1 何为 Imbalanced class problem
在分类问题中,有时候一种类别的数据会远远的多于另外一种类别,
但正是这些少量的类别的数据,往往又是极其重要的。
比如信用卡欺诈事件,该事件远远地小于信用卡未被欺诈的事件。
要从信用卡操作的数据中,识别出欺诈这一类别的事件,比例极其小,但确是及其重要的。
在大量的操作数据中找到欺诈事件,犹如大海捞针。
这个时候如果继续使用精度来评估分类器就不准确了。
因为即使把所有的信用卡操作数据,都判断为未欺诈类别,
其正确率也可以达到99.999......%,这种分类器明显是无用的。
针对Imbalanced class problem, 研究者提出了许多其它的参数来评估模型。
2 Confusion Matrix
2.1 相关概念

在Confusion Matrix中,

由Confusion Matrix 定义一些参数:


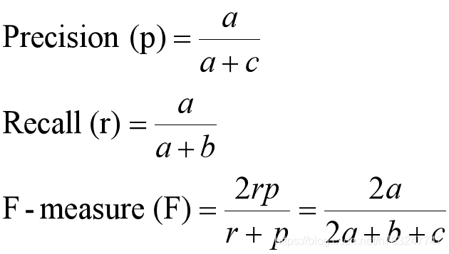
2.2 计算实例

实例中的分类器,虽然正确率达到了99.1%,但是Recall参数只有0.1, 对于class=Yes 类别的预测,
正确率只有10%,非常低。
2.3 分类问题的拓展参数
还是类似的的confusion matrix


3 ROC(Receiver Operating Characteristic)
ROC 发展于20世纪50年代的信号检测理论, 用于显示检测率和误报警率之间的权衡。
ROC曲线显示TPR与FPR的关系,用ROC曲线上的一个点表示模型的性能,
改变分类器的阈值参数会改变点的位置

(TPR,FPR)
- (0,0):把所有数据判别为负类;
- (1,1):把所有数据判别为正类;
- (1,0):理想情况
对角线是一条假想线,低于该线表示于正确的类别相反。
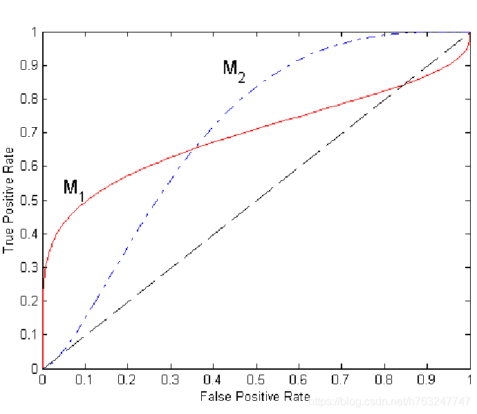
4 基于ROC的模型比较

没有一种模型总是好于另一种
上图中,对于小的FPR值,M1 更好
对于大的FPR值,M12更好
5 如何构建一个ROC曲线
- 为每个实例,使用分类器产生一个连续值的分数,该实例在+ class 的可能性越高,得分越高
- 根据分数,按照降序排列实例
- 应用一个阈值在每个独特价分数值
- 在每个阈值计算TPFP, TN, FN的数量,
TPR = TP / (TP + FN)
FPR= FP / (FP + TN)