离散傅立叶变换

一维离散傅里叶变换

 
 

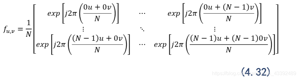
二维离散傅里叶变换(2D-DFT)
 
  


、图像傅里叶变换的意义
(1)简化计算,也即傅里叶变换可将空间域中复杂的卷 积运算转化为频率域中简单的乘积运算。
(2)对于某些在空间域中难于处理或处理起来比较复杂 的问题,利用傅里叶变换把用空间域表示的图像映射到 频率域,再利用频域滤波或频域分析方法对其进行处理 和分析,然后再把其在频域中处理和分析的结果变换回 空间域,从而可达到简化处理和分析的目的。
(3)某些只能在频率域处理的特定应用需求,比如在频 率域进行图像特征提取、数据压缩、纹理分析、水印嵌 入等。
基图像


可分离性


平均值

周期性

共轭对称性
