1 引言
如题目所示,本节的精华在于用数学解决一个直觉上看似纷乱复杂的问题,里面有一些一般性的分析方法,如引入Indicator变量,从而把不确定问题引入到概率框架进行分析,一步一步把直觉上混乱的问题理清楚,数学之美也就是如此吧!
如果有个算法在某些情况下表现的很差,在某些情况下又表现的不错,那么你还会放心的使用该算法吗?通过下面的分析后你会很放心使用快速排序算法。
2 Quicksort
2.1 算法描述


2.2 手工演示
- 指针iii指示的是≤pivot\leq pivot≤pivot的最后一个,作用是是用来标记≤pivot\leq pivot≤pivot和≥pivot\geq pivot≥pivot的分割状态,指针jjj用来遍历所有元素,每遍历一个元素都会和pivotpivotpivot比较,不断更新iii的指示状态。

2.3 实现
# -*- coding: utf-8 -*-def PARTITION(A, p, r):x = A[r]i = p - 1for j in range(p, r):if A[j] <= x:i = i + 1A[i], A[j] = A[j], A[i]A[i + 1], A[r] = A[r], A[i + 1]return i + 1def QUICK_SORT(A, p, r):if p < r:q = PARTITION(A, p, r)QUICK_SORT(A, p, q - 1)QUICK_SORT(A, q + 1, r)if __name__ == '__main__':A = ['x', 2, 8, 7, 1, 3, 5, 6, 4]print('before sort:', A[1:])QUICK_SORT(A, 1, len(A) - 1)print('after sort:', A[1:])
运行结果:
before sort: [2, 8, 7, 1, 3, 5, 6, 4]
after sort: [1, 2, 3, 4, 5, 6, 7, 8]
3 Analysis of quicksort
3.1 worst case

用递归树分析如下:

3.2 best case

应用主定理容易得到T(n)=Θ(nlogn)T(n)=\Theta(nlogn)T(n)=Θ(nlogn)。
3.3 110,910\frac{1}{10}, \frac{9}{10}101,109case
下面看一种感觉直觉上很差,其实效果很好的情况。

使用递归树分析:

- 注意log109n/log2n=log1092log_{\frac{10}{9}}n/log_{2}n = log_{\frac{10}{9}}2log910n/log2n=log9102,这是一个常数。
3.4 worst best交替情况

- 好坏交替的情况下,最后仍然是好的!
3.5 random case
上面从矛盾的特殊性上让直觉有一个直观的感受,只要不是特别极端(如一个初始状态是逆序的数列),貌似大部分情况下都是ok的,下面用概率框架确认这种直观的感觉是正确的。
-
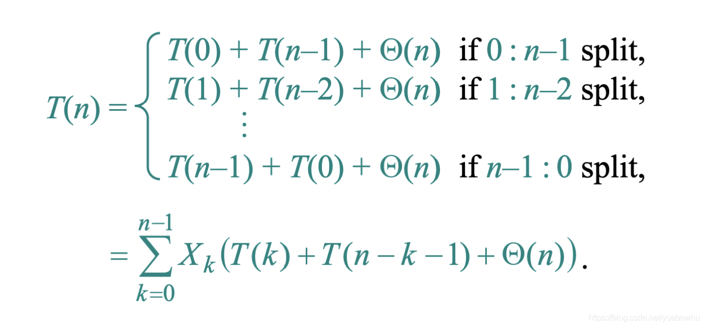
对于离散不确定问题,要引入概率框架进行讨论,首先要引入一个合适的随机变量,这里引入指示器(Indicator)随机变量,这个变量在机器学习算法中使用更为广泛,看似简单的一个定义,却可以化繁为简的用一个表达式表示所有情况。

-
至此,已经进入到概率框架,可以暂时忘记之前的算法问题背景:

-
概率世界都是是不确定的,研究概率大目的是找出不确定问题的平均特性,如期望、方差等,这里只关注期望。
-
下面的推到中用到了期望的线性可加性和独立可乘性。
分割的独立性:第一次分割后,数组分为第a部分和第b部分,a部分具体在哪个位置分割已经和第一次分割没有关系。

-
猜想E[T(n)]≤anlgnE[T(n)] ≤ an lg nE[T(n)]≤anlgn,a足够大,接下来数学归纳法要登场了!,首先有一个数学事实要知道,这个结论也是用数学归纳法容易证明:

-
使用数学归纳法证明E[T(n)]≤anlgnE[T(n)] ≤ an lg nE[T(n)]≤anlgn

4 总结
- 从上面的分析中可以看到,快速排序大概率是Θ(nlogn)\Theta(nlogn)Θ(nlogn)的,在实际应用中快速排序往往是归并排序速度的2倍以上,如果在细节上对算法微调,则可以表现出更好的性能.