实用指南:本文章讲述了Git分支管理,以及分支策略。
2025-11-16 11:45 tlnshuju 阅读(0) 评论(0) 收藏 举报Git分支
- 分支
- 分支的本质
- 分支创建、删除、合并
- 分支的合并与冲突
- git stash
- 分支管理策略
- 主分支
- 辅助分支
分支
在 Git 中,分支(Branch)是一种轻量级的指针,它的核心作用是帮助开发者在不干扰主线代码的前提下,独立记录和管理代码的修改历史。
为什么得分支?
想象一个场景:正在研发一个项目,主线的代码已经能稳定运行,此时应该制作一个新功能或需要修复一个紧急 bug。如果直接在主线修改,可能会导致主线代码暂时不稳定,甚至影响其他开发者的工作,而分支的出现处理了这个难题,可以从主线分出一个新分支,在这个分支上专注开发,直到能力完成且测试通过后,再将修改合并回主线。这样既保证了主线的稳定性,又实现了并行开发。
分支的本质
Git 分支的本质是一个指向特定提交(commit)的轻量级指针。
Git 初始化仓库时(git init)会默认创建一个主分支,该分支通常命名为 master。这个默认分支与其他分支在本质上没有区别,它们都是指向提交的指针,唯一的特殊性仅在于默认创建这一初始化行为。默认分支最初指向仓库的第一个提交(初始提交),当在该分支上进行提交时,分支指针会自动随新提交向前移动,最终指向该分支的最新提交(即提交链的末端)。
此外,Git 中存在一个特殊的 HEAD 指针,它始终指向当前正在工作的分支。例如,当你在 master 分支上时,HEAD 指向 master 分支,而 master 分支指向其最新提交,形成 “HEAD -> 分支 -> 提交” 的指向关系;若切换到其他分支,HEAD 会转而指向该分支,后续在该分支上的新提交会让分支指针自动前移,始终指向最新的提交。

第二张图上我们可以看到创建了dev的分支,当我们切换到dev分支的时候HEAD就会指向dev

进入.git文件夹查看HEAD的内容,所处分支不同,内部的资料指向就不同

若是dev发生修改提交,dev的版本就会向后移动

在master分支上如果进行合并分支就会出现如下图

分支创建、删除、合并
通过 git branch 来查看和创建分支,创建标签记在HEAD指针所指向的提交点创建分支
git branch dev

分支切换到dev分支 git checkout dev

创建分支与切换分支同时完成 git checkout -b dev2

切换到最近一次上一次的分支 git checkout -

在dev2分支创建一个材料A.txt,文件进入工作区,在其他分支上均可看到A.txt文件,且该材料状态均为工作区状态。在dev2分支将记录A.txt添加到暂存区后,在其他分支上也均可看到A.txt文件,且该文件状态均为暂存区状态。



在dev2分支提交A.txt文件至版本库,仅在dev2分支可以看到此记录,当切换到其他分支时则均无法看到此文件。

可以删除一个合并后的或者没有发生变化的分支 git branch -d dev

不能删除自己所在的分支

如果一个分支发生了变化,没有合并不能删除,如果要强制删除可以使用 git branch -D dev2

分支的合并与冲突
切换到master上做dev2 的合并,git merge dev2
发现master分支上也添加了A.txt这个文件

如果修改的是同一个文件也可以做分支合并,通过合并发现master分支上也合并了dev2修改的内容,合并之后dev2的删除就被允许了

此时我们在 dev2 分支里修改 A.txt 资料添加一行 dev2 00001 后提交,在 master 分支里面修改 A.txt 资料同时添加一行 master 00002 后提交
合并的时候发现出现分支冲突

<<<<<<< HEAD 当前指向的分支所修改的内容======= 分隔线,上下分别是两个分支的冲突内容>>>>>>> dev2 dev2分支所修改的内容
需要手工合并,根据实际需求,决定保留哪部分内容或整合两者

