注:以下内容来自于网络,若有侵权请联系QQ3609400292进行删除。
煤矿安全生产标准化管理体系基本要求及评分方法(试行)
8.4 掘 进
一、工作要求(风险管控)
1.生产组织
(1)煤巷、半煤岩巷宜采用综合机械化掘进,综合机械化程度不低于50%,并持续提高机械化程度;
(2)掘进作业应组织正规循环作业,按循环作业图表进行施工;
(3)采用机械化装运煤(矸),人工运输材料距离不超过300m;
(4)掘进队伍工种配备满足作业要求。
2.设备管理
(1)掘进机械设备完好,装载设备照明、保护及其他防护装置且齐全可靠,使用正常;
(2)运输系统设备配置合理,无制约因素;
(3)运输设备完好整洁,附件齐全、运转正常,电气保护齐全可靠;减速器与电动机实现软启动或软连接;
(4)运输机头、机尾固定牢固,行人处设过桥;
(5)轨道运输各种安全设施齐全可靠。
3.技术保障
(1)有矿压观测、分析、预报制度;
(2)按地质及水文地质预报采取针对性措施;
(3)坚持“有疑必探,先探后掘”的原则;
(4)掘进工作面设计、作业规程编制审批符合要求,贯彻记录齐全;地质条件等发生变化时,对作业规程及时进行修改或补充安全技术措施;
(5)作业场所有规范的施工图牌板。
4.工程质量与安全
(1)建立工程质量考核验收制度,验收记录齐全;
(2)规格质量、内在质量、附属工程质量、工程观感质量符合《煤矿井巷工程质量验收规范》(GB 50213-2010)要求;
(3)巷道支护材料规格、品种、强度等符合设计要求;
(4)掘进工作面控顶距符合作业规程要求,杜绝空顶作业;临时支护符合规定,安全设施齐全可靠;
(5)无失修的巷道。
5.职工素质及岗位规范
(1)严格执行本岗位安全生产责任制;
(2)管理人员、技术人员掌握相关的岗位职责、管理制度、技术措施,作业人员掌握本岗位相应的操作规程和安全措施;
(3)现场作业人员操作规范,无“三违”行为,作业前进行岗位安全风险辨识及安全确认。
6.文明生产
(1)作业场所卫生整洁;工具、材料等分类、集中放置整齐,有标志牌;
(2)设备设施保持完好状态;
(3)巷道中有醒目的里程标志;
(4)转载点、休息地点、车场、图牌板及硐室等场所有照明。
7.发展提升
加强掘进工作面锚杆锚固质量检测,采用无损检测技术;鼓励装备智能化综合掘进系统。
二、评分方法
1.存在重大事故隐患的,本部分不得分。
2.掘进工作面评分
按表 8.4-1 评分,总分为 100 分。按照所检查存在的问题进行扣分,各小项分数扣完为止。
项目内容中有缺项时按式(1)进行折算:

式中
Ai——掘进工作面实得分数;
Bi——掘进工作面缺项标准分数;
Ci——掘进工作面检查得分数。
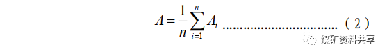
3.掘进部分评分
按照所检查各掘进工作面的平均考核得分作为掘进部分标准化得分,按式(2)进行计算:

式中
A——煤矿掘进部分安全生产标准化得分;
n——检查的掘进工作面个数;
Ai——检查的掘进工作面得分。
4.附加项评分
符合要求的得分,不符合要求的不得分也不扣分。附加项得分计入本部分总得分。
表8.4-1 煤矿掘进标准化评分表
| 项目 | 项目内容 | 基本要求 | 标准分值 | 评分方法 | 得分 | 
| 一、生产组织(5分) | 机械化程度 | 1.煤巷、半煤岩巷综合机械化程度不低于50%; 2.条件适宜的岩巷宜采用综合机械化掘进; 3.采用机械装、运煤(矸); 4.材料、设备采用机械运输,人工运料距离不超过300m | 2 | 查现场和资料。煤巷、半煤岩巷综合机械化程度不符合要求、没有采用机械化装运煤(矸)不得分,条件适宜的岩巷没有采用综掘的扣0.1分,人工运料距离超过规定每增加20m扣0.1分 | |
