当搭配遇上个性化推荐

总第 111 篇文章,本文大约 3000 字,阅读大约需要 10 分钟

今天介绍的是一篇个性化搭配推荐的论文,是 2017 年时候的论文,这也是比较早的开始结合搭配和个性化推荐的一个工作,基于度量学习和排序学习的方法。

论文题目:FashionNet: Personalized Outfit Recommendation with Deep Neural Network

论文地址:https://www.ijcai.org/proceedings/2017/0239.pdf

概览

将推荐加入到搭配中,实现个性化搭配的推荐。采用的也是深度学习的算法-- CNN 模型,具体实现就是用 VGG-16 网络模型作为基础,实现 FashionNet 模型,一个 FashionNet 模型包括两个网络,特征提取网络和实现搭配的匹配网络,这部分作者设计了 3 种网络结构,并做了对比实验,而在训练上采用的两阶段训练策略,即先训练一个通用的搭配模型,然后加入用户信息来微调网络模型,此外网络的最终结构如下所示,输入两套搭配,正样本是训练集 polyvore ,也就是用户自己上传的搭配,负样本就是随机选择衣服的搭配,分别通过 FashionNet,然后计算 RankLoss。


研究方法

本文研究的问题类似于度量学习,度量学习需要学习的是物体间的距离,或者说是相似性,而搭配需要学会的是衣服之间的匹配性;

网络结构

设计了三种网络结构,如下图所示。

FashionNet A

第一种网络结构,输入的时候将一套搭配里的衣服图片在颜色通道上进行concat,得到的就是一个 w*h*9 的输入图片,然后输入 VGGNet 网络,提取特征,接着是 1 个 FC(全连接)层+ softmax,输出两个数值,表示喜欢和不喜欢的概率;

这个网络的特点就是将特征学习和匹配性衡量都集成在一起;

FashionNet B

第二种网络结构,输入的时候并不会将搭配中的衣服图片 concat 起来,而是分别传入单独的 VGGNet 中,但每种衣服经过的网络都是相同的,也就是都被影射到共同的隐空间中,然后提取到的特征 concat 起来,后面跟着 3 个 FC 层 + softmax。

FashionNet C

前两个网络的问题:

  1. 在获取高阶关系的时候会有困难;

  2. 造成数据空间的扩大(原始数据或者特征空间),这要求大量的训练样本,但实际上并没有足够数量的训练样本;

因此,第三种网络结构,特征提取部分和 FashionNet B 是一样的,但是之后则是将任意的两个衣服提取到的特征 concat,经过各自的匹配网络(3FC+softmax),匹配网络的数量就和搭配数量有关系了;不同的匹配网络应用于不同类型衣服对,比如上装-鞋子,上装-下装对等,匹配网络的结果会累加起来得到搭配的最终得分 s。

训练网络模型

最终训练的网络结构如下图所示,

个性化搭配推荐不仅仅涉及到度量学习,还是是一个排序学习(learning-to-rank )问题,输入是正负样本对,分别输入一个 FashionNet ,网络输出的评分 s ,再采用 rank loss 计算 Loss。公式如下图所示:

训练

采用两阶段训练策略的原因有:

  • 每个用户的搭配数量是比较少的,特别是如果需要训练一个性能很好的神经网络;

  • 很多用户的搭配都比较相似,这些相似的搭配数量并不少;

  • 尽管每个用户的搭配审美都不完全相同,但还是存在很多通用的搭配尝试,比如衬衫通常都会搭配牛仔裤

基于以上的原因,选择两阶段训练网络的策略。

第一阶段的训练是学习一个通用的搭配网络模型,在这一步,会丢弃用户信息,将所有的搭配都混合在一起,然后训练网络。一个训练样本是正样本和负样本的搭配对,采用在 ImageNet 上预训练好的参数初始化 VGGNet,其他的网络层参数则是通过高斯分布进行初始化;

