1.闭包
在函数依赖集F下由α函数确定的所有属性的集合为F下α的闭包,记为α+ 。
闭包算法:
result:=α;
while(result发生变化)dofor each 函数依赖β→γ in F dobeginif β∈result then result:=result∪γ;end
2.超键
方法一:函数依赖集F下最小的α函数 ,使得 :α的闭包 = 函数依赖集F的全部属性
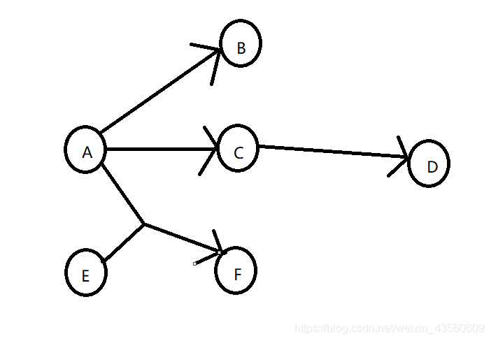
方法二:画图法;

如上图,对于关系模式R(U,F),U={A,B,C,D,E,F},F={A->B,A->C,C->D,AE->F},则R的超键为AE。
将F中每个函数依赖映射在有向图中,能遍历全图的最小节点集合即为超键;
单独一个A无法遍历到F,因为AE才能到F,所以AE的集合可以遍历全图;
3.无损连接
3.1.主关系分成成两个子关系;
方法一:满足以下一个条件,就是无损连接
R1 ∩ R2 -> R1 - R2 或 R1 ∩ R2 -> R2 - R1
方法二:计算 (R1∩R2)+ 是否等于全部属性,是的话就是无损连接;
3.2.主关系分成成多个子关系;
画图法,某一排全部为a;
详见链接A;
4.保持函数依赖
步骤一:如果F上的每一个函数依赖都在其分解后的某一个关系上成立,则这个分解是保持依赖的(这是一个充分条件)。
步骤二:如果上述判断失败,并不能断言分解不是保持依赖的,还要使用下面的通用方法来对判断失败的函数依赖做进一步判断。
该方法的表述如下:
判断函数依赖算法:
对F上的每一个需要进行步骤二确定的α→β使用下面的过程:
result:=α;
while(result发生变化)dofor each 分解后的Rit=(result∩Ri)+ ∩Riresult=result∪t
当遍历中,发现 {α,β} ∈ result ,则α→β函数依赖在分解后是保持的;
当遍历结束,仍没有 {α,β} ∈ result ,则α→β函数依赖在分解后是不保持的;
5.充分条件、必要条件、充要条件
充分条件,A能推出B,A是B的充分条件;
必要条件, 没有A就没有B,A是B的必要条件;
充要条件,A能推出B,同时B能推出A
参考链接:
A.数据库中的无损连接分解和是否保持函数依赖的判定
B.无损分解和保持依赖
C.模式分解是否保持函数依赖的判断方法以及例子