| 劳动组织 | 1.掘进作业应按循环作业图表施工; 2.完成考核周期内进尺计划; 3.掘进队伍工种配备满足作业要求 | 3 | 查现场和资料。不符合要求1项扣1分 | ||
| 二、设备管理(15分) | 掘进机械 | 1.掘进施工机(工)具完好,激光指向仪、工程质量验收使用的器具(仪表)完好精准; 2.掘进机械设备完好,截割部运行时人员不在截割臂下停留和穿越,机身与煤(岩)壁之间不站人;综掘机铲板前方和截割臂附近无人时方可启动,停止工作和交接班时按要求停放综掘机,将切割头落地,并切断电源;移动电缆有吊挂、拖曳、收放、防拔脱装置,并且完好;掘进机、掘锚一体机、连续采煤机、梭车、锚杆钻车装设甲烷断电仪或者便携式甲烷检测报警仪; 3.使用掘进机、掘锚一体机、连续采煤机掘进时,开机、退机、调机时发出报警信号,设备非操作侧设有急停按钮(连续采煤机除外),有前照明和尾灯;内外喷雾使用正常; 4.安装机载照明的掘进机后配套设备(如锚杆钻车等)启动前开启照明; 5.耙装机装设有封闭式金属挡绳栏和防耙斗出槽的护栏,固定钢丝绳滑轮的锚桩及其孔深和牢固程度符合作业规程规定,机身和尾轮应固定牢靠;上山施工倾角大于20°时,在司机前方设有护身柱或挡板,并在耙装机前增设固定装置;在斜巷中使用耙装机时有防止机身下滑的措施;耙装机距工作面的距离符合作业规程规定;耙装机作业时有照明; 6.掘进机械设备有管理台账和检修维修记录 | 8 | 查现场和资料。掘进机械设备不完好或综掘机运行时有人员在截割臂下停留和穿越、机身与煤(岩)壁之间站人不得分;其他不符合要求1处扣1分 | |
| 运输系统 | 1.后运配套系统设备设施能力匹配; 2.运输设备完好,电气保护齐全可靠,行人跨越处应设过桥; 3.刮板输送机、带式输送机减速器与电动机实现软启动或软连接,液力偶合器不使用可燃性传动介质(调速型液力偶合器不受此限),使用合格的易熔塞和防爆片;开关上架,电气设备不被淋水;机头、机尾固定牢固; 4.带式输送机胶带阻燃和抗静电性能符合规定,有防打滑、防跑偏、防堆煤、防撕裂等保护装置,装设温度、烟雾监测装置和自动洒水装置;机头、机尾应有安全防护设施;机头处有消防设施;连续运输系统安设有连锁、闭锁控制装置,机头、机尾及全线安设通信和信号装置,安设间距不超过200m;采用集中综合智能控制方式;上运时装设防逆转装置和制动装置,下运时装设软制动装置且装设有防超速保护装置;大于16º的斜巷中使用带式输送机设置防护网,并采取防止物料下滑、滚落等安全措施;机头尾处设置有扫煤器;支架编号管理;托辊齐全、运转正常; 5.轨道运输设备安设符合要求,制动可靠,声光信号齐全;轨道铺设符合要求;钢丝绳及其使用符合《煤矿安全规程》要求;其他辅助运输设备符合规定 | 7 | 查现场和资料。不符合要求1处扣1分 | ||
| 三、技术保障(10分) | 监测控制 | 1.煤巷、半煤岩巷锚杆、锚索支护巷道进行顶板离层观测,并填写记录牌板;进行围岩观测并分析、预报,根据预报调整支护设计并实施; 2.根据地质及水文地质预报制定安全技术措施,落实到位; 3.做到有疑必探,先探后掘 | 2 | 查现场和资料。1项不符合要求不得分 | |
| 现场图牌板 | 作业场所安设巷道平面布置图、施工断面图、炮眼布置图、爆破说明书(断面截割轨迹图)、正规循环作业图表、避灾路线图、临时支护图,图牌板内容齐全、图文清晰、正确、保护完好,安设位置便于观看 | 3 | 查现场。不符合要求1处扣1分 | ||
| 规程措施 | 1.作业规程编制、审批符合要求,矿总工程师至少每两个月组织对作业规程及贯彻实施情况进行复审,且有复审意见;当设计、工艺、支护参数、地质及水文地质条件等发生较大变化时,及时修改完善作业规程或补充安全措施并组织实施; 2.作业规程中明确巷道施工工艺、掘进循环进尺、临时支护及永久支护的形式和支护参数、距掘进工作面的距离等,并制定防止冒顶、片帮的安全措施; 3.巷道有经审批符合要求的设计,巷道开掘、贯通前组织现场会审并制定专项安全措施; 4.过采空区、老巷、断层、破碎带和岩性突变地带应有针对性措施,加强支护 | 5 | 查现场和资料。无设计或作业规程、审批手续不合格或无措施施工的扣5分,其他不符合要求1处扣1分 | ||
