1.专有名词
ANN
人工神经网络,一种受生物神经元启发的监督学习算法。输入数据通过网络中的层级函数传递,激活特定神经元。函数复杂度越高,模型对数据的拟合能力越强,预测精度越高。

偏置项

其中x下表从1开始的是输入变量,下标为0的是偏置项,从1开始的都是权重。

前向传播
前向传播是神经网络的核心计算过程,指输入数据从输入层逐层传递到输出层的路径。其目的是通过网络的权重和激活函数,计算最终的预测输出。



如果隐藏层没有非线性激活函数,那么输入和输出是线性关系的。
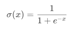
激活函数
激活函数是神经网络的核心组件,用于引入非线性,使网络能够拟合复杂的数据模式。如果没有激活函数,神经网络将退化为线性回归模型。
假如激活函数为Sigmoid函数。



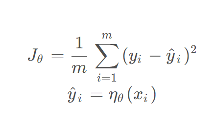
损失值
损失值是神经网络训练的核心指标,用于衡量模型预测结果与真实值之间的差异。通过最小化损失值,模型逐步优化参数,提升预测精度。
连续变量预测过程中计算损失值

其中,实际输出,
是由神经网络
(权重为
)得到的预测输出,
输入,m为训练的样本数。
假设上面的图预测的是连续变量。

离散变量预测过程中计算损失值
二元交叉熵

分类交叉熵



反向传播
-
反向传播是“反着来”的过程,用于根据损失函数对各个权重进行微调。
-
关键步骤:
-
每次只对网络中每个权重做一点点修改(微调)
-
测量在权重变化(
)时,损失值(Loss)的变化(
)情况(偏导数)
-
使用学习率 k控制更新步长:
-

学习率
是一个控制每次更新步幅的超参数。太大容易发散,太小学习慢。有助于在训练时稳定地下降损失函数,使模型最终达到最优或近似最优的状态。
epoch
所有数据被重复用于训练若干次,每一次完整地训练整个数据集叫做一个 epoch。
梯度下降
更新权重以减少误差值的整个过程称为梯度下降。
实现向前传播
import numpy as npdef feed_forward(inputs, outputs, weights):# 计算隐藏层的加权输入:inputs 与隐藏层权重 weights[0] 做点积,加上偏置 weights[1]pre_hidden = np.dot(inputs, weights[0]) + weights[1]# 使用 sigmoid 激活函数对隐藏层加权输入进行非线性变换hidden = 1 / (1 + np.exp(-pre_hidden))# 计算输出层的加权输入:隐藏层输出与输出层权重 weights[2] 做点积,加上偏置 weights[3]pred_out = np.dot(hidden, weights[2]) + weights[3]# 计算预测输出与实际输出之间的均方误差(MSE)mean_squared_error = np.mean(np.square(pred_out - outputs))# 返回均方误差作为损失值return mean_squared_error
-
输入特征 → 加权求和 → 加上偏置
-
进入隐藏层(激活函数变换)
-
再次加权 → 输出预测结果
-
比较预测值和真实值 → 得到损失
实现梯度下降算法
from copy import deepcopy# 更新神经网络的权重
def update_weights(inputs, outputs, weights, lr):"""使用数值梯度下降法更新神经网络的权重。enumerate(),用来在遍历可迭代对象(如列表、元组)时,同时获取元素的索引和值。参数:inputs —— 输入数据,形状为 (样本数, 输入特征数)outputs —— 真实标签,形状为 (样本数, 输出特征数)weights —— 当前神经网络的权重列表(包含4个部分)lr —— 学习率(learning rate),控制更新步长返回:updated_weights —— 更新后的权重original_loss —— 更新前的损失(MSE)"""original_weights = deepcopy(weights) # 保存原始权重(不修改)temp_weights = deepcopy(weights) # 用于临时尝试修改某个权重updated_weights = deepcopy(weights) # 保存最终更新后的权重original_loss = feed_forward(inputs, outputs, original_weights) # 当前权重下的损失# 遍历每一层的权重(共4个部分:输入到隐藏权重、隐藏偏置、隐藏到输出权重、输出偏置)for i, layer in enumerate(original_weights):# 遍历当前层中的每个元素(权重或偏置)for index, weight in np.ndenumerate(layer):temp_weights = deepcopy(weights) # 复制当前权重temp_weights[i][index] += 0.0001 # 对当前权重增加一个微小扰动(用于计算导数)_loss_plus = feed_forward(inputs, outputs, temp_weights) # 计算扰动后新的损失# 使用数值导数公式估计梯度:grad ≈ (L(w+ε) - L(w)) / εgrad = (_loss_plus - original_loss) / (0.0001)# 用梯度下降法更新当前权重:w = w - lr * gradupdated_weights[i][index] -= grad * lrreturn updated_weights, original_loss
用一个只有一个隐藏层的小神经网络(输入 → 隐藏 → 输出)


为啥偏置也要微调



使用链式法则实现反向传播

网络损失值:
预测输出值:
隐藏层激活值;
隐藏层值:
计算损失值C的变化相对权重的变化:
更新权重值: