基本思想
松弛问题:线性规划
割掉一块全部都是小数的区域(这一部分取不到整数)

案例
1)横坐标x1,纵坐标x2
2)蓝色小三角形的区域:x2:(1,7/4) x1:(0,3/4)
这块区域,x1与x2完全取不到整数,所以直接切去
所以,此时取值范围变化了:
x2<=1把此约束条件带入,得到x1=1,x2=1,z=2
3)能够取到整数的区域就不能切掉

引入松弛变量:(解出x1=1,x2=1,z=2的过程)
1)松弛变量:引入之后的效果与原先是一致的
如:-x1+x2<=1 引入x3>=0之后 得到 -x1+x2+x3=1 则此时-x1+x2仍然<=1,所以不影响结果
2)把式子4与5的系数与单个数字拆分为(整数+小数,小数>=0)
即:x1=(1+0)x1 -1/4x3=(-1+3/4)x3 1/4x4=(0+1/4)x4 3/4=(0+3/4)
然后再把整数部分(系数为整数与单个整数)放在左边,小数部分放在右边(系数为小数+单个小数)
所以现在变为了
3/4-正数=一个整数
而且0=<3/4<=1 x3,x4>=0
所以 ,3/4-正数<=0
即 3x3+x4>=3
4x2+3x3+x4>=7

基本步骤
引入松弛变量,变不等式为等式
aikxk 松弛变量
aik=[aik]+fik 松弛变量的系数化为正数部分和小数部分
[aik] xk正数部分汇合
fik xk小数部分汇合
[aik]xk -[bi]整数部分放在左侧
[bi]+fi 小数部分放在右侧

切割平面法流程

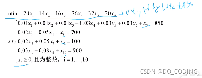
案例

解答:

引入松弛变量:
matlab中只有min,所以求最大值要加上负号

matlab代码
DividePlane.m
function [intx,intf] = DividePlane(A,c,b,baseVector)
%功能:用割平面法求解整数规划
%调用格式:[intx,intf]=DividePlane(A,c,b,baseVector)
%其中,A:约束矩阵;
% c:目标函数系数向量;
% b:约束右端向量;
% baseVector:初始基向量;
% intx:目标函数取最小值时的自变量值;
% intf:目标函数的最小值;
sz = size(A);
nVia = sz(2);%获取有多少决策变量
n = sz(1);%获取有多少约束条件
xx = 1:nVia;if length(baseVector) ~= ndisp('基变量的个数要与约束矩阵的行数相等!');mx = NaN;mf = NaN;return;
endM = 0;
sigma = -[transpose(c) zeros(1,(nVia-length(c)))];
xb = b;%首先用单纯形法求出最优解
while 1 [maxs,ind] = max(sigma);
%--------------------用单纯形法求最优解--------------------------------------if maxs <= 0 %当检验数均小于0时,求得最优解。 vr = find(c~=0 ,1,'last');for l=1:vrele = find(baseVector == l,1);if(isempty(ele))mx(l) = 0;elsemx(l)=xb(ele);endendif max(abs(round(mx) - mx))<1.0e-7 %判断最优解是否为整数解,如果是整数解。intx = mx;intf = mx*c;return;else %如果最优解不是整数解时,构建切割方程sz = size(A);sr = sz(1);sc = sz(2);[max_x, index_x] = max(abs(round(mx) - mx));[isB, num] = find(index_x == baseVector);fi = xb(num) - floor(xb(num));for i=1:(index_x-1)Atmp(1,i) = A(num,i) - floor(A(num,i));endfor i=(index_x+1):scAtmp(1,i) = A(num,i) - floor(A(num,i));endAtmp(1,index_x) = 0; %构建对偶单纯形法的初始表格A = [A zeros(sr,1);-Atmp(1,:) 1];xb = [xb;-fi];baseVector = [baseVector sc+1];sigma = [sigma 0];%-------------------对偶单纯形法的迭代过程----------------------while 1%----------------------------------------------------------if xb >= 0 %判断如果右端向量均大于0,求得最优解if max(abs(round(xb) - xb))<1.0e-7 %如果用对偶单纯形法求得了整数解,则返回最优整数解vr = find(c~=0 ,1,'last');for l=1:vrele = find(baseVector == l,1);if(isempty(ele))mx_1(l) = 0;elsemx_1(l)=xb(ele);endendintx = mx_1;intf = mx_1*c;return;else %如果对偶单纯形法求得的最优解不是整数解,继续添加切割方程sz = size(A);sr = sz(1);sc = sz(2);[max_x, index_x] = max(abs(round(mx_1) - mx_1));[isB, num] = find(index_x == baseVector);fi = xb(num) - floor(xb(num));for i=1:(index_x-1)Atmp(1,i) = A(num,i) - floor(A(num,i));endfor i=(index_x+1):scAtmp(1,i) = A(num,i) - floor(A(num,i));endAtmp(1,index_x) = 0; %下一次对偶单纯形迭代的初始表格A = [A zeros(sr,1);-Atmp(1,:) 1];xb = [xb;-fi];baseVector = [baseVector sc+1];sigma = [sigma 0];continue;endelse %如果右端向量不全大于0,则进行对偶单纯形法的换基变量过程minb_1 = inf;chagB_1 = inf;sA = size(A);[br,idb] = min(xb);for j=1:sA(2)if A(idb,j)<0bm = sigma(j)/A(idb,j);if bm<minb_1minb_1 = bm;chagB_1 = j;endendendsigma = sigma -A(idb,:)*minb_1;xb(idb) = xb(idb)/A(idb,chagB_1);A(idb,:) = A(idb,:)/A(idb,chagB_1);for i =1:sA(1)if i ~= idbxb(i) = xb(i)-A(i,chagB_1)*xb(idb);A(i,:) = A(i,:) - A(i,chagB_1)*A(idb,:);endendbaseVector(idb) = chagB_1;end%------------------------------------------------------------end %--------------------对偶单纯形法的迭代过程--------------------- end else %如果检验数有不小于0的,则进行单纯形算法的迭代过程minb = inf;chagB = inf;for j=1:nif A(j,ind)>0bz = xb(j)/A(j,ind);if bz<minbminb = bz;chagB = j;endendendsigma = sigma -A(chagB,:)*maxs/A(chagB,ind);xb(chagB) = xb(chagB)/A(chagB,ind);A(chagB,:) = A(chagB,:)/A(chagB,ind);for i =1:nif i ~= chagBxb(i) = xb(i)-A(i,ind)*xb(chagB);A(i,:) = A(i,:) - A(i,ind)*A(chagB,:);endendbaseVector(chagB) = ind;endM = M + 1;if (M == 1000000)disp('找不到最优解!');mx = NaN; minf = NaN;return;end
end