文章目录
- 1 算数基本定理
- 2 最大公约数
- 3 最小公倍数
- 4 性质
- 5 推论
1 算数基本定理
设正整数 n>1, 则 n 可唯一地表示为:

其中 p1<p2<,…, <ps 是 s 个相异的素数, 指数ki都是正整数。 此定理又称作唯一析因定理(unique factorization theorem) 。 该表达式称作整数 n 的素因子分解。
例如:
2 最大公约数
设 a 和 b 是两个不全为 0 的整数,若整数 d 满足 d|a 且 d|b, 则称 d 是a, b 的公因子(common divisor),也称最大公约数。
所有公因子中最大的称作 a 与 b 的最 大 公 因 子 ( greatest common divisor) , 记作 GCD(a, b)
3 最小公倍数
设 a 和 b 是两个不全为 0 的整数,若整数 m 满足 a|m 且 b|m , 则称 m是 a, b 的公倍数(common multiple)
所有公倍数中最小的正整数称作a与b 的 最 小 公 倍 数 ( least common multiple) , 记作 LCM(a, b)
4 性质
对任意的正整数a有:
- GCD(0, a)=a
- GCD(1, a)=1
- LCM(1, a)=a


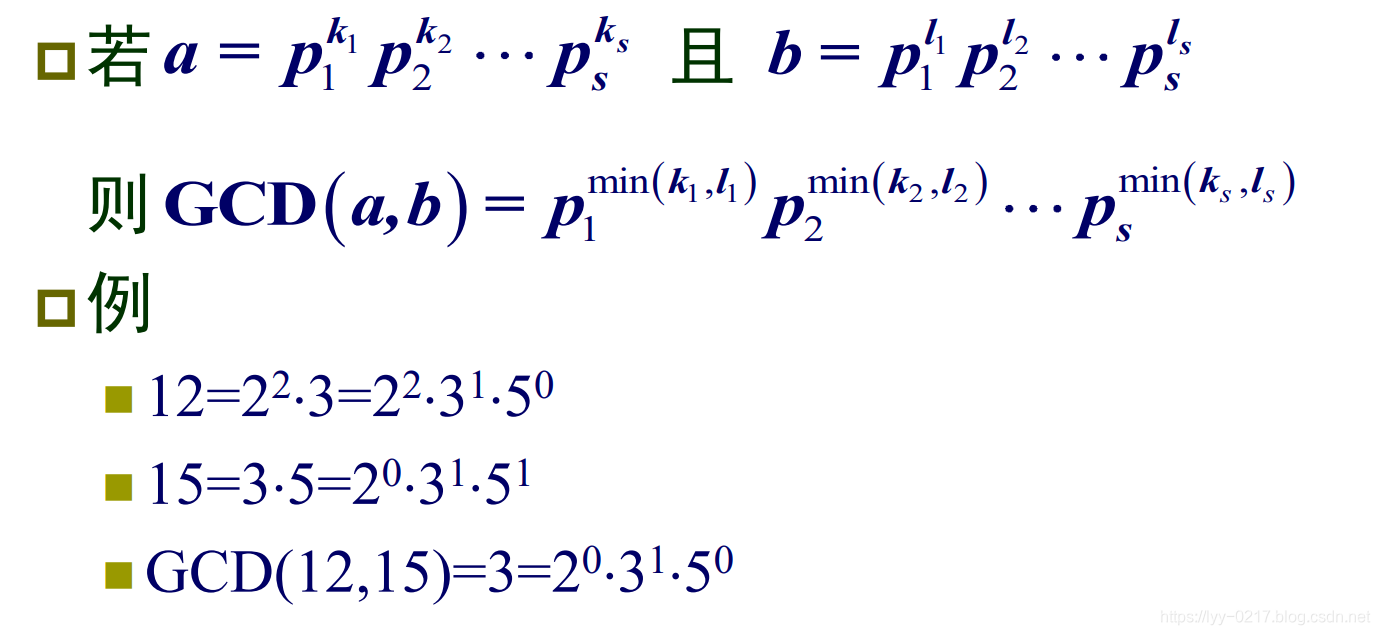
5 推论
设a, b是正整数, 则:

