起来,所以我们可以提供一个指向根节点的指针_root作为成员变量,方便我们管理
3.1 二叉搜索树的插入
插入的具体过程如下:
1. 树为空,则直接新增结点,赋值给root指针
2. 树不空,按二叉搜索树性质,插入值比当前结点大往右走,插入值比当前结点小往左走,找到空位置,插入新结点。
3. 如果支持插入相等的值,插入值跟当前结点相等的值可以往右走,也可以往左走,找到空位置,插入新结点。(要注意的是要保持逻辑一致性,插入相等的值不要一会往右走,一会往左走)
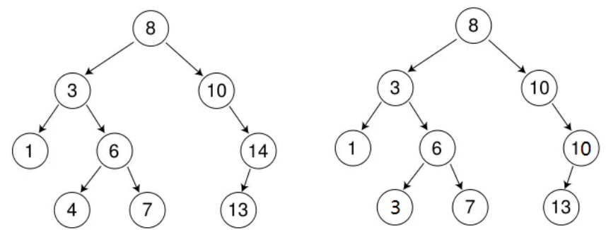
int a[] = { 8 , 3 , 1 , 10 , 6 , 4 , 7 , 14 , 13 };
以这组数据为例来画图演示一下:

插入不相等的值

插入相等的值

代码实现:
代码实现分别可以用递归和非递归两种方法来实现,这里我们采用非递归,递归太深的情况会栈溢出,同时我们这里默认不允许插入相等的值。
第一步:处理空树的特殊情况
-
若树为空(
_root == nullptr),直接创建根节点并初始化值为key,返回true表示插入成功。if (_root == nullptr) {_root = new Node(key);return true; }
第二步:查找插入位置
-
初始化指针:
-
parent记录当前节点的父节点(初始为nullptr)。 -
cur从根节点_root开始遍历。
Node* parent = nullptr; Node* cur = _root; -
-
循环遍历树:
-
若
key大于当前节点的值,向右子树移动。 -
若
key小于当前节点的值,向左子树移动。 -
若遇到重复值(
key已存在),返回false表示插入失败。
while (cur) {if (cur->_key < key) {parent = cur;cur = cur->_right;} else if (cur->_key > key) {parent = cur;cur = cur->_left;} else {return false; // 重复值,插入失败} } -
第三步:创建新节点并链接到父节点
-
创建新节点:
循环结束后,cur指向nullptr,此时parent是待插入位置的父节点。创建新节点cur。cur = new Node(key); -
确定插入方向:
根据key与父节点值的比较结果,将新节点链接为父节点的左子节点或右子节点。if (parent->_key < key) {parent->_right = cur; // 插入右子树 } else {parent->_left = cur; // 插入左子树 }
代码如下:
bool Insert(const K& key)
{if (_root == nullptr){_root = new Node(key);return true;}Node* parent = nullptr;Node* cur = _root;while (cur){if (cur->_key < key){parent = cur;cur = cur->_right;}else if (cur->_key > key){parent = cur;cur = cur->_left;}else{return false;}}cur = new Node(key);if (parent->_key < key){parent->_right = cur;}else{parent->_left = cur;}return true;
}
如果想要允许插入相等的值,只需要在第二步插入位置时,判断条件修改一下为cur->_key <= key或者cur->_key >= key,然后去掉else语句——遇到重复值(key 已存在),返回 false 表示插入失败。
3.2 打印测试
这里我们采用中序遍历的方式,将数据打印出来
void InOrder(Node* root)
{if (root == nullptr) return;InOrder(root->_left);cout << root->_key << " ";InOrder(root->_right);
}
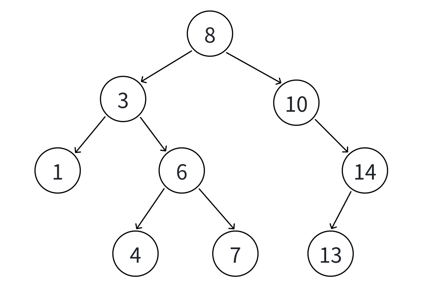
使用上面图示数据模拟:
void Test()
{int a[] = { 8,3,1,10,6,4,7,14,13 };BSTree<int> t;for (auto x : a){t.Insert(x);}t.InOrder(_root);
}
显然这么写是错的,编译一下可以看到

我们知道_root是私有成员变量,在类外我们是访问不了的,但是我们中序遍历需要传根节点指针,那应该怎么办呢?