第二阶段是训练用户特定的模型(user-specific model)来进行个性化推荐。初始化是用第一步训练好的网络模型参数,接着使用每个用户的数据来微调网络。

对于上述的 3 种网络结构在第二阶段的微调,是这样设置的:

  1. FashionNet A 的微调是对整个网络都微调(特征提取和匹配网络);

  2. 对于 B 和 C 两个网络,有两种策略:

  • 微调整个网络,特征提取网络和匹配网络都会有个性化的参数,也就是对不同的用户,同样的衣服会有不同的特征表示;

  • 固定特征提取网络,仅微调匹配网络。这种做法会加快训练速度,实际应用中更多的微调都是这种做法。

三种网络结构的参数设置情况如下所示:


实验

数据集

采用的 Polyvore 数据集,包含来自 800 个用户上传的搭配数据,每套搭配是三件衣服--上装、下装和鞋子,将 polyvore 作为正样本,负样本则是随机选择上装、下装和鞋子得到的搭配。

数据集分为训练集、验证集和测试集,在每个集合中,每个用户的正样本数量分别是 202,46 和 62,而负样本则是正样本的 6 倍,也就是 1212,276 和 372。

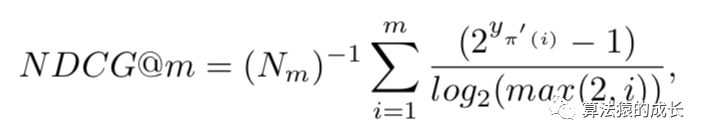
指标

NDCG 评价标准,用来评价一个排序的列表,其公式如下所示,第 m 个位置的 NDCG 是:

 表示一个理想排序的得分,对于正样本, 是 1,负样本是 0;

NDCG 的最优数值是 1;

Mean NDCG 是 NDCG@m (m=1,....M,表示排序的长度)的均值;

最终采用的指标:

  • mean NDCG:所有用户的 mean NDCG@m,也就是先计算不同m数值的NDCG,然后求平均,再除以用户数量;

  • average of NDCG @m:所有用户的NDCG@m,不同m值的均值(仅除以用户数量)

  • top-k 结果中正样本的数量(特定的 k 数量)

参数设置

使用的框架是 Caffe,batch 为 30,epoch 是 18。

学习率的策略参考论文《Return of the devil in the details: Delving deep into convolutional nets》。

实验结果

实验结果如下图所示:

上图中,Initial 是采用初始化参数的结果,也就是预训练模型的结果,Stage one 就是训练好第一阶段的模型,Stage two (partial)  和 Stage two(whole) 就是第二阶段的微调的两种策略,前者就是固定特征提取网络,微调匹配网络,后者就是整个网络都微调;Stage two(direct) 是不经过第一阶段的训练,直接微调网络的结果,应该就是直接用每个用户的数据来训练一个网络模型的结果。

通过实验结果的对比,可以得到这四个结论:

  1. FashionNet A vs B、C 前者是将特征提取和匹配计算都放在一个网络中,而后面两种网络是分开这两种功能,实验结果表明采用不同网络实现不同的功能,可以取得更好的性能;

  2. FashionNet B vs C 两个网络的区别是在匹配网络的设计,前者是仅设计了一个匹配网络,后者是任何两种不同类别的衣服的特征进行 concat 后,输入一个单独的匹配网络,实验结果是后者的效果更好,这表明将高阶关系分开成一系列成对组合是更佳的解决办法;

  3. 两阶段训练策略 对比第一阶段和第二阶段的结果,后者效果更好,这也说明微调是非常有用的技术;

  4. Stage two (partial)  vs Stage two(whole) 实验结果表明后者的效果更好,这表明学习一个特定用户的特征表示对于推荐任务很有帮助,但这种策略的训练时间会更久,它需要重新计算所有衣服的特征,因此,实际应用会采用效果稍差的第一种方法,仅仅微调匹配网络。


