目录
1.wold分解定理(1938)
2.AR模型
2.1定义:
AR(p) 有三个限制条件:
中心化 AR(p) 模型
2.2 AR模型的平稳性判别
序列拟合函数
R 举例
1.wold分解定理(1938)
对于任何一个离散平稳序列 {xt} 他都可以分解为两个不相关的平稳序列之和,其中一个为确定性的,另一个为随机性的,不妨记作
![]()
其中:
![]()

2.AR模型
2.1定义:
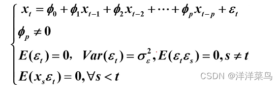
如下结构的模型称为P阶自回归(autoregression)模型,简记为 AR(p)

AR(p) 有三个限制条件:
条件1:
![]()
这个限制条件保证了模型的最高阶数为 p
条件2:
![]()
这个限制条件实际上是要求随机干扰序列{t}为零均值白噪声序列
条件3:
![]()
这个限制条件说明当期的随机干扰与过去的序列值无关
通常会缺省上面的限制条件,把 AR(p) 模型简记为:
![]()
中心化 AR(p) 模型

则中心化 AR(p) 模型 为:

引入延迟算子,可记为:
![]()
又可简记为:
![]()
则可得到p阶子回归系数多项式
![]()
2.2 AR模型的平稳性判别
AR模型是常用的平稳序列的拟合模型之一,但并非所有的AR模型都是平稳的
序列拟合函数
1.arima.sim函数拟合
只能拟合平稳的数据

2. filter 函数拟合
可拟合非平稳的数据

R 举例
例1:平稳序列
![]()
x1<-arima.sim(n=100,list(ar=0.8))
plot(x1)
返回:

例2:非平稳序列
![]()
x2<-arima.sim(n=100,list(ar=-1.1))
返回:

我们发现报错,报错提示,该不是平稳序列,所以我们应改为用filter 函数拟合,如下
x2<-filter(rnorm(100),filter=-1.1,method="recursive")
plot(x2)
返回:

例3:平稳序列
![]()
x1<-arima.sim(n=100,list(ar=c(1,-0.5)))
plot(x1)
返回:

例4:非平稳序列
![]()
这个就不在这写了,大家可以自己用这个试试哦,看看是否你已经掌握了。