我们可以实现一个类外可以访问的访问根节点的成员函数GetRoot(),但是这么写不太好,我们可以这么写
public:void InOrder(){_InOrder(_root);cout << endl;}
private:void _InOrder(Node* root){if (root == nullptr) return;_InOrder(root->_left);cout << root->_key << " ";_InOrder(root->_right);}
我们直接将中序遍历私有,然后在公有下把中序遍历封装在另一个函数中,这样我们就可以在类外无参的使用中序遍历
运行结果:

3.3 二叉搜索树的查找
1. 从根开始比较,查找x,x比根的值大则往右边走查找,x比根值小则往左边走查找。
2. 最多查找高度次,走到空,还没找到,这个值不存在。
3. 如果不支持插入相等的值,找到x即可返回
4. 如果支持插入相等的值,意味着有多个x存在,一般要求查找中序的第一个x。如下图,查找3,要找到1的右孩子的那个3返回

代码实现:
查找非常简单,和插入的思路一样
bool Find(const K& key)
{Node* cur = _root;while (cur){if (cur->_key < key){cur = cur->_right;}else if (cur->_key > key){cur = cur->_left;}else{return true;//找到了}}//没找到return false;
}
3.4 二叉搜索树的删除
首先查找元素是否在二叉搜索树中,如果不存在,则返回false。
如果查找元素存在则分以下四种情况分别处理:(假设要删除的结点为N)
1. 要删除的结点N左右孩子均为空
2. 要删除的结点N左孩子为空,右孩子结点不为空
3. 要删除的结点N右孩子为空,左孩子结点不为空
4. 要删除的结点N左右孩子结点均不为空
对应以上四种情况的解决方案:
1. 把N结点的父亲对应孩子指针指向空,直接删除N结点(情况1可以当成2或者3处理,效果是一样的)
2. 把N结点的父亲对应孩子指针指向N的右孩子,直接删除N结点
3. 把N结点的父亲对应孩子指针指向N的左孩子,直接删除N结点
4. 无法直接删除N结点,因为N的两个孩子无处安放,只能用替换法删除。找N左子树的值最大结点R(最右结点)或者N右子树的值最小结点R(最左结点)替代N,因为这两个结点中任意一个,放到N的位置,都满足二叉搜索树的规则。替代N的意思就是N和R的两个结点的值交换,转而变成删除R结点,R结点符合情况2或情况3,可以直接删除。



代码实现:
第1步. 查找待删除节点
-
初始化指针:
parent记录当前节点的父节点(初始为nullptr),cur从根节点_root开始遍历。 -
遍历搜索:
根据key与当前节点值的比较,向左或向右子树移动,直到找到目标节点或遍历结束。while (cur) {if (cur->_key < key) { ... } // 向右子树移动else if (cur->_key > key) { ... } // 向左子树移动else { ... } // 找到目标节点,进入删除逻辑 } -
未找到处理:
若遍历结束未找到key,返回false表示删除失败。
第2步. 根据子节点情况删除节点
(1) 左子节点为空(或右子节点为空)
-
直接替换:
-
若左子节点为空,用右子节点
cur->_right替代当前节点。 -
若右子节点为空,用左子节点
cur->_left替代当前节点。
-
-
处理根节点:
若删除的是根节点(cur == _root),直接更新_root为对应的子节点。 -
链接父节点:
根据cur是父节点的左/右子节点,更新父节点的指针指向cur的子节点。// 左子节点为空的情况 if (cur->_left == nullptr) {if (cur == _root) {_root = cur->_right; // 更新根节点} else {if (parent->_right == cur) {parent->_right = cur->_right;} else {parent->_left = cur->_right;}}delete cur; }
(2) 左右子节点均存在
-
替换法删除:
-
找到右子树的最小节点:从
cur->_right出发,循环找到最左侧节点replace(即右子树的最小节点)。 -
替换值:将
replace->_key赋值给cur->_key。 -
删除替换节点:
-
若
replace是其父节点的左子节点,将父节点的左指针指向replace的右子节点。 -
若
replace是其父节点的右子节点(即右子树没有左子节点),将父节点的右指针指向replace的右子节点。 -
删除
replace节点。
-
else {// 找右子树的最小节点Node* replaceParent = cur;Node* replace = cur->_right;while (replace->_left) {replaceParent = replace;replace = replace->_left;}// 替换值cur->_key = replace->_key;// 删除替换节点if (replace == replaceParent->_left) {replaceParent->_left = replace->_right;} else {replaceParent->_right = replace->_right;}delete replace; } -
第3步. 返回结果
-
删除成功:
在找到并删除节点后,立即返回true。 -
删除失败:
若循环结束未找到节点,返回false。
总结步骤
-
查找目标节点:遍历树找到待删除节点。
-
处理删除逻辑:
-
单子节点:直接用子节点替换,更新父节点或根节点指针。
-
双子节点:替换法删除(右子树最小节点),调整指针关系。