小结

这篇论文的思路是结合了度量学习和排序学习的方法,并且应用了 CNN 来进行特征提取,然后计算衣服之间的匹配性,训练策略上也是从训练通用的搭配模型到训练个性化搭配模型。

不过,这里我也还是存在一个小小的疑问的:按照论文的介绍,第二步采用用户的搭配来训练个性化推荐模型,那最终就是每个用户都会训练得到一个模型,也就是用户越多,训练得到的模型数量也就越多了

当然,这可能也是我的理解不到位,如果看过这篇论文的,也欢迎和我讨论一下。

欢迎留言,跟我进行交流!

欢迎关注我的微信公众号--算法猿的成长,或者扫描下方的二维码,大家一起交流,学习和进步!

如果觉得不错,在看、转发就是对小编的一个支持!

本文来自互联网用户投稿,该文观点仅代表作者本人,不代表本站立场。本站仅提供信息存储空间服务,不拥有所有权,不承担相关法律责任。如若转载,请注明出处:http://www.mzph.cn/news/408441.shtml

如若内容造成侵权/违法违规/事实不符,请联系多彩编程网进行投诉反馈email:809451989@qq.com,一经查实,立即删除!

相关文章

清除浮动造成的影响的解决方案总结

1、将设置float的元素的父元素也设置float。 缺点:很有可能不符合情况要求 2、设置父元素的position为absolute,前提是父元素的父元素并没有设置position:relative。 缺点:很有可能不符合情况要求 3、设置父元素的overflow为hidde…

2020年周记(1/50)

总第 112 篇文章,本文大约 1200 字,阅读大约需要 3 分钟正如标题所言,希望 2020 年能写满 50 篇周记吧,刚好前两周没有发,所以希望接下来每周完成一篇。周记的内容主要是这几方面的内容:工作学习阅读&…

react学习(16)---getFieldDecorator赋值

<Row gutter{12}><Col span{12}><Form.Item label"名称">{getFieldDecorator(name, {rules: [{ required: true, message: 活动名称不能为空 }],})(<Input placeholder"请输入" />)}</Form.Item></Col></Row>

python版代码整洁之道

总第 113 篇文章&#xff0c;本文大约 8000 字&#xff0c;阅读大约需要 20 分钟原文&#xff1a;https://github.com/zedr/clean-code-pythonpython 版的代码整洁之道。目录如下所示&#xff1a;介绍变量函数1. 介绍软件工程的原则&#xff0c;来自 Robert C. Martins 的书--《…

react学习(17)----ant design格式化日期

<Row gutter{12}><Col span{12}><Form.Item label"活动结束时间">{getFieldDecorator(endTimeLong, {rules: [{ required: true, message: 活动结束时间不能为空 }],})(<DatePicker format"YYYY-MM-DD HH:mm:ss" />)}</Form.It…

MVC 3.0错误 HTTP 404您正在查找的资源(或者它的一个依赖项)可能已被移除,或其名称已更改,或暂时不可用。请检查以下 URL 并确保其拼写正确。...

MVC3.0框架开发项目&#xff1a; 有时在程序运行的时候会出现“HTTP 404。您正在查找的资源(或者它的一个依赖项)可能已被移除&#xff0c;或其名称已更改&#xff0c;或暂时不可用。请检查以下 URL 并确保其拼写正确。”的错误提示。 在这里我们以运行时打开登录页面&#xff…

2020年1月总结

总第 114 篇文章&#xff0c;本文大约 1300 字&#xff0c;阅读大约需要 4 分钟这是 2020 年的第一篇月总结&#xff0c;总结的内容和周记差不多&#xff0c;也还是从这几个方面进行总结&#xff1a;工作学习阅读&写作2月计划工作这个月的工作时间大概是2周多一点&#xff…

python技巧(1)--如何转换itertools.chain对象为数组

总第 115 篇文章&#xff0c;本文大约 900 字&#xff0c;阅读大约需要 3 分钟之前做1月总结的时候说过希望每天或者每2天开始的更新一些学习笔记&#xff0c;这是开始的第一篇。这篇介绍的是如何把一个 itertools.chain 对象转换为一个数组。参考 stackoverflow 上的一个回答&…

asp.net如何给每张图片动态添加水印方法(二)

