定义:
放大电路频率响应、幅频特性、相频特性、下限频率、上限频率、通频带、频率失真、波特图、高通电路、低通电路、共射截止频率、特征频率共、基截止频率。
放大电路频率响应:当放大电路输入不同频率的正弦波信号时,电路的放大倍数将有所不同,而成为频率的函数。这种函数关系称为放大电路的频率响应或频率特性。(放大器件(包括BJT和FET)本身具有极间电容,放大电路中有时 存在电抗性元件)
由于电抗性元件的作用,使正弦波信号通过放大电路时,不仅信号的幅度得到放大,而且还将产生一个相位移。此时,电压放大倍数可表示如下:可知电压放大倍数的幅值和相角都是频率的函数。

幅频特性:电压放大倍数的幅值和频率的函数
相频特性:电压放大倍数的相角和频率的函数。
单管共射放大电路的频率特性曲线如下图。

下限频率:电压放大倍数下降为0.707Aum时,相应的低频频率。
上限频率:电压放大倍数下降为0.707Aum时,相应的高频频率。
通频带:下限频率和上限频率之间的频率范围称为通频带,通频带宽度表征放大电路对不同频率输入信号的响应能力。
频率失真:由于放大电路通频带的宽度有一定限制,因此,当输入信号的频率升高或降低时,电压放大倍数的幅值可能减小,同时,可能产生滞后或超前的相位移。所以,当输入信号包含多次谐波时,经过放大电路以后,输出波形可能产生频率失真。如下图。

波特图:对数频率特性又称为波特图。对数幅频特性的纵坐标是电压放大倍数幅值的对数20lg|Au|,单位是dB。对数相频特性纵坐标是相角,不取对数。对数频率特性的主要优点是可以拓宽视野,在较小的坐标范围内表示宽广频率范围的变化情况,同时将低频段和高频段的特性都表示得很清楚,而且作图方便。

高通电路:






高通电路波特图:由波特图可知,高通电路就是通高频,其中fL称为高通电路的下限频率。

低通电路:







低通电路波特图:由图像可知,低通就是通低频。fH称为低通电路的上限频率。

三极管的频率参数:描述三极管的电流放大系数对高频信号的适应能力。
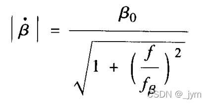
中频时,一般认为三极管的共射电流放大系数β基本上是一个常数,不随频率而变化。但当频率升高时,由于存在极间电容,因此三极管的电流放大作用将被削弱,所以电流放大系数是频率的函数。
共射截止频率:fβ是三极管放大倍数β下降到0.707β时的频率,称为三极管的共射截止频率,此时β的对数幅频特性下降了3dB。




三极管的共射电流放大系数的对幅频和相频特性如下。
fT是三极管的特征频率,f>fT时,三极管失去放大作用。fT大约是fβ(共射截止频率)的β0(三极管低频时的共射电流放大系数)倍。

共基截止频率:虑三极管的极间电容后,共基电流放大系数也将是频率的函数。使共基电流放大系数值下降为低频时的0.707倍时的频率定义为共基截止频率。
共基电流放大系数和共射电流放大系数关系:

共基截止频率和共射截止频率关系如下,可看出,与共射组态相比, 共基组态的频率响应比较好。
