关于神经网络权重初始值的设置的研究
- 一、权重初始值
- 二、权重初始值会影响隐藏层的激活值分布
- 三、Xavier初始值
- 四、He初始值
- 五、基于MNIST数据集的权重初始值的比较
 
一、权重初始值
权值衰减—抑制过拟合、提高泛化能力。
所谓权值衰减,即,以减小权重参数的值为目的进行学习。
所以说人们一开始,就想把权重初始值设置的比较小。

那如果权重初始值全设为0或者一样的值呢?那可不行,如果输入层权重为0,那么第二层神经元都到的全是0,如果第二层是乘法节点,拿上图举例子,x=y=0,所以返回来的两个梯度是一个样的。就没意义了。所有权重共同进退有何意义?权重共同进退,术语叫做权重均一化。
二、权重初始值会影响隐藏层的激活值分布
先看斯坦福大学做的一个实验:
向一个5层神经网络传入随机生成的输入数据,用直方图绘制各层激活值的数据分布。
实验目的是通过改变标准差,观察激活值的分布如何变化。
实验代码:
这个实验各层激活值的结果保存在activations变量中。
import numpy as np
import matplotlib.pyplot as pltdef sigmoid(x):return 1 / (1 + np.exp(-x))def ReLU(x):return np.maximum(0, x)def tanh(x):return np.tanh(x)input_data = np.random.randn(1000, 100)  # 1000个数据
node_num = 100  # 各隐藏层的节点(神经元)数
hidden_layer_size = 5  # 隐藏层有5层
activations = {}  # 激活值的结果保存在这里x = input_datafor i in range(hidden_layer_size):if i != 0:x = activations[i-1]# 改变初始值进行实验!w = np.random.randn(node_num, node_num) * 1# w = np.random.randn(node_num, node_num) * 0.01# w = np.random.randn(node_num, node_num) * np.sqrt(1.0 / node_num)# w = np.random.randn(node_num, node_num) * np.sqrt(2.0 / node_num)a = np.dot(x, w)# 将激活函数的种类也改变,来进行实验!z = sigmoid(a)# z = ReLU(a)# z = tanh(a)activations[i] = z# 绘制直方图
for i, a in activations.items():plt.subplot(1, len(activations), i+1)plt.title(str(i+1) + "-layer")if i != 0: plt.yticks([], [])# plt.xlim(0.1, 1)# plt.ylim(0, 7000)plt.hist(a.flatten(), 30, range=(0,1))
plt.show()首先来看,使用的权重初始值是标准差为1的高斯分布时,激活值的分布,w = np.random.randn(node_num, node_num) * 1。

再看使用的权重初始值是标准差为0.01的高斯分布时,激活值的分布:

看到,使用的权重初始值是标准差为1的高斯分布时,激活值偏向0和1的分布。这会导致,随着输出不断靠近0或1,导数的值逐渐接近0,反向传播中梯度的值不断变小,最后会消失。这就是所谓的梯度消失。
使用的权重初始值是标准差为0.01的高斯分布时,不会发生梯度消失,但是激活值分布偏向0.5,说明表现力有大问题。如果100个神经元输出都几乎相同,那我可以用1个神经元表达100个神经元干的事。术语,所谓的表现力受限问题。
三、Xavier初始值
Xavier提出:如果前一层的节点数为n,则初始值使用标准差为根号n分之一的分布。
代码里就这句话,w = np.random.randn(node_num, node_num) * np.sqrt(1.0 / node_num)
效果如下:呈现了比之前更有广度的分布。

Xavier的初始值是以激活函数是线性函数为前提而推导得出。
四、He初始值
Kaiming He提出,当前一层的节点数为n时,He的初始值使用标准差为根号(n分之2)的高斯分布。
我们研究一下激活函数用ReLU时,不同权重初始值下,每一层激活值分布的区别。
权重初始值为He初始值时:

权重初始值为Xavier时:

权重初始值为标准差为0.01的高斯分布时

明显ReLU更适合用He初始值。因为分布广度好,表现力好。
初始值为Xavier时,随层次加深,往0那边偏,我猜,如果加深网络,会出现梯度消失现象。
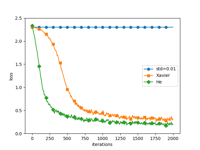
五、基于MNIST数据集的权重初始值的比较

这个对比,揭示了,很多时候,权重初始值的设定关系到神经网络的学习能否成功。
代码:
import os
import syssys.path.append(os.pardir)  # 为了导入父目录的文件而进行的设定
import numpy as np
import matplotlib.pyplot as plt
from dataset.mnist import load_mnist
from common.util import smooth_curve
from common.multi_layer_net import MultiLayerNet
from common.optimizer import SGD# 0:读入MNIST数据==========
(x_train, t_train), (x_test, t_test) = load_mnist(normalize=True)train_size = x_train.shape[0]
batch_size = 128
max_iterations = 2000# 1:进行实验的设置==========
weight_init_types = {'std=0.01': 0.01, 'Xavier': 'sigmoid', 'He': 'relu'}
optimizer = SGD(lr=0.01)networks = {}
train_loss = {}
for key, weight_type in weight_init_types.items():networks[key] = MultiLayerNet(input_size=784, hidden_size_list=[100, 100, 100, 100],output_size=10, weight_init_std=weight_type)train_loss[key] = []# 2:开始训练==========
for i in range(max_iterations):batch_mask = np.random.choice(train_size, batch_size)x_batch = x_train[batch_mask]t_batch = t_train[batch_mask]for key in weight_init_types.keys():grads = networks[key].gradient(x_batch, t_batch)optimizer.update(networks[key].params, grads)loss = networks[key].loss(x_batch, t_batch)train_loss[key].append(loss)if i % 100 == 0:print("===========" + "iteration:" + str(i) + "===========")for key in weight_init_types.keys():loss = networks[key].loss(x_batch, t_batch)print(key + ":" + str(loss))# 3.绘制图形==========
markers = {'std=0.01': 'o', 'Xavier': 's', 'He': 'D'}
x = np.arange(max_iterations)
for key in weight_init_types.keys():plt.plot(x, smooth_curve(train_loss[key]), marker=markers[key], markevery=100, label=key)
plt.xlabel("iterations")
plt.ylabel("loss")
plt.ylim(0, 2.5)
plt.legend()
plt.show()