什么是电容?
 电荷与电压的比值就是电容量C。电容单位为法拉(F)。1法拉电容器在电压为1V时储存的电荷量为1库伦(C)。图1.1中的球体表面电压与储存的电荷Q关联。电压V等于 。Q/V等于
。Q/V等于 。如果球体位于电介质媒介中,电压V降低
。如果球体位于电介质媒介中,电压V降低 倍,Q/V等于
倍,Q/V等于 。在电介质媒介中的球体电容量为
。在电介质媒介中的球体电容量为
  
     
 对于图1.3中的平行平面来说,两导体平板之间的电压等于E场乘以间距h。从公式(1.12)中得到电压为 。如果有电介质,Q/V的比值为:
。如果有电介质,Q/V的比值为:
  
           
电容是几何形状的函数。目前为止,我们只讨论了两种简单的几何体,球体及平行导体面。在实际大多数电路中,几何体是很复杂的,电容的计算就比较困难。重要的是要认识到电容量与3个因素有关:与表面积成正比,与两个面之间的距离成反比,与介电常数成正比。
 注意 :电容是个几何概念,所有导体几何形状都可以储存电场能量,因此都有电容。
 电容概念可以扩展到自由空间中。考虑空间中有方向的立方体,电场线垂直穿过立方体的两个面。如果立方体相反的两个面上有等量极性相反的电荷,电场线将会没有差别。两个面之间的电压等于E场乘以穿过立方体之间的距离。因此,我们根据等效面电荷和电压差的比值得到电容量。
 注意 :除了导体,自由空间也有储存电场能量的能力。空间体积具有电容。
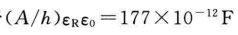
 因子。称为自由空间的电容率等于8.85×10-¹²F/m。考虑印刷电路板走线在地平面上的电容。如果间距h是5mm,走线是10mm宽和10mm长,走线的面积等于100mm²。A/h的值是20mm或20×10⁻³m,如果相对介电常数为10,走线和地平面之间的电容等于
 或者177pF。
或者177pF。
 有意思的是,可以把地球看作一个导体计算其电容。地球的半径是6.6×m。利用公式(1.15)计算电容为711μF。