1.课题概述
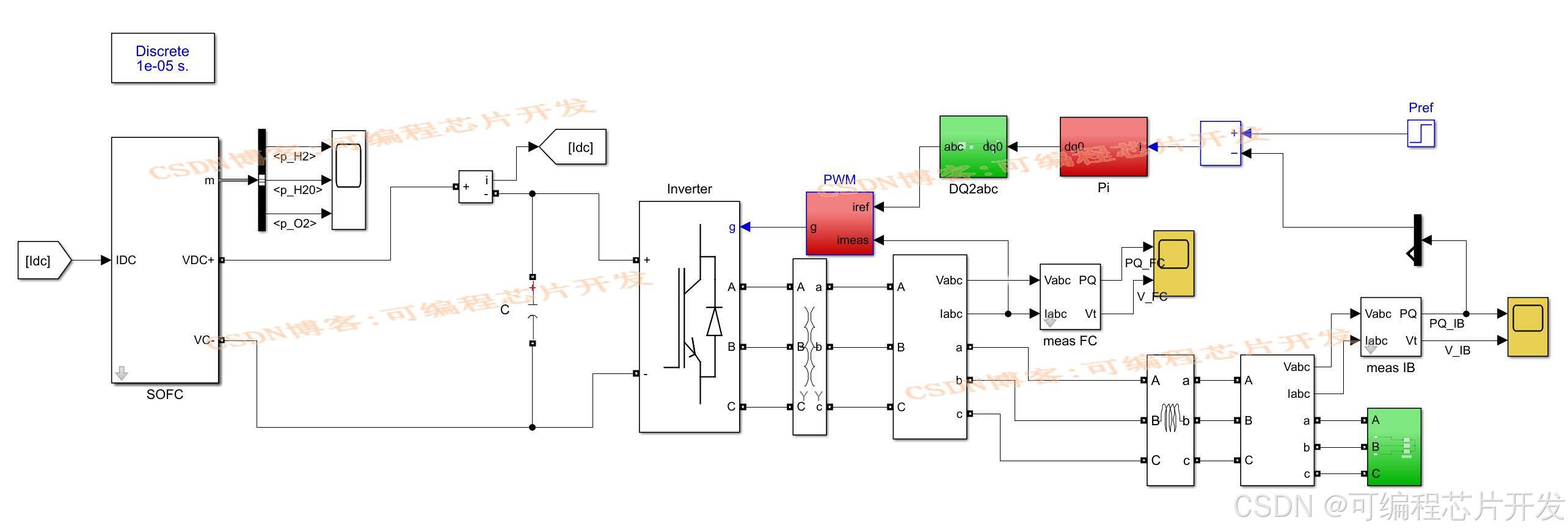
基于氢氧燃料电池的分布式三相电力系统Simulink建模与仿真,仿真输出燃料电池中氢氧元素含量变化以及生成的H2O变化情况。
2.系统仿真结果



3.核心程序与模型
版本:MATLAB2022a

4.系统原理简介
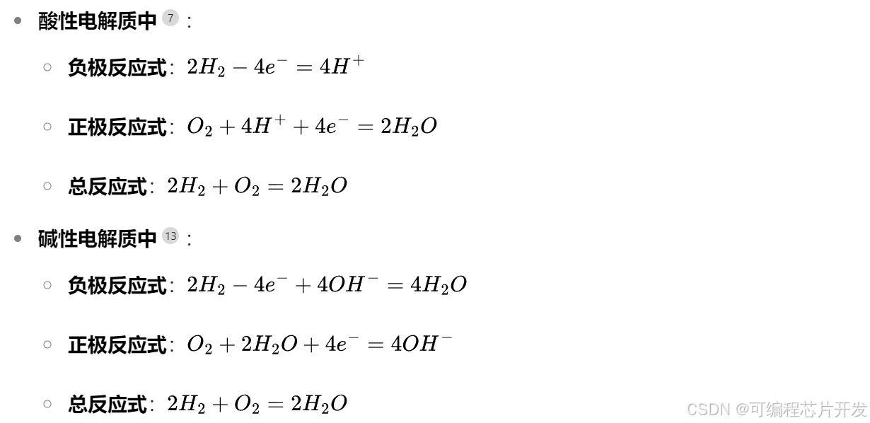
氢氧燃料电池原理

在氢氧燃料电池工作时,氢气在负极催化剂的作用下分解成氢离子和电子,氢离子进入电解液中,而电子则沿外部电路移向正极。在正极,氧气同电解液中的氢离子吸收抵达正极上的电子形成水。

氢氧燃料电池作为分布式电源产生直流电,通过 DC/DC 转换器将燃料电池的输出电压进行升压、稳压,以满足后续并网运行指标。然后经过 DC/AC 逆变器将直流电转换为三相交流电,逆变器需要匹配并网电流和电网电压以及相序、频率一致性,从而实现与三相电网的连接。在系统运行过程中,需要对氢氧燃料电池的输出功率进行控制和调节,以保证系统的功率平衡和稳定运行。同时,还需要对三相电网的电压、电流等参数进行监测和控制,以确保电能质量符合要求。
由于氢氧燃料电池输出的是直流电,而分布式三相电力系统通常需要接入三相交流电网或为三相交流负载供电,所以需要进行 DC - AC 变换。常用的逆变器拓扑结构有电压源型逆变器(VSI)和电流源型逆变器(CSI)。以三相全桥电压源型逆变器为例,它由六个开关器件(如绝缘栅双极型晶体管 IGBT)组成,通过控制开关器件的导通与关断时序,将直流电转换为三相交流电。其基本工作原理是利用开关器件的切换,在逆变器输出端产生不同极性和幅值的电压脉冲序列,通过适当的控制策略(如正弦波脉宽调制 SPWM 或空间矢量脉宽调制 SVPWM),使得输出电压接近正弦波,满足三相交流负载的需求。
在实际系统中,还可能需要 DC - DC 变换器对燃料电池的输出电压进行升压或降压调节,以匹配后续逆变器的输入要求或优化燃料电池的工作状态。常见的 DC - DC 变换器有升压变换器(Boost)、降压变换器(Buck)以及升降压变换器(Buck - Boost)等。例如,升压变换器在电感电流连续模式下,其电压增益 ,其中 为输出电压, 为输入电压, 为开关器件的占空比。