理论

上图是一棵Trie树,表示了关键字集合{“a”, “to”, “tea”, “ted”, “ten”, “i”, “in”, “inn”} 。从上图可以归纳出Trie树的基本性质:
- 根节点不包含字符,除根节点外的每一个子节点都包含一个字符。
- 从根节点到某一个节点,路径上经过的字符连接起来,为该节点对应的字符串。
- 每个节点的所有子节点包含的字符互不相同。
- 从第一字符开始有连续重复的字符只占用一个节点,比如上面的to,和ten,中重复的单词t只占用了一个节点。
模板
//节点
struct Node {//每个节点有26个子节点Node* son[26]{};//末尾标记,可用于区分前缀字符串和完整字符串bool end = false;
};
class Tire {Node* root = new Node();int find(string s) {Node* cur = root;for (char c : s) {int t = c - 'a';if (cur->son[t] == nullptr) {//没找到返回0return 0;}cur = cur->son[t];}//找到完整的返回2,前缀字符串返回1return cur->end ? 2 : 1;}
public://插入字符串void insert(string word) {Node* cur=root;for(char c:word){c-='a';if(cur->son[c]==nullptr){cur->son[c]=new Node();}cur=cur->son[c];}cur->end=true;}//查询完整字符串bool search(string word) {return find(word)==2;}//查询前缀字符串bool startsWith(string prefix) {return find(prefix)!=0;}
};
例题
例题1
爱找事的小Z
题目描述:
小 Z 同学非常喜欢找事,现在有很多名为“事”的字符串,现在小 Z 想要找“事”,请你帮助他判断,他今天是否找了两件相同的事。
输入描述
输入第一行包含一个整数 n,表示小 Z 今天找了多少事。
接下来 n行分别表示 n 件事。
事的输入量不超过 1e3,每个"事"字符串的长度不超过 1000,且所有字母均为小写。
输出描述
若有相同的事输出1,否则输出0。
输入输出样例
示例1
输入
12
acd
acd
asdfsdf
asd
f
saf
asdf
sfasdfs
f
asdf
asf
asdfs
输出
1
示例2
输入
21
adfasdfaasdf
asdfsfas
fa
sdfasd
fsd
fs
a
sda
fsd
afasd
f
sda
f
asdf
as
df
sda
gggggas
dfdsfe
def
a
输出
1
示例
输入
9
asdfasdfa
asdfb
asdc
fasd
fde
sadf
fg
hsadfasdfasdg
iggsadffsa
输出
0
#include<bits/stdc++.h>
using namespace std;
//节点
struct Node {//每个节点有26个子节点Node* son[26]{};//末尾标记,可用于区分前缀字符串和完整字符串bool end = false;
};
class Tire {Node* root = new Node();int find(string s) {Node* cur = root;for (char c : s) {int t = c - 'a';if (cur->son[t] == nullptr) {//没找到返回0return 0;}cur = cur->son[t];}//找到完整的返回2,前缀字符串返回1return cur->end ? 2 : 1;}
public://插入字符串void intsert(string s) {Node* cur = root;for (char c : s) {int t = c - 'a';if (cur->son[t] == nullptr) {cur->son[t] = new Node();}cur = cur->son[t];}cur->end = true;}//查询字符串bool check(string s) {return find(s) == 2;}
};
int main() {Tire tire;int n;cin >> n;int ans = 0;for (int i = 1; i <= n; i++) {string temp;cin >> temp;if (!tire.check(temp)) {tire.intsert(temp);}else {ans++;}}if (ans) {cout << 1;}else {cout << 0;}return 0;
}
例题2
小蓝的神秘图书馆
问题描述
小蓝是图书馆的管理员,他负责管理图书馆的所有书籍。图书馆有 N本书,每本书都有名字,分别为 S1,S2,…,SN。
图书馆的读者们经常来询问小蓝,他们会给小蓝一个字符串 T,希望小蓝能告诉他们,图书馆里有多少本书的名字是以 T的前缀开头的。小蓝需要回答他们 M次这样的询问。
现在,小蓝需要你的帮助。你能帮助小蓝解决这个问题,从而提升图书馆的服务质量吗?
