灰色预测
- 一、灰色预测理论简介
- (1)灰色系统
- (2)灰色系统的特点
- (3)灰色生成
- (4)GM(1,1)模型
- (5)GM(1,1)模型精度检验
- 二、MATLAB执行代码
一、灰色预测理论简介
(1)灰色系统
灰色系统是黑箱概念的一种推广。我们把既含有己知信息又含有未知信息的系统称为灰色系统.作为两个极端,我们将称信息完全未确定的系统为黑色系统;称信息完全确定的系统为白色系统.区别白色系统与黑色系统的重要标志是系统各因素之间是否具有确定的关系。
(2)灰色系统的特点
①用灰色数学处理不确定量,使之量化.
②充分利用已知信息寻求系统的运动规律.
③灰色系统理论能处理贫信息系统(就是信息不充足)
(3)灰色生成
将原始数据列中的数据,按某种要求作数据处理称为生成.客观世界尽管复杂,表述其行为的数据可能是杂乱无章的,然而它必然是有序的,都存在着某种内在规律,不过这些规律被纷繁复杂的现象所掩盖,人们很难直接从原始数据中找到某种内在的规律.对原始数据的生成就是企图从杂乱无章的现象中去发现内在
规律.
常用的灰色系统生成方式有:累加生成,累减生成,均值生成,级比生成等,下面主要介绍累加生成.
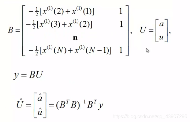
(4)GM(1,1)模型
求公式x(0) (k+1) = a[-1/2(x(1) (k) + x(1) (k+1))] + u 中的u和a


(5)GM(1,1)模型精度检验
精度检验一般有三种方法:相对误 差大小检验法,关联度检验法和后验差检验法.下面主要介绍后验差
检验法
后检验法求C = S12 /S22



二、MATLAB执行代码
function []=greymodel(y)
% 本程序主要用来计算根据灰色理论建立的模型的预测值。
% 应用的数学模型是 GM(1,1)。
% 原始数据的处理方法是一次累加法。
y=input('请输入数据 ');
n=length(y);
yy=ones(n,1);
yy(1)=y(1);
for i=2:nyy(i)=yy(i-1)+y(i);
end
B=ones(n-1,2);
for i=1:(n-1)B(i,1)=-(yy(i)+yy(i+1))/2;B(i,2)=1;
end
BT=B';
for j=1:n-1YN(j)=y(j+1);
end
YN=YN';
A=inv(BT*B)*BT*YN;
a=A(1);
u=A(2);
t=u/a;
i=1:n+2;
yys(i+1)=(y(1)-t).*exp(-a.*i)+t;
yys(1)=y(1);
for j=n+2:-1:2ys(j)=yys(j)-yys(j-1);
end
x=1:n;
xs=2:n+2;
yn=ys(2:n+2);
plot(x,y,'^r',xs,yn,'*-b');
det=0;sum1=0;
sumpe=0;
for i=1:nsumpe=sumpe+y(i);
end
pe=sumpe/n;
for i=1:n;sum1=sum1+(y(i)-pe).^2;
end
s1=sqrt(sum1/n);
sumce=0;
for i=2:nsumce=sumce+(y(i)-yn(i));
end
ce=sumce/(n-1);
sum2=0;
for i=2:n;sum2=sum2+(y(i)-yn(i)-ce).^2;
end
s2=sqrt(sum2/(n-1));
c=(s2)/(s1);
disp(['后验差比值为:',num2str(c)]);
if c<0.35disp('系统预测精度好')
else if c<0.5disp('系统预测精度合格')else if c<0.65disp('系统预测精度勉强')elsedisp('系统预测精度不合格')endend
enddisp(['下个拟合值为 ',num2str(ys(n+1))]);
disp(['再下个拟合值为',num2str(ys(n+2))]);