工业编程基本概念
- 一,数制与基本数据类型
- 二,数字量信号
- 三,模拟量信号
一,数制与基本数据类型
本节主要内容
| 类别 | 内容 |
|---|---|
| 主题 | 数制与基本数据类型 |
| 数制讲解 | 十进制、十六进制、二进制及其进位规则;基数、位权概念 |
| 数据类型介绍 | PLC 使用的数据类型:未序列数据类型(bit、byte、word 等 );整数、浮点数数据类型(int、unsigned int、real 等 ),包括各数据类型定义、存储空间、取值范围及在计算机编程中的应用 |
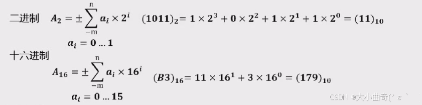
1、进位计数制
1.十进制数:每位逢十进位,基数为10,用0到9表示。
2.十六进制数:每位逢十六进位,基数为16,用0~9和A~F表示。
3.二进制数:每位逢二进位,基数为2,用0和1表示。
2、基数、位权
①.基数:每一位中可能的数码的个数,每逢基数进位
十进制的基数为
10,二进制的基数为2,十六进制的基数为16;
②.位权:基数乘以幂次。
十进制数的位权是10的幂次,二进制数的位权是2的幂次。
3、位、位序列数据类型
1.位(Bit):Bool,最小的存储空间,对应布尔数据类型,值为0或1(True、False)
2.字节:包含8个位,是存储空间的重要指标。
3.字:包含16个位。
4.双字:包含32个位。
5.L字:包含64个位。
为什么在计算机中使用二进制?
- 易于用电子器件实现
- 运算简便
- 易于逻辑运算

| 数据类型 | 存储空间 | 范围 |
|---|---|---|
| Bool | 1 bit | 0、1/True、False |
| Byte | 8 bit | 16#00 – 16#FF |
| Word | 2 Byte | 16#0000 – 16#FFFF |
| DWord | 4 Byte | 16#00000000 – 16#FFFFFFFF |
| LWord | 8 Byte | 16#0000000000000000 – 16#FFFFFFFFFFFFFFFF |
4、整数数据类型
| / | / | 数据类型 | 存储空间 | 范围 |
|---|---|---|---|---|
| 整数 | 有符号整数 | SInt | 1 Byte | -128 ~ 127 |
| / | Int | 2 Byte | -32768 ~ 32767 | |
| / | DInt | 4 Byte | -2147483648 ~ 2147483647 | |
| / | LInt | 8 Byte | -9223372036854775808 ~ 9223372036854775807 | |
| / | 无符号整数 | USInt | 1 Byte | 0 ~ 255 |
| / | UInt | 2 Byte | 0 ~ 65535 | |
| / | UDInt | 4 Byte | 0 ~ 4294967295 | |
| / | ULInt | 8 Byte | 0 ~ 18446744073709551615 |
整数的二进制表示:正整数的二进制表示直接转换,负整数通过取反加一的方式表示。
注:计算机中存储的是二进制补码二进制正数补码为本身;
二进制负数补码为:本身各位(除符号位)取反,再加1;
注:位序列和整数使用起来用什么区别?
| 对比项 | 位序列 | 整数 |
|---|---|---|
| 用途 | 用于位的集合、控制字、状态字、错误代码等 | 用于数学计算 |
| 指令 | 使用与、或、异或、取反、移位等 | 使用加、减、乘、除、取模等 |
| 操作特点 | 作为位的集合,一般需要拆分合并使用 | 位的拆分合并没有意义 |
| 表示形式 | 一般使用二进制或者十六进制表示 | 一般使用十进制表示 |
浮点数数据类型
1.单精度浮点数(Real):占用32位,包含符号位、指数位和尾数位。
2.双精度浮点数(LReal):占用64位,包含符号位、指数位和尾数位。

单精度浮点数和双精度浮点数的取值范围和有效数字位数不同(7位,15位左右)。
| 数据类型 | 存储空间 | 范围 |
|---|---|---|
| Real | 4 Byte | − 3.402823 e 38 -3.402823e^{38} −3.402823e38 ~ − 1.175495 e − 38 -1.175495e^{-38} − |


