图像处理作业4
1. 第二版课本习题4.21
本质没有区别,只将图片放置在中心,而周围填充0的个数不变时,不会影响结果。因为本质都是进行了周期延拓,使得尾部的信息不会被丢弃掉。相当于滤波前将图像进行了平移。需要注意的是,滤波后得到的图像也会发生平移,裁剪的时候会产生区别。
2. 假设我们有一个[0,1]上的均匀分布随机数发生器U(0,1), 请基于它构造指数分布的随机数发生器,推导出随机数生成方程。若我们有一个标准正态分布的随机数发生器N(0,1),请推导出对数正态分布的随机数生成方程。
(1) 解答
设指数分布的随机变量为YYY,概率密度PDF表示为:f(y)=λe−λy;y>0,λ>0,其CDF表示为G(y)f(y) = \lambda e^{-\lambda y};y >0,\lambda >0,其CDF表示为G(y)f(y)=λe−λy;y>0,λ>0,其CDF表示为G(y)。
设均匀分随机变量为XXX。并且随机数生成方程Y=g(X)Y = g(X)Y=g(X)。
根据CDF的定义有:
G(y)=P{Y≤y}=P{g(X)≤y}=P{X≤g−1(y)}=g−1(y)G(y)=P\{Y \le y\} = P\{g(X) \le y\} = P\{X \le g^{-1}(y)\} = g^{-1}(y)G(y)=P{Y≤y}=P{g(X)≤y}=P{X≤g−1(y)}=g−1(y)
由此可知:g(y)=G−1(y)g(y)=G^{-1}(y)g(y)=G−1(y),即g(X)=G−1(X)g(X)=G^{-1}(X)g(X)=G−1(X)
指数分布CDF为G(y)=∫0yλe−λxdx=1−e−λyG(y)=\int_0^{y}\lambda e^{-\lambda x}dx = 1-e^{-\lambda y}G(y)=∫0yλe−λxdx=1−e−λy
G−1(X)=−1λln(1−X)G^{-1}(X) = -\frac{1}{\lambda}ln(1-X)G−1(X)=−λ1ln(1−X)
因此 Y=G−1(X)=−1λln(1−X);XY = G^{-1}(X)=-\frac{1}{\lambda}ln(1-X);XY=G−1(X)=−λ1ln(1−X);X服从均匀分布。
(2) 解答
设标准正态分布的随机变量为XXX,对数正态分布的随机变量为YYY,即是求Y=g(X)Y=g(X)Y=g(X)。
设标准正态分布的概率密度函数f(x)=12πe−x2/2f(x)=\frac{1}{\sqrt{2\pi}}e^{-x^2/2}f(x)=2π1e−x2/2
设对数分布的概率密度是h(y)=12πσe−(lny−μ)22σ2h(y) = \frac{1}{\sqrt{2\pi }\sigma}e^{\frac{-(lny-\mu)^2}{2\sigma^2}}h(y)=2πσ1e2σ2−(lny−μ)2
G(y)=P{Y≤y}=P{g(X)≤y}=P{X≤g−1(y)}=F(g−1(y))G(y) = P\{Y \le y\}=P\{g(X) \le y\}=P\{X \le g^{-1}(y)\}=F(g^{-1}(y))G(y)=P{Y≤y}=P{g(X)≤y}=P{X≤g−1(y)}=F(g−1(y))
∫−ooy12πσe−(lnt−μ)22σ2dt=∫−oog−1(y)12πe−t2/2dt\int_{-oo}^{y}\frac{1}{\sqrt{2\pi }\sigma}e^{\frac{-(lnt-\mu)^2}{2\sigma^2}}dt=\int_{-oo}^{g^{-1}(y)}\frac{1}{\sqrt{2\pi}}e^{-t^2/2}dt∫−ooy2πσ1e2σ2−(lnt−μ)2dt=∫−oog−1(y)2π1e−t2/2dt
求导可得
e−(lny−μ)22σ2=σe−g−1(y)2/2∗g−1′(y)e^{\frac{-(lny-\mu)^2}{2\sigma^2}}=\sigma e^{-{g^{-1}(y)}^2/2}*g^{-1'}(y)e2σ2−(lny−μ)2=σe−g−1(y)2/2∗g−1′(y)
继而
g(y)=eσy+μg(y) = e^{\sigma y+\mu}g(y)=eσy+μ
g(X)=eσX+μg(X) = e^{\sigma X + \mu}g(X)=eσX+μ,XXX服从均匀分布
3. 请证明第二版课本习题4.5中提及的频域内高通滤波器与低通滤波器的关系式子。
由于原图像f(x,y)f(x,y)f(x,y)由两部分构成,即高频部分和低频部分。
那么f(x,y)=fh(x,y)+fl(x,y)f(x,y) = f_h(x,y)+f_l(x,y)f(x,y)=fh(x,y)+fl(x,y)
可以认为高频部分是由高频滤波器对原图像进行滤波得到:
fh(x,y)=f(x,y)∗Hhp(x,y)f_h(x,y) = f(x,y)*H_{hp}(x,y)fh(x,y)=f(x,y)∗Hhp(x,y)
fl(x,y)=f(x,y)∗Hlp(x,y)f_l(x,y) = f(x,y)*H_{lp}(x,y)fl(x,y)=f(x,y)∗Hlp(x,y)
f(x,y)=fh(x,y)+fl(x,y)=f(x,y)∗Hhp(x,y)+f(x,y)∗Hlp(x,y)f(x,y) = f_h(x,y)+f_l(x,y)=f(x,y)*H_{hp}(x,y)+f(x,y)*H_{lp}(x,y)f(x,y)=fh(x,y)+fl(x,y)=f(x,y)∗Hhp(x,y)+f(x,y)∗Hlp(x,y)
进行傅立叶变换
F(u,v)=F(u,v)Hhp(u,v)+F(u,v)Hlp(u,v)=F(u,v)(Hhp(u,v)+Hlp(u,v))F(u,v)=F(u,v)H_{hp}(u,v)+F(u,v)H_{lp}(u,v) = F(u,v)(H_{hp}(u,v)+H_{lp}(u,v))F(u,v)=F(u,v)Hhp(u,v)+F(u,v)Hlp(u,v)=F(u,v)(Hhp(u,v)+Hlp(u,v))
可知
Hhp(u,v)=1−Hlp(u,v)H_{hp}(u,v)=1-H_{lp}(u,v)Hhp(u,v)=1−Hlp(u,v)
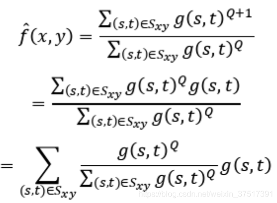
4.给出的逆谐波滤波回答下列问题

(a)解释为什么当Q是正值时滤波对去除“胡椒”噪声有效?
Q>0Q>0Q>0时对像素具有增强作用。而对于胡椒噪声来说,其灰度值较小,所以增强较小,所以对加权平均的结果影响较少。
(b)解释为什么当Q是负值时滤波对去除“盐”噪声有效?
Q<0Q<0Q<0时对像素具有削弱作用。而对于胡椒噪声来说,其灰度值较大,所以削弱较大,所以对加权平均的结果影响较少。