2023每日刷题(八十二)
Leetcode—25.K 个一组翻转链表

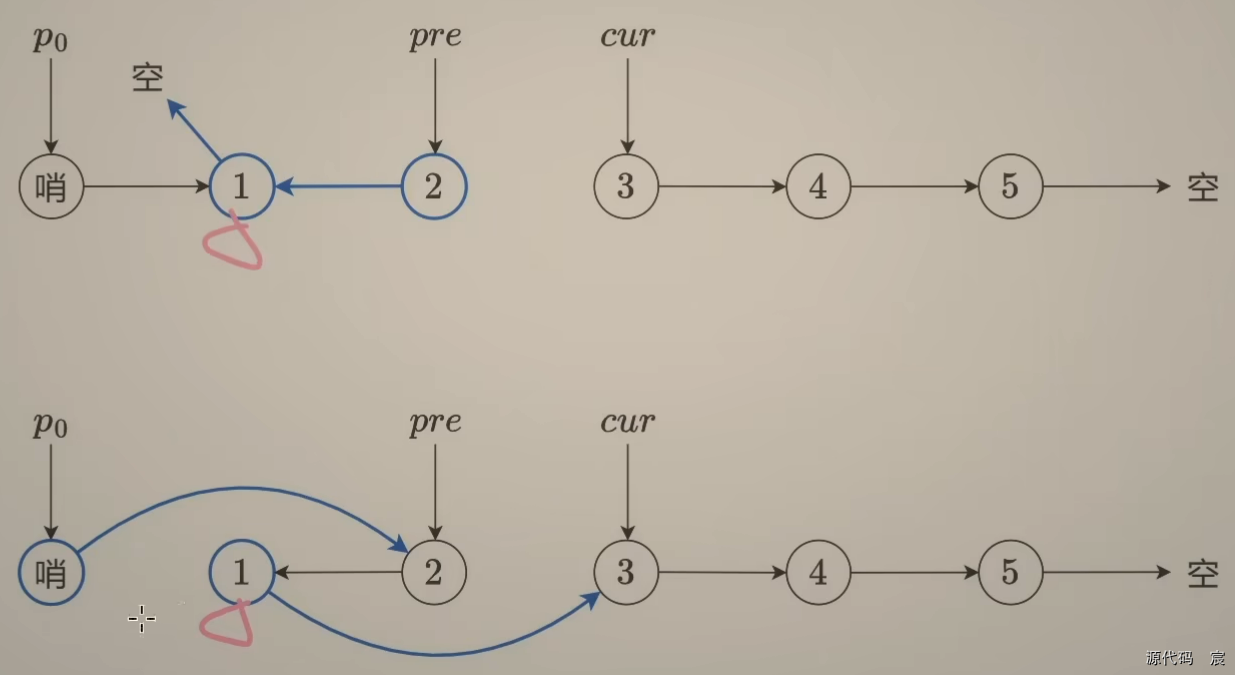
算法思想




实现代码
/*** Definition for singly-linked list.* struct ListNode {* int val;* ListNode *next;* ListNode() : val(0), next(nullptr) {}* ListNode(int x) : val(x), next(nullptr) {}* ListNode(int x, ListNode *next) : val(x), next(next) {}* };*/
class Solution {
public:ListNode* reverseKGroup(ListNode* head, int k) {ListNode* tmp = head;int n = 0;// 记录n的个数while(tmp != nullptr) {n++;tmp = tmp->next;}ListNode* pre = nullptr;ListNode* dummy = new ListNode(0, head);ListNode* cur = head, *p0 = dummy;for(; n >= k; n -= k) {for(int i = 0; i < k; i++) {ListNode* nxt = cur->next;cur->next = pre;pre = cur;cur = nxt;}ListNode* nxxt = p0->next;p0->next->next = cur;p0->next = pre;p0 = nxxt;}return dummy->next;}
};
运行结果

之后我会持续更新,如果喜欢我的文章,请记得一键三连哦,点赞关注收藏,你的每一个赞每一份关注每一次收藏都将是我前进路上的无限动力 !!!↖(▔▽▔)↗感谢支持!