-
-
释放内存:删除节点并返回操作结果。
代码如下:
bool Erase(const K& key)
{Node* parent = nullptr;Node* cur = _root;while (cur){if (cur->_key < key){parent = cur;cur = cur->_right;}else if (cur->_key > key){parent = cur;cur = cur->_left;}else{// 找到了删除if (cur->_left == nullptr) // 左孩子为空{if (cur == _root){_root = cur->_right;}else{if (parent->_right == cur){// 此时cur->_key > parent->_keyparent->_right = cur->_right;}else //parent->_left == cur{// 此时cur->_key < parent->_keyparent->_left = cur->_right;}}delete cur;}else if (cur->_right == nullptr) // 右孩子为空{if (cur == _root){_root = cur->_left;}else{if (parent->_right == cur){// 此时cur->_key > parent->_keyparent->_right = cur->_left;}else //parent->_left == cur{// 此时cur->_key < parent->_keyparent->_left = cur->_left;}}delete cur;}else // 两个孩子都不为空{// 替换法删除节点——右子树最小节点替换Node* replaceParent = cur;// 要考虑删除根节点时,不能置为nullptrNode* replace = cur->_right;while (replace->_left){replaceParent = replace;replace = replace->_left;}cur->_key = replace->_key;if (replace == replaceParent->_left){replaceParent->_left = replace->_right;}else //replace == replaceParent->_right{// 此时第一个右孩子就是右子树最小节点replaceParent->_right = replace->_right;}delete replace;}//成功删除return true;}}//没找到,删除失败return false;
}
4. 二叉搜索树key和key/value使用场景
4.1 key搜索场景:
只有key作为关键码,结构中只需要存储key即可,关键码即为需要搜索到的值,搜索场景只需要判断key在不在。key的搜索场景实现的二叉树搜索树支持增删查,但是不支持修改,修改key破坏搜索树结构了。
场景1:小区无人值守车库,小区车库买了车位的业主车才能进小区,那么物业会把买了车位的业主的车牌号录入后台系统,车辆进入时扫描车牌在不在系统中,在则抬杆,不在则提示非本小区车辆,无法进入。
场景2:检查一篇英文章单词拼写是否正确,将词库中所有单词放入二叉搜索树,读取文章中的单 词,查找是否在二叉搜索树中,不在则波浪线标红提示

4.2 key/value搜索场景:
每一个关键码key,都有与之对应的值value,即<key, value>,value可以是任意类型对象。树的结构中(结点)除了需要存储key还要存储对应的value,增/删/查还是以key为关键字走二叉搜索树的规则进行比较,可以快速查找到key对应的value。key/value的搜索场景实现的二叉树搜索树支持修改,但是不支持修改key,修改key破坏搜索树性质了,可以修改value。
I. 键(Key)与值(Value)的定义
-
键(Key)
键是用于唯一标识数据的标识符。它类似于字典中的“词条”,用于快速查找、插入或删除对应的值。-
特性:唯一性(在同一个容器中,键不能重复)、可比较性(必须支持比较或哈希操作)。
-
示例:学号、身份证号、用户名等。
-
-
值(Value)
值是与键关联的实际数据。它可以是任意类型,存储具体的业务信息。-
特性:允许重复、无特殊约束(除非业务需要)。
-
示例:学生成绩、用户详细信息、缓存的数据等。
-
II. 键与值的核心差异
| 特性 | 键(Key) | 值(Value) |
|---|---|---|
| 唯一性 | 必须唯一 | 可以重复 |
| 作用 | 快速定位数据 | 存储实际数据 |
| 约束 | 必须可比较或可哈希 | 无特殊约束(类型灵活) |
| 修改性 | 通常不可修改(需删除后重新插入) | 可直接修改 |
场景1:简单中英互译字典,树的结构中(结点)存储key(英文)和vlaue(中文),搜索时输入英文,则同时查找到了英文对应的中文。
场景2:商场五日值守车库,入口进场时扫描车牌,记录车牌和入场时间,出口离场时,扫描车牌,查找入场时间,用当前时间-入场时间计算出停车时长,计算出停车费用,缴费后抬杆,车辆离场。
场景3:统计一篇文章中单词出现的次数,读取一个单词,查找单词是否存在,不存在这个单词说明第一次出现,(单词,1),单词存在,则++单词对应的次数。
代码实现:
我们只需要在之前二叉搜索树的增删查代码的基础上简单修改即可,增加一个模板参数V,此时我们节点中存储的数据就是键值对<key, value>,所以在树节点类中需要新增一个V类型的成员变量,同时构造函数中也需要增加一个V类型的形参
Insert: 只需增加一个V类型的形参,因为在插入新的树节点时,要new一个<key, value>类型的树节点,其余操作不需要改变
