参考文献:
博文1
博文2
博文3
引入
在一类树上动态规划问题中,题目给出的询问往往包含树上的很多各节点,并保证总的点数规模小于某个值.
如果我们直接在整颗树上进行dp的话,时间复杂度与询问的次数有关,这显然是不可接受的,如果我们可以找到一种动态规划的方法,使其时间复杂度与询问中点的实际规模相关就好了.
于是虚树应运而生.
虚树
虚树并不是真实的树,是根据题意而构造的新树
虚树相比于原本,仅仅保留有用的点,重新构造一棵树
这里有用的点是指询问的点(也就是关键点)和它们的lca
(可以理解为我们只需要保存关键点即可,但为了使得关键点彼此可以构造成树,所以要保留lca)
有用的点都是位于叶子节点
具体步骤
预处理我们对整棵树进行dfs序,得到dfn[u]
我们使用一个栈,从栈顶到栈底的元素形成虚树的一颗树链。栈内元素越往上(越靠近栈顶),越靠近树链的叶子节点
对于第一个询问点,无条件加入栈stack内
然后对于所有询问点依次加入,假设当前询问点为now,lc为now和栈顶点stack[top]的最近公共祖先,lc=lca(stack[top],now)
lc和stack[top]肯定是一条链上,但是栈内其他元素与lc是什么关系呢?
情况1
lc = stack[top]
此时now在stack[top]的子树里,那我们只需要把now压入栈即可,此时now为该链的末尾,成为新的stack[now]

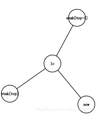
情况2
lc在stack[top]和stack[top-1]之间
那么now和stack[top]就是位于不同的子树里
如图:

针对这种情况,树链的的末端从stack[top-1]->stack[top]变成stack[top-1]->lc->stack[top],我们要做的就是先将边lc->stack[top]加入虚树中,然后stack[top]出栈,lc和now依次入栈。
你会发现相当于最左侧这个链已经维护完毕了,我们已经开始维护stack[top-1]->lc->now这个链
特殊变形
当lc=stack[top-1],也就是lc和stack[top1]重合了,基本和上面是一样的,唯一的区别就是lc不用入栈(因为本来就在栈内)
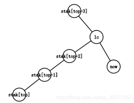
情况3
dep[lc] < dep[stack[top-1]]
说明lc不在stack[top-1]的子树里,当然也可能不再stack[top-x]的子树里(x从1到…),但会在stack[top-x-1]子树里

以图为例,链由stack[top-3]->stack[top-2]->stack[top-1]->stack[top]变成了stack[top-3]->lc->now,我们需要循环将右侧的末端剪下,将剪下的边加入到虚树里,直到不再是情况3,然后再按照情况二来构建(将lc和now加入其中)
当最后一个询问点加入之后,再将栈内的链加入到虚树里,完成所有构建
情况4
对于栈,我们从1开始储存,这种情况下stack[top-1]=0,dep[0]=0
此时dep[lc]<dep[stack[top-1]]恒成立
stak[0]扮演了深度最小的哨兵,确保了程序只会进入情况一和二
如何在一次询问结束后清空虚树:
在dfs过程中每当访问完一个结点就进行清空即可
例题:
P2495 [SDOI2011]消耗战