输入格式
第一行输入两个整数 N 和 M(1≤N,M≤1e4)。
接下来 N 行,每行输入一个字符串 Si,表示图书馆中的一本书的名字。
接下来 M行,每行一个字符串 T,表示读者的询问。
输入字符串的总长度不超过 2×1e5,且仅包含小写字母。
输出格式
对于每个询问,输出一个整数,表示图书馆中以字符串 T开头的书的数量。
每个答案占一行。
样例输入
5 2
ababc
ababd
aba
ab
a
abab
ccc
样例输出
2
0
#include<bits/stdc++.h>
using namespace std;
struct Node {Node* son[26];int end = 0;
};
class Tire {Node* root = new Node();int dfs(Node* cur) {int res = 0;if (cur == nullptr) {return res;}if (cur->end) {res += cur->end;}for (int i = 0; i < 26; i++) {if (cur->son[i]) {res+=dfs(cur->son[i]);}}return res;}
public:void insert(string s) {Node* cur = root;for (char c : s) {c = c - 'a';if (cur->son[c] == nullptr) {cur->son[c] = new Node();}cur = cur->son[c];}cur->end++;}int find(string s) {Node* cur = root;for (char c : s) {c = c - 'a';if (cur->son[c] == nullptr) {return 0;}cur = cur->son[c];}return dfs(cur);}
};
int main() {Tire tire;int n, m;cin >> n >> m;for (int i = 1; i <= n; i++) {string s;cin >> s;tire.insert(s);}for (int i = 1; i <= m; i++) {string s;cin >> s;cout << tire.find(s) << '\n';}return 0;
}
#include<bits/stdc++.h>
using namespace std;
using ll = long long;
const ll N = 2e5 + 10;
string str[N],s[N];
ll n = 0, m = 0;
ll trie[N][27], cnt[N];
ll idx = 2;
void insert(string a){ll p = 1;ll k = a.length() - 1;for (ll i = 1; i <= k; i++){if (!trie[p][a[i] - '0']) trie[p][a[i] - '0'] = idx++;p = trie[p][a[i] - '0'];cnt[p]++;}
}
ll query(string a){ll p = 1;ll k = a.length() - 1;ll ans = 0x3f3f3f;for (ll i = 1; i <= k; i++){p = trie[p][a[i] - '0'];ans = min(ans, cnt[p]);}return ans;
}
int main(){ios::sync_with_stdio(false); cin.tie(0); cout.tie(0);cin >> n >> m;for (ll i = 1; i <= n; i++){cin >> str[i];str[i] = '0' + str[i];insert(str[i]);}for (ll i = 1; i <= m; i++){cin >> s[i];s[i] = '0' + s[i];cout << query(s[i]) << endl;}return 0;
}
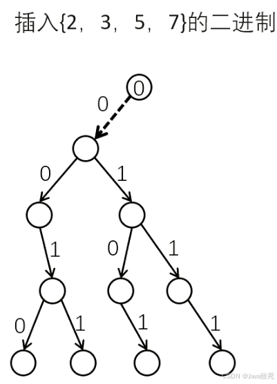
01Tire
理论

x >> i & 1
(010)>>30 → (000)&(001) → 0
……
(010)>>2 → (000)&(001) → 0
(010)>>1 → (001)&(001) → 1
(010)>>0 → (010)&(001) → 0
1 << i
(001)<<2 → (100) → 4
(001)<<1 → (010) → 2
(001)<<0 → (001) → 1
res |= (1<< i)
(010)^(101) → (111) → 4+2+1=7
(011)^(101) → (110) → 4+2+0=6
(101)^(010) → (111) → 4+2+1=7
(111)^(010) → (101) → 4+0+1=5
模板
const int N = 1e5 + 10;
int son[32 * N][2], tot = 1;
//插入
void insert(int x)
{int o = 1;for (int i = 30; i >= 0; --i){int y = x >> i & 1;if (!son[o][y])son[o][y] = ++tot;o = son[o][y];}
}//查询
int query(int x)
{int o = 1, res = 0;for (int i = 30; i >= 0; --i){int y = x >> i & 1;//找相反方向的,0找1,1找0,异或后为1,大小最大if (son[o][!y])o = son[o][!y], res |= (1ll << i);//如果该方向没有,则按原有方向走elseo = son[o][y];}return res;
}
例题
XOR最大值
问题描述
给定一个整数数组 arr 和一个整数 q 表示查询的数量。接下来的 q行,每行给出一个整数 x。对于每个 x,你需要找到 arr 中的一个数 y使得 xXORy的值最大,然后输出这个最大值。
输入格式
第一行包含一个整数 n,表示数组 arr 的大小。
第二行包含 n个整数,分别是 arr的元素。(0≤arr[i]≤1e9)。
第三行包含一个整数 q,表示查询的数量。
接下来的 q行,每行包含一个整数 x。(0≤x≤1e9)。
输出格式
对于每个查询输出一行,表示 xXORy 的最大值。
样例输入
5
3 5 7 10 12
3
3
7
10
样例输出
15
13
15
#include <bits/stdc++.h>
using namespace std;
const int N = 1e5 + 10;
int son[32 * N][2], tot = 1;void insert(int x)
{int o = 1;for (int i = 30; i >= 0; --i){int y = x >> i & 1;if (!son[o][y])son[o][y] = ++tot;o = son[o][y];}
}int query(int x)
{int o = 1, res = 0;for (int i = 30; i >= 0; --i){int y = x >> i & 1;if (son[o][!y])o = son[o][!y], res |= (1ll << i);elseo = son[o][y];}return res;
}int main()
{ios::sync_with_stdio(0), cin.tie(0), cout.tie(0);int n;cin >> n;for (int i = 1; i <= n; ++i){int x;cin >> x;insert(x);}int q;cin >> q;while (q--){int x;cin >> x;cout << query(x) << "\n";}
}
#include<bits/stdc++.h>
using namespace std;
struct Node {Node* son[2]{};
};
class Tire {Node* root = new Node();
public:void insert(int x) {Node* cur = root;for (int i = 30; i >= 0; i--) {int y = x >> i & 1;if (!cur->son[y]) {cur->son[y] = new Node();}cur = cur->son[y];}}int query(int x) {Node* cur = root;int res = 0;for (int i = 30; i >= 0; i--) {int y = x >> i & 1;if (cur->son[!y]) {res = res + (1 << i);cur = cur->son[!y];}else {cur = cur->son[y];}}return res;}
};
int main() {Tire tire;ios::sync_with_stdio(0), cin.tie(0), cout.tie(0);int n;cin >> n;for (int i = 1; i <= n; ++i){int x;cin >> x;tire.insert(x);}int q;cin >> q;while (q--){int x;cin >> x;cout << tire.query(x) << "\n";}return 0;
}