| 四、工程质量与安全(50分) | 保障机制 | 1.建立工程质量考核验收制度,各种检查有现场记录; 2.有班组检查验收记录 | 5 | 查现场和资料。班组无工程质量检查验收记录不得分,其他不符合要求1处扣0.5分 | |
| 安全管控 | 1.永久支护距掘进工作面距离符合作业规程规定; 2.执行敲帮问顶制度,无空顶作业,空帮距离符合作业规程规定; 3.临时支护形式、数量、安装质量符合作业规程要求; 4.架棚支护棚间装设有牢固的撑杆或拉杆,可缩性金属支架应用金属拉杆,距掘进工作面10m内架棚支护爆破前进行加固; 5.无失修巷道,各种安全设施齐全可靠; 6.压风、供水系统压力等符合施工要求; 7.掘进机装备机载支护装置 | 10 | 查现场。出现空顶作业不得分,不按规程、措施施工1处扣3分,其他不符合要求1处扣1分 | ||
| 规格质量 | 1.巷道净宽偏差符合以下要求:锚网(索)、锚喷、钢架喷射混凝土巷道有中线的0~100mm,无中线的-50~200mm;刚性支架、预制混凝土块、钢筋混凝土弧板、钢筋混凝土巷道有中线的0~50mm,无中线的-30~80mm;可缩性支架巷道有中线的0~100mm,无中线的-50~100mm | 12 | 查现场。按表8.4-2取不少于3个检查点现场检查,测点不符合要求但不影响安全使用的1处扣0.5分,影响安全使用的扣3分 | ||
| 2.巷道净高偏差符合以下要求:锚网背(索)、锚喷巷道有腰线的0~100mm,无腰线的-50~200mm;刚性支架巷道有腰线的-30~50mm,无腰线的-30~50mm;钢架喷射混凝土、可缩性支架巷道-30~100mm;裸体巷道有腰线的0~150mm,无腰线的-30~200mm;预制混凝土、钢筋混凝土弧板、钢筋混凝土有腰线的0~50mm,无腰线的-30~80mm | 查现场。按表8.4-2取不少于3个检查点检查,测点不符合要求但不影响安全使用的1处扣0.5分,影响安全使用的1处扣3分 | ||||
| 3.有坡度要求的巷道,坡度偏差不得超过±1‰ | 查现场。按表8.4-2取不少于3个检查点检查,不符合要求1处扣1分 | ||||
| 4.巷道水沟偏差应符合以下要求:中线至内沿距离-50~50mm,腰线至上沿距离-20~20mm,深度、宽度-30~30mm,壁厚-10mm | 查现场。按表8.4-2取不少于3个检查点现场检查,不符合要求1处扣0.5分 | ||||
| 内在质量 | 1.锚喷巷道喷层厚度不低于设计值90%(现场每25m打一组观测孔,一组观测孔至少3个且均匀布置),喷射混凝土的强度符合设计要求,基础深度不小于设计值的90% | 13 | 查现场和资料。未检查喷射混凝土强度扣6分,无观测孔扣2分,喷层厚度不符合要求1处扣1分,其他不符合要求1处扣0.5分 | ||
| 2.光面爆破眼痕率符合以下要求:硬岩不小于80%、中硬岩不小于50%、软岩周边成型符合设计轮廓;煤巷、半煤岩巷道超(欠)挖不超过3处(直径大于500mm,深度:顶大于250mm、帮大于200mm) | 查现场和资料。没有进行眼痕检查扣3分,其他不符合要求1处扣0.5分 | ||||
| 3.锚网索巷道锚杆(索)安装、扭矩、拉拔力、网的铺设连接符合设计要求,锚杆(索)的间、排距偏差-100~100mm,锚杆露出螺母长度10~50mm(全螺纹锚杆10~100mm),锚索露出锁具长度150~250mm,锚杆与井巷轮廓线切线或与层理面、节理面、裂隙面垂直,最小不小于75°,预应力、拉拔力不小于设计值的90% | 查现场。锚杆扭矩连续3个不符合要求扣5分,拉拔力不符合要求1处扣1分,其他不符合要求1处扣0.5分 | ||||