第一步&#xff0c;在App_Code中新建一个类&#xff0c;类名为BookCoverHandler&#xff0c;然后代码如下 using System; using System.Collections.Generic; using System.Linq; using System.Web; using System.Drawing; using System.Drawing.Imaging; using System.IO; ///…

python技巧(2)--碾平列表和列表去重

总第 116 篇文章&#xff0c;本文大约 1000 字&#xff0c;阅读大约需要 3 分钟今天介绍和列表相关的两个小技巧&#xff1a;碾平列表&#xff08;flatten list&#xff09;&#xff0c;也就是列表里的元素也带有列表的情况&#xff1b;列表去重&#xff0c;保留原始顺序和不保…

typedef struct 是什么意思

typedef用于定义一种新类型例如定义了如下的结构typedef struct student{int age;int score;}STUDENT;那么则有STUDENT stu1;就相当于struct student stu1&#xff1b;上面的结构也可以直接定义为&#xff1a;typedef struct {int age;int score;}STUDENT;然后将STUDENT作为新…

react学习(19)----可以通过设置默认值去回调

const {dispatch,activity: { cmsPopupList [] },} this.props;

原来电脑并不需要重装系统才能恢复出厂设置,这个操作学起来!

前言 小伙伴们应该都知道手机上有恢复出厂设置的功能&#xff0c;如果想要把手机送给朋友或者卖给别人&#xff0c;就会先恢复出厂设置。 但换到Windows电脑上之后&#xff0c;如果出现同样的情况&#xff0c;就会第一时间想到重装系统。就好像Windows电脑上不存在恢复出厂设…

2020年周记(2/50)

总第 117 篇文章&#xff0c;本文大约 1400 字&#xff0c;阅读大约需要 5 分钟因为春节假期的延长&#xff0c;中间还是休息过长&#xff0c;少了两周的周记了&#xff0c;这是2020年的第二篇周记&#xff0c;内容还是这几个方面&#xff1a;工作学习阅读&写作其他下周计划…

网站权重与排名浅谈

网站权重与排名浅谈  网站权重定义&#xff1a;搜索引擎给网站总体赋予一定的权威值&#xff08;现今这个是一个没有确切的数据&#xff09;&#xff0c;对网站总体权威的评估或者评价&#xff0c;一个网站权重越高&#xff0c;在搜索引擎所占的份量越大&#xff0c;&#xf…

一日一学:返回排序好的列表的索引顺序

总第 118 篇文章&#xff0c;本文大约 700 字&#xff0c;阅读大约需要 2 分钟今天介绍的是对列表排序后&#xff0c;返回排序好的索引顺序。问题描述&#xff1a;给定一个列表 [2, 3, 1, 4, 5] &#xff0c;怎么返回排序后的索引顺序&#xff0c;即 [2,0,1,3,4] ?解决方法&a…

react学习(21)---接口加回调显示

this.props.dispatch({type: activity/addActivityPopup,payload: params,callback: (res) > {if (res.returnCode 0) {message.success(新增成功);} else {message.error(res.returnMsg);}},});

给不了你的幸福

对你的好感从没减少过。我也许真的是个懦弱的人&#xff0c;一直没有真正的对你表露过我自己内心真实的想法。我脸皮薄&#xff0c;那种死皮赖脸的追求办法就是想做也做不出来。一直和你尴尬的相处着&#xff0c;希望从和你聊天的过程中得知你的近况。即使再忙&#xff0c;哪怕…