一.IOU
1.GIOU解决没有交集的框,IOU为0,其损失函数导数为0,无法优化的问题。


图1 GIOU,IOU,l2范数差异
a)可看出 l2值一样,IOU值是不一样的,说明L1,L2这些Loss用于回归任务时,不能等价于最后用于评测检测的IoU.
b)可看出当框有包含关系,GIOU就退化为IOU
其是找到一个最小的封闭形状C,让C可以将A和B包围在里面,然后我们计算C中没有覆盖A和B的面积占C总面积的比例S.
GIOU = IOU - S
可看出,GIOU<=IOU
当A==B,GIOU=1,当A B两框离得很远,GIOU趋近于-1.

图2 GIOU 计算公式
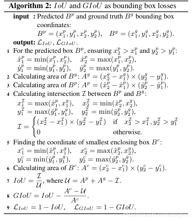
GIOU loss:

GIOU的损失函数算法:

1.代码
import numpy as np
def Giou(box1, box2):xmin1, ymin1, xmax1, ymax1 = box1xmin2, ymin2, xmax2, ymax2 = box2xx1 = np.max([xmin1, xmin2])yy1 = np.max([ymin1, ymin2])xx2 = np.min([xmax1, xmax2])yy2 = np.min([ymax1, ymax2])# 计算两个矩形框面积area1 = (xmax1-xmin1) * (ymax1-ymin1)area2 = (xmax2-xmin2) * (ymax2-ymin2)inter_area = (np.max([0, xx2-xx1])) * (np.max([0, yy2-yy1]))#计算交集面积iou = inter_area / (area1+area2-inter_area+1e-6)#计算交并比print('===inter_area:', inter_area)print('===iou:', iou)#两个框的包围面积area_C = (max(xmin1, xmax1, xmin2, xmax2) - min(xmin1, xmax1, xmin2, xmax2)) *\(max(ymin1, ymax1, ymin2, ymax2) - min(ymin1, ymax1, ymin2, ymax2))print('==area_C:', area_C)end_area = (area_C - (area1+area2-inter_area)) / area_C  #闭包区域中不属于两个框的区域占闭包区域的比重giou = iou - end_areaprint('===giou:', giou)return gioubox1 = [0, 0, 2, 2]
box2 = [1, 1, 3, 3]
# box2 = [5, 5, 7, 7]
Giou(box1, box2)优点:
相比于IOU,优化无IOU情况。
相比于L1,L2loss,更能直观表示框与框之间关系。
二.DIOU
基于IoU和GIoU存在的问题:
 1. 直接最小化anchor框与目标框之间的归一化距离是否可行,以达到更快的收敛速度?
 2. 如何使回归在与目标框有重叠甚至包含时更准确、更快?
3.当目标框完全包裹预测框的时候,IoU和GIoU的值都一样,此时GIoU退化为IoU, 无法区分其相对位置关系.

其中,b,bgt分别代表了预测框和真实框的中心点,p2代表计算两个中心点间的欧式距离。 c2代表的是能够同时包含预测框和真实框的最小闭包区域的对角线距离。

DIoU loss可以直接最小化两个目标框的距离,因此比GIoU loss收敛快得多。
1.DIOU代码
import torch
def Diou(bboxes1, bboxes2):rows = bboxes1.shape[0]cols = bboxes2.shape[0]dious = torch.zeros((rows, cols))if rows * cols == 0:#return diousexchange = Falseif bboxes1.shape[0] > bboxes2.shape[0]:bboxes1, bboxes2 = bboxes2, bboxes1dious = torch.zeros((cols, rows))exchange = True# #xmin,ymin,xmax,ymax->[:,0],[:,1],[:,2],[:,3]w1 = bboxes1[:, 2] - bboxes1[:, 0]h1 = bboxes1[:, 3] - bboxes1[:, 1]w2 = bboxes2[:, 2] - bboxes2[:, 0]h2 = bboxes2[:, 3] - bboxes2[:, 1]area1 = w1 * h1area2 = w2 * h2center_x1 = (bboxes1[:, 2] + bboxes1[:, 0]) / 2center_y1 = (bboxes1[:, 3] + bboxes1[:, 1]) / 2center_x2 = (bboxes2[:, 2] + bboxes2[:, 0]) / 2center_y2 = (bboxes2[:, 3] + bboxes2[:, 1]) / 2inter_max_xy = torch.min(bboxes1[:, 2:], bboxes2[:, 2:])inter_min_xy = torch.max(bboxes1[:, :2], bboxes2[:, :2])print('==inter_min_xy:', inter_min_xy)print('==inter_max_xy:', inter_max_xy)out_max_xy = torch.max(bboxes1[:, 2:], bboxes2[:, 2:])out_min_xy = torch.min(bboxes1[:, :2], bboxes2[:, :2])print('==out_min_xy:', out_min_xy)print('==out_max_xy:', out_max_xy)inter = torch.clamp((inter_max_xy - inter_min_xy), min=0)inter_area = inter[:, 0] * inter[:, 1]inter_diag = (center_x2 - center_x1)**2 + (center_y2 - center_y1)**2outer = torch.clamp((out_max_xy - out_min_xy), min=0)outer_diag = (outer[:, 0] ** 2) + (outer[:, 1] ** 2)union = area1+area2-inter_areadious = inter_area / union - (inter_diag) / outer_diagdious = torch.clamp(dious,min=-1.0, max = 1.0)if exchange:dious = dious.Treturn diousbox1 = torch.from_numpy(np.array([[0, 0, 2, 2]]))
box2 = torch.from_numpy(np.array([[1, 1, 3, 3]]))
Diou(box1, box2)DIOUloss:

优点:
相比于GIOU,优化距离替换优化面积,收敛速度更快。
解决GIOU的缺点:完全包裹预测框时loss一样的情况。
三.CIOU
DIOU没有考虑到检测框的长宽比。长宽比更接近的边框应当有更低的loss。
参考:
https://github.com/Zzh-tju/DIoU-darknet
https://arxiv.org/abs/1911.08287