修改完后,在dev2分支下的A.txt文件内容也跟着更新了

可以通过图形来查看冲突的提交日志 git log --graph

git stash
git stash 是 Git 中用于临时保存工作区和暂存区修改的命令。在当前分支做了一些未完成的修改(不想立即提交),但需要临时切换到其他分支时,可通过 git stash 将这些修改暂存起来,让工作区恢复到干净状态(与最近一次提交一致),方便进行其他操作。
最新的暂存就是在dev分支修改 A.txt、新增 b.txt,git stash 将内容保存至堆栈中,再新增 c.txt,将其添加至暂存区,再将内容保存至堆栈中,栈顶
git stash list 列出堆栈区保存的所有未完毕的任务
git stash pop 出栈,恢复并删除暂存

可以在任意分支上取出并继续完成任务,需要注意的是出栈一个任务并提交后才能够出栈另一个任务
在 master 分支上出栈

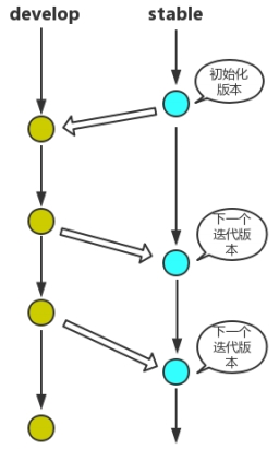
分支管理策略

从上图可以看到关键包含下面几个分支:
- master:git默认主分支(这里不作运行)
- stable:稳定分支,替代master,主要用来版本发布
- develop:日常开发分支,该分支正常保存了开发的最新代码
- feature:具体的功能开发分支,只与 develop 分支交互
- release:release 分支可能认为是 stable分支的未测试版
- bugfix:线上 bug 修复分支
在 Git 分支管理中,主分支(Main Branches) 和辅助分支(Supporting Branches) 是两类效果互补的分支,共同支撑项目的研发、测试、发布和维护流程。
主分支
因为master分支大家不作管理,存放可部署到生产环境的稳定代码,针对stable和develop这两个主分支来讲解。
stable分支:用来发布,管理着多个稳定的版本
develop分支:开发阶段的主分支,整合所有已完成的效果研发,是测试环境的代码源
启用这两个分支就具有了最方便的开发模式:develop 分支用来开发功能,开发完成并且测试没有问题后,则将 develop 分支的代码合并到 stable分支并发布。

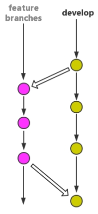
辅助分支
从主分支(或其他辅助分支)派生的临时分支,用于隔离特定任务(如开发新功能、修复 bug、准备发布等),任务做完后需合并回目标分支并删除,避免长期存在导致代码混乱。就是辅助分支
Feature分支
feature 分支用来开发具体的功能,一般基于develop分支,最后做完功能后再合并到develop分支。
比如,目前我们针对develop分支来做功能编写,在开发的过程中会有紧急需求需要构建,且在本次版本发布时间之前要能测试完成。我们允许基于之前稳定版本另开一个feature分支来做紧急需求的开发,发布并进行测试,完成之后再合并到develop分支上。

release分支
release分支作为预发布分支,release 分支从 develop 分支 fork 出来,最终会合并到 develop 分支和 stable 分支,合并到 stable分支上就是可以发布的代码了。
为什么我从develop分支fork出来,还要合并到develop分支中呢?因为大家在release分支上难免会有bug产生,修复bug也是在release分支上,所以必须要合并到develop分支。

bugfix分支
bugfix 分支用来修复线上bug。当线上代码出现 bug 时,我们基于 stable 分支开一个bugfix分支,修复 bug之后再将 bugfix分支合并到stable分支并进行发布,同时develop 分支作为最新最全的代码分支,bugfix分支也需要合并到 develop 分支上去。
本文来自互联网用户投稿,该文观点仅代表作者本人,不代表本站立场。本站仅提供信息存储空间服务,不拥有所有权,不承担相关法律责任。如若转载,请注明出处:http://www.mzph.cn/news/966976.shtml
如若内容造成侵权/违法违规/事实不符,请联系多彩编程网进行投诉反馈email:809451989@qq.com,一经查实,立即删除!