Find:只需要查找键,修改返回值,我们返回树节点,就可以通过树节点得到里面的值
Erase:不需要修改
namespace key_value
{template<class K, class V>struct BSTreeNode{BSTreeNode(const K& key, const V& value):_key(key),_value(value), _left(nullptr), _right(nullptr){}// 不写默认构造函数、拷贝构造函数等// 编译器会自动禁用默认构造函数(因为用户已定义其他构造函数)// 若需要禁用拷贝,可显式删除K _key;V _value;BSTreeNode<K, V>* _left;BSTreeNode<K, V>* _right;};template<class K, class V>class BSTree{//typedef BSTreeNode<K> Node;using Node = BSTreeNode<K, V>;public:bool Insert(const K& key, const V& value){if (_root == nullptr){_root = new Node(key, value);return true;}Node* parent = nullptr;Node* cur = _root;while (cur){if (cur->_key < key){parent = cur;cur = cur->_right;}else if (cur->_key > key){parent = cur;cur = cur->_left;}else{return false; //重复值插入失败}}cur = new Node(key, value);if (parent->_key < key){parent->_right = cur;}else{parent->_left = cur;}return true;}Node* Find(const K& key){Node* cur = _root;while (cur){if (cur->_key < key){cur = cur->_right;}else if (cur->_key > key){cur = cur->_left;}else{return cur;//找到了}}//没找到return nullptr;}bool Erase(const K& key){Node* parent = nullptr;Node* cur = _root;while (cur){if (cur->_key < key){parent = cur;cur = cur->_right;}else if (cur->_key > key){parent = cur;cur = cur->_left;}else{// 找到了删除if (cur->_left == nullptr) // 左孩子为空{if (cur == _root){_root = cur->_right;}else{if (parent->_right == cur){// 此时cur->_key > parent->_keyparent->_right = cur->_right;}else //parent->_left == cur{// 此时cur->_key < parent->_keyparent->_left = cur->_right;}}delete cur;}else if (cur->_right == nullptr) // 右孩子为空{if (cur == _root){_root = cur->_left;}else{if (parent->_right == cur){// 此时cur->_key > parent->_keyparent->_right = cur->_left;}else //parent->_left == cur{// 此时cur->_key < parent->_keyparent->_left = cur->_left;}}delete cur;}else // 两个孩子都不为空{// 替换法删除节点——右子树最小节点替换Node* replaceParent = cur;// 要考虑删除根节点时,不能置为nullptrNode* replace = cur->_right;while (replace->_left){replaceParent = replace;replace = replace->_left;}cur->_key = replace->_key;if (replace == replaceParent->_left){replaceParent->_left = replace->_right;}else //replace == replaceParent->_right{// 此时第一个右孩子就是右子树最小节点replaceParent->_right = replace->_right;}delete replace;}//成功删除return true;}}//没找到,删除失败return false;}void InOrder(){_InOrder(_root);cout << endl;}private:void _InOrder(Node* root){if (root == nullptr) return;_InOrder(root->_left);cout << root->_key << ":" << root->_value << endl;_InOrder(root->_right);}private:Node* _root = nullptr;};}
我们这里还要显式实现一下拷贝构造和析构,因为这里需要深拷贝资源,且在析构时要把每个new出来的树节点都要释放掉。
拷贝构造:
通过调用 Copy(t._root),复制原树 t 的根节点,并将新树的根节点 _root 指向复制后的根节点。
