单链表之快慢指针
单链表的快慢指针简介
- 快慢指针指链表中定义两个指针,两个指针的移动速度一快一慢,一般快指针移动步长为慢指针的两倍
快慢指针适合解决的几个典型问题
- 中间值问题
- 单向链表是否有环问题
- 有环链表的入口问题
先定义一个简单的节点
class Node:def __init__(self, item):self.item = itemself.next = Nonefirst = Node('aa')
second = Node('bb')
third = Node('cc')
forth = Node('dd')
fifth = Node('ee')first.next = second
second.next = third
third.next = forth
forth.next = fifth
中间值问题
即当快指针fast遍历完链表时,慢指针slow刚好停在链表的中间处
def middle(first):fast = firstslow = firstwhile fast.next and fast.next.next:fast = fast.next.nextslow = slow.nextreturn slowprint(f"The middle is: {middle(first).item}")
中间位置对应的结点是cc
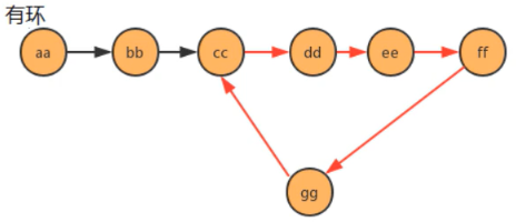
有环链表
- 有环链表定义:单链表中存在结点的指针往前指的链表称为有环链表

# 接上面定义结点的代码
# Create a ring
fifth.next = third
def has_ring(first):fast = firstslow = firstwhile fast.next and fast.next.next:fast = fast.next.nextslow = slow.nextif fast == slow:return Truereturn Falseprint(f"Is there a ring in the list? {has_ring(first)}")
为链表创建一个环,执行has_ring函数返回True,注释创建的环,则返回False
有环链表入口
- 定义:当快慢指针相遇时,我们可以判定链表中存在环,此时,重新定义一个指针,指向链表的起点,这个指针的前进步长与慢指针的相同,当慢指针与“新”指针相遇时,所在节点就是环的入口
证明这一结点设计到数论知识,有兴趣可以研究,这里只进行实现
在有环链表的前提上,使用以下代码可判断环的入口
def get_the_entrance(first):# Create a new pointer, pointing to the beginningtemp = firstfast = firstslow = firstwhile fast.next and fast.next.next:fast = fast.next.nextslow = slow.nextif fast == slow:while True:temp = temp.nextslow = slow.nextif temp == slow:return tempprint(f"The entrance is: {get_the_entrance(first).item}")
前面的有环链表时aa→bb→cc→dd→ee(→cc),因此其环入口是cc对应所在的节点
The entrance is: cc