| 4.刚性支架、钢架喷射混凝土、可缩性支架巷道偏差符合以下要求:支架间距不大于50mm、梁水平度不大于40mm/m、支架梁扭距不大于50mm、立柱斜度不大于1°,水平巷道支架前倾后仰不大于1°,柱窝深度不小于设计值;撑(或拉)杆、垫板、背板的位置、数量、安设形式符合要求;倾斜巷道每增加5°~8°,支架迎山角增加1° | 查现场。按表8.4-2取不少于3个检查点现场检查,不符合要求1处扣0.5分 | ||||
| 材料质量 | 1.各种支架及其构件、配件的材质、规格,以及背板和充填材质、规格符合设计要求; 2.锚杆(索)的杆体及配件、网、锚固剂、喷浆材料等材质、品种、规格、强度等符合设计要求 | 10 | 查现场和资料。现场使用不合格材料不得分,其他不符合要求1处扣1分 | ||
| 五、职工素质及岗位规范(10分) | 管理技术人员 | 1.区(队)管理和技术人员掌握相关的岗位职责、管理制度、技术措施 | 2 | 查现场和资料。对照岗位职责、管理制度和技术措施,随机抽考1名管理或技术人员2个问题,1个问题回答错误扣1分 | |
| 作业人员 | 2.班组长及现场作业人员严格执行本岗位安全生产责任制;掌握本岗位相应的操作规程、安全措施;规范操作,无“三违”行为;作业前进行岗位安全风险辨识及安全确认;零星工程有针对性措施,有管理人员跟班 | 8 | 查现场。发现“三违”不得分,对照岗位安全生产责任制、操作规程和安全措施随机抽考2名岗位人员各1个问题,1人回答错误扣2分;随机抽查2名特种作业人员或岗位人员现场实操,不执行岗位责任制、不规范操作或不进行岗位安全风险辨识及安全确认1人扣2分;其他不符合要求1处扣1分 | ||
| 六、文明生产 (10分) | 灯光照明 | 转载点、休息地点、车场、图牌板及硐室等场所照明符合要求 | 3 | 查现场。不符合要求1处扣0.5分 | |
| 作业环境 | 1.现场整洁,无积尘、浮渣、淤泥、积水、杂物等,设备清洁,物料分类、集中码放整齐,管线吊挂规范; 2.材料、设备标志牌齐全、清晰、准确,设备摆放、物料码放与胶带、轨道等留有足够的安全间隙; 3.巷道至少每100m设置醒目的里程标志 | 7 | 查现场。不符合要求1处扣0.5分 | ||
| 附加项(2分) | 无损检测 | 掘进工作面采用锚杆锚固质量无损检测技术 | 1 | 查现场和资料。符合要求得1分 | |
| 智能化 | 采用智能化综合掘进系统 | 1 | 查现场。符合要求得1分 | ||
| 得分合计: | |||||
表8.4-2 工序、中间、竣工验收选择检查点及测点的规定
| 序号 | 项目 | 选检查点的规定 | 选测点的规定 | 测点示意图 | 
| 1 | 立井 井筒 | 工序验收:每个循环设1个; 中间、竣工验收:不少于3个,间距不大于20m | 每一个检查点断面的井壁上应均匀设8个测点,其中2个测点应设在与永久提升容器最小距离的井壁上 | 图1 立井井筒 | 
| 2 | 斜井井筒巷道硐室 | 工序验收:每个循环设1个; 中间、竣工验收:不应少于3个,间距不大于25m | 拱形(含半圆拱和三心拱)断面:每一检查点上应设10个测点,其中:拱顶和两拱肩各设1个测点;两墙的上、中、下各设1个测点(无中线测全宽);底板中部设1个测点(无腰线测全高) | 图2 拱形断面 | 
| 圆形断面:每一个检查点上应设4个测点,其中:上、下、左、右各设1个测点 | 图3 圆形断面 | |||
| 梯形断面和矩形断面:每一个检查点上应设8个测点,其中:顶和底板各设一个测点(无腰线测全高);两墙的上、中、下各设一个测点(无中线测全宽) | 图4 梯形、矩形断面 | |||
| 3 | 铺轨 | 不应少于3个,间距不应大于50m | 
注:锚杆支护巷道净尺寸测量到锚杆外露端头。