因为拷贝构造没有返回值,独立函数 Copy 将递归逻辑封装为一个“黑盒”,只需关注输入(原树的根节点)和输出(新树的根节点),同时:
-
Copy函数通常设为私有,因为它是类内部的实现细节,外部无需知道如何复制一棵树。 -
隐藏实现细节,避免用户误用,同时提高类的封装性。
BSTree(const BSTree& t){_root = Copy(t._root);}
private:Node* Copy(Node* root){if (root == nullptr) return nullptr;Node* newNode = new Node(root->_key, root->_value);newNode->_left = Copy(root->_left);newNode->_right = Copy(root->_right);return newNode;}
构造函数:
当我们自己显式定义了拷贝构造函数时,编译器就不会自动生成默认的无参构造函数
这样的话我们的根节点_root就不能实现初始化了,所以我们这里可以手动实现,也可以强制编译器生成默认构造
手动实现:
BSTree() {}
强制编译器生成:
BSTree() = default;//C++11起
赋值重载:
BSTree& operator=(BSTree tmp)
{swap(tmp._root, _root);return *this;
}
这里直接使用现代写法来实现
析构函数:
~BSTree(){Destroy(_root);_root = nullptr;}
private:void Destroy(Node* root){if (root == nullptr) return;Destroy(root->_left);Destroy(root->_right);delete root;}
这里和拷贝构造一样,封装一个Destroy()函数,递归销毁每个树节点
模拟测试一下场景1:
void test1()
{BSTree<string, string> dict;dict.Insert("left", "左边");dict.Insert("right", "右边");dict.Insert("insert", "插入");dict.Insert("string", "字符串");string str;while (cin >> str){auto ret = dict.Find(str);if (ret){cout << "->" << ret->_value << endl;}else{cout << "无此单词,请重新输入" << endl;}}
}
运行结果:

模拟测试一下场景3:
void test2()
{string arr[] = { "苹果", "西瓜", "苹果", "西瓜", "苹果", "苹果", "西瓜", "苹果", "香蕉", "苹果", "香蕉" };BSTree<string, int> countTree;for (const auto& str : arr){// 先查找水果在不在搜索树中// 1、不在,说明水果第一次出现,则插入<水果, 1>// 2、在,则查找到的结点中水果对应的次数++//BSTreeNode<string, int>* ret = countTree.Find(str);auto ret = countTree.Find(str);if (ret == NULL){countTree.Insert(str, 1);}else{ret->_value++;}}countTree.InOrder();
}
运行结果:

代码:
namespace key
{template<class K>struct BSTreeNode{BSTreeNode(const K& key):_key(key), _left(nullptr), _right(nullptr){}// 不写默认构造函数、拷贝构造函数等// 编译器会自动禁用默认构造函数(因为用户已定义其他构造函数)// 若需要禁用拷贝,可显式删除:// BSTreeNode(const BSTreeNode<K>&) = delete;// BSTreeNode& operator=(const BSTreeNode<K>&) = delete;K _key;BSTreeNode<K>* _left;BSTreeNode<K>* _right;};template<class K>class BSTree{//typedef BSTreeNode<K> Node;using Node = BSTreeNode<K>;public:bool Insert(const K& key){if (_root == nullptr){_root = new Node(key);return true;}Node* parent = nullptr;Node* cur = _root;while (cur){if (cur->_key < key){parent = cur;cur = cur->_right;}else if (cur->_key > key){parent = cur;cur = cur->_left;}else{return false; //重复值插入失败}}cur = new Node(key);if (parent->_key < key){parent->_right = cur;}else{parent->_left = cur;}return true;}bool Find(const K& key){Node* cur = _root;while (cur){if (cur->_key < key){cur = cur->_right;}else if (cur->_key > key){cur = cur->_left;}else{return true;//找到了}}//没找到return false;}bool