原文地址:https://www.julyedu.com/questions/interview-detail?quesId=2761&cate=NLP&kp_id=30
什么是 Word2vec?
在聊 Word2vec 之前,先聊聊 NLP (自然语言处理)。NLP 里面,最细粒度的是 词语,词语组成句子,句子再组成段落、篇章、文档。所以处理 NLP 的问题,首先就要拿词语开刀。
举个简单例子,判断一个词的词性,是动词还是名词。用机器学习的思路,我们有一系列样本(x,y),这里 x 是词语,y 是它们的词性,我们要构建 f(x)->y 的映射,但这里的数学模型 f(比如神经网络、SVM)只接受数值型输入,而 NLP 里的词语,是人类的抽象总结,是符号形式的(比如中文、英文、拉丁文等等),所以需要把他们转换成数值形式,或者说——嵌入到一个数学空间里,这种嵌入方式,就叫词嵌入(word embedding),而 Word2vec,就是词嵌入( word embedding) 的一种。
我在前作『都是套路: 从上帝视角看透时间序列和数据挖掘』提到,大部分的有监督机器学习模型,都可以归结为:
 f(x)->y
在 NLP 中,把 x 看做一个句子里的一个词语,y 是这个词语的上下文词语,那么这里的 f,便是 NLP 中经常出现的『语言模型』(language model),这个模型的目的,就是判断 (x,y) 这个样本,是否符合自然语言的法则,更通俗点说就是:词语x和词语y放在一起,是不是人话。
Word2vec 正是来源于这个思想,但它的最终目的,不是要把 f 训练得多么完美,而是只关心模型训练完后的副产物——模型参数(这里特指神经网络的权重),并将这些参数,作为输入 x 的某种向量化的表示,这个向量便叫做——词向量(这里看不懂没关系,下一节我们详细剖析)。
我们来看个例子,如何用 Word2vec 寻找相似词:
对于一句话:『她们 夸 吴彦祖 帅 到 没朋友』,如果输入 x 是『吴彦祖』,那么 y 可以是『她们』、『夸』、『帅』、『没朋友』这些词
 现有另一句话:『她们 夸 我 帅 到 没朋友』,如果输入 x 是『我』,那么不难发现,这里的上下文 y 跟上面一句话一样
 从而 f(吴彦祖) = f(我) = y,所以大数据告诉我们:我 = 吴彦祖(完美的结论)
Skip-gram 和 CBOW 模型
上面我们提到了语言模型
如果是用一个词语作为输入,来预测它周围的上下文,那这个模型叫做『Skip-gram 模型』
 而如果是拿一个词语的上下文作为输入,来预测这个词语本身,则是 『CBOW 模型』
Skip-gram 和 CBOW 的简单情形
我们先来看个最简单的例子。上面说到, y 是 x 的上下文,所以 y 只取上下文里一个词语的时候,语言模型就变成:
 用当前词 x 预测它的下一个词 y
但如上面所说,一般的数学模型只接受数值型输入,这里的 x 该怎么表示呢? 显然不能用 Word2vec,因为这是我们训练完模型的产物,现在我们想要的是 x 的一个原始输入形式。
答案是:one-hot encoder
所谓 one-hot encoder,其思想跟特征工程里处理类别变量的 one-hot 一样。本质上是用一个只含一个 1、其他都是 0 的向量来唯一表示词语。
我举个例子,假设全世界所有的词语总共有 V 个,这 V 个词语有自己的先后顺序,假设『吴彦祖』这个词是第1个词,『我』这个单词是第2个词,那么『吴彦祖』就可以表示为一个 V 维全零向量、把第1个位置的0变成1,而『我』同样表示为 V 维全零向量、把第2个位置的0变成1。这样,每个词语都可以找到属于自己的唯一表示。
OK,那我们接下来就可以看看 Skip-gram 的网络结构了,x 就是上面提到的 one-hot encoder 形式的输入,y 是在这 V 个词上输出的概率,我们希望跟真实的 y 的 one-hot encoder 一样。

首先说明一点:隐层的激活函数其实是线性的,相当于没做任何处理(这也是 Word2vec 简化之前语言模型的独到之处),我们要训练这个神经网络,用反向传播算法,本质上是链式求导,在此不展开说明了,
当模型训练完后,最后得到的其实是神经网络的权重,比如现在输入一个 x 的 one-hot encoder: [1,0,0,…,0],对应刚说的那个词语『吴彦祖』,则在输入层到隐含层的权重里,只有对应 1 这个位置的权重被激活,这些权重的个数,跟隐含层节点数是一致的,从而这些权重组成一个向量 vx 来表示x,而因为每个词语的 one-hot encoder 里面 1 的位置是不同的,所以,这个向量 vx 就可以用来唯一表示 x。
注意:上面这段话说的就是 Word2vec 的精髓!!
此外,我们刚说了,输出 y 也是用 V 个节点表示的,对应V个词语,所以其实,我们把输出节点置成 [1,0,0,…,0],它也能表示『吴彦祖』这个单词,但是激活的是隐含层到输出层的权重,这些权重的个数,跟隐含层一样,也可以组成一个向量 vy,跟上面提到的 vx 维度一样,并且可以看做是词语『吴彦祖』的另一种词向量。而这两种词向量 vx 和 vy,正是 Mikolov 在论文里所提到的,『输入向量』和『输出向量』,一般我们用『输入向量』。
需要提到一点的是,这个词向量的维度(与隐含层节点数一致)一般情况下要远远小于词语总数 V 的大小,所以 Word2vec 本质上是一种降维操作——把词语从 one-hot encoder 形式的表示降维到 Word2vec 形式的表示。
Skip-gram 更一般的情形

 上面讨论的是最简单情形,即 y 只有一个词,当 y 有多个词时,网络结构如下:
可以看成是 单个x->单个y 模型的并联,cost function 是单个 cost function 的累加(取log之后)
 如果你想深入探究这些模型是如何并联、 cost function 的形式怎样,不妨仔细阅读参考资料4. 在此我们不展开。
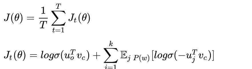
为什么采用负采样
1.加速了模型计算
 2.保证了模型训练的效果,其一 模型每次只需要更新采样的词的权重,不用更新所有的权重,那样会很慢,其二 中心词其实只跟它周围的词有关系,位置离着很远的词没有关系,也没必要同时训练更新,作者这点非常聪明。
第一个问题,我们每次只对窗口中出现的几个单词进行升级,但是在计算梯度的过程中,我们是对整个参数矩阵进行运算,这样参数矩阵中的大部分值都是0。
 第二个问题:我们使用的目标函数是softmax函数
 
 我们观察分母,分母需要把窗口中所有单词的“得分”都算出来再求和,效率低下!
负采样的核心思想是:计算目标单词和窗口中的单词的真实单词对“得分”,再加一些“噪声”,即词表中的随机单词和目标单词的“得分”。
真实单词对“得分”和“噪声”作为代价函数。
 每次优化参数,只关注代价函数中涉及的词向量。
 
 我们仅对K个参数进行采样
 我们放弃softmax函数,采用sigmoid函数,这样就不存在先求一遍窗口中所有单词的‘“得分”的情况了。