Erase(const K& key){Node* parent = nullptr;Node* cur = _root;while (cur){if (cur->_key < key){parent = cur;cur = cur->_right;}else if (cur->_key > key){parent = cur;cur = cur->_left;}else{// 找到了删除if (cur->_left == nullptr) // 左孩子为空{if (cur == _root){_root = cur->_right;}else{if (parent->_right == cur){// 此时cur->_key > parent->_keyparent->_right = cur->_right;}else //parent->_left == cur{// 此时cur->_key < parent->_keyparent->_left = cur->_right;}}delete cur;}else if (cur->_right == nullptr) // 右孩子为空{if (cur == _root){_root = cur->_left;}else{if (parent->_right == cur){// 此时cur->_key > parent->_keyparent->_right = cur->_left;}else //parent->_left == cur{// 此时cur->_key < parent->_keyparent->_left = cur->_left;}}delete cur;}else // 两个孩子都不为空{// 替换法删除节点——右子树最小节点替换Node* replaceParent = cur;// 要考虑删除根节点时,不能置为nullptrNode* replace = cur->_right;while (replace->_left){replaceParent = replace;replace = replace->_left;}cur->_key = replace->_key;if (replace == replaceParent->_left){replaceParent->_left = replace->_right;}else //replace == replaceParent->_right{// 此时第一个右孩子就是右子树最小节点replaceParent->_right = replace->_right;}delete replace;}//成功删除return true;}}//没找到,删除失败return false;}void InOrder(){_InOrder(_root);cout << endl;}private:void _InOrder(Node* root){if (root == nullptr) return;_InOrder(root->_left);cout << root->_key << " ";_InOrder(root->_right);}private:Node* _root = nullptr;};void Test(){int a[] = { 8,3,1,10,6,4,7,14,13 };BSTree<int> t;for (auto x : a){t.Insert(x);}t.InOrder();for (auto x : a){t.Erase(x);t.InOrder();}}
}namespace key_value
{template<class K, class V>struct BSTreeNode{BSTreeNode(const K& key, const V& value):_key(key),_value(value), _left(nullptr), _right(nullptr){}// 不写默认构造函数、拷贝构造函数等// 编译器会自动禁用默认构造函数(因为用户已定义其他构造函数)// 若需要禁用拷贝,可显式删除K _key;V _value;BSTreeNode<K, V>* _left;BSTreeNode<K, V>* _right;};template<class K, class V>class BSTree{//typedef BSTreeNode<K> Node;using Node = BSTreeNode<K, V>;public://BSTree() {}BSTree() = default;//C++11起BSTree(const BSTree& t){_root = Copy(t._root);}BSTree& operator=(BSTree tmp){swap(tmp._root, _root);return *this;}~BSTree(){Destroy(_root);_root = nullptr;}bool Insert(const K& key, const V& value){if (_root == nullptr){_root = new Node(key, value);return true;}Node* parent = nullptr;Node* cur = _root;while (cur){if (cur->_key < key){parent = cur;cur = cur->_right;}else if (cur->_key > key){parent = cur;cur = cur->_left;}else{return false; //重复值插入失败}}cur = new Node(key, value);if (parent->_key < key){parent->_right = cur;}else{parent->_left = cur;}return true;}Node* Find(const K& key){Node* cur = _root;while (cur){if (cur->_key < key){cur = cur->_right;}else if (cur->_key > key){cur = cur->_left;}else{return cur;//找到了}}//没找到return nullptr;}bool Erase(const K& key){Node* parent = nullptr;Node* cur = _root;while (cur){if (cur->_key < key){parent = cur;cur = cur->_right;}else if (cur->_key > key){parent = cur;cur = cur->_left;}else{// 找到了删除if (cur->_left == nullptr) // 左孩子为空{if (cur == _root){_root = cur->_right;}else{if (parent->_right == cur){// 此时cur->_key > parent->_keyparent->_right = cur->_right;}else //parent->_left == cur{// 此时cur->_key < parent->_keyparent->_left = cur->_right;}}delete cur;}else if (cur->_right == nullptr) // 右孩子为空{if (cur == _root){_root = cur->_left;}else{if (parent->_right == cur){// 此时cur->_key > parent->_keyparent->_right = cur->_left;}else //parent->_left == cur{// 此时cur->_key < parent->_keyparent->_left = cur->_left;}}delete cur;}else // 两个孩子都不为空{// 替换法删除节点——右子树最小节点替换Node* replaceParent = cur;// 要考虑删除根节点时,不能置为nullptrNode* replace = cur->_right;while (replace->_left){replaceParent = replace;replace = replace->_left;}cur->_key = replace->_key;if (replace == replaceParent->_left){replaceParent->_left = replace->_right;}else //replace == replaceParent->_right{// 此时第一个右孩子就是右子树最小节点replaceParent->_right = replace->_right;}delete replace;}//成功删除return true;}}//没找到,删除失败return false;}void InOrder(){_InOrder(_root);cout << endl;}private:void Destroy(Node* root){if (root == nullptr) return;Destroy(root->_left);Destroy(root->_right);delete root;}Node* Copy(Node* root){if (root == nullptr) return nullptr;Node* newNode = new Node(root->_key, root->_value);newNode->_left = Copy(root->_left);newNode->_right = Copy(root->_right);return newNode;}void _InOrder(Node* root){if (root == nullptr) return;_InOrder(root->_left);cout << root->_key << ":" << root->_value << endl;_InOrder(root->_right);}private:Node* _root = nullptr;};void test1(){BSTree<string, string> dict;dict.Insert("left", "左边");dict.Insert("right", "右边");dict.Insert("insert", "插入");dict.Insert("string", "字符串");string str;while (cin >> str){auto ret = dict.Find(str);if (ret){cout << "->" << ret->_value << endl;}else{cout << "无此单词,请重新输入" << endl;}}}void test2(){string arr[] = { "苹果", "西瓜", "苹果", "西瓜", "苹果", "苹果", "西瓜", "苹果", "香蕉", "苹果", "香蕉" };BSTree<string, int> countTree;for (const auto& str : arr){// 先查找水果在不在搜索树中// 1、不在,说明水果第一次出现,则插入<水果, 1>// 2、在,则查找到的结点中水果对应的次数++//BSTreeNode<string, int>* ret = countTree.Find(str);auto ret = countTree.Find(str);if (ret == NULL){countTree.Insert(str, 1);}else{ret->_value++;}}countTree.InOrder();}
}