P1742 最小圆覆盖
题意:
给出N个点,让你画一个最小的包含所有点的圆。
题解:
先说结论:
最优解的圆一定是在以某两个点连线为直径的圆 或者 某三个点组成的三角形的外接圆
初始化将某个圆心定为第一个点,R=0
- 枚举第一个点i,如果点i不在当前圆内,设它为圆心,进入2
- 再枚举第二个点j,若点j不在当前圆内,设当前圆内为以i,j为直径的圆,进入3
- 枚举第三个点k,若点k不在当前圆内,设当前圆为i,j,k的外界圆
这样三个for循环,复杂度为O(n^3),但是点集随机打乱后期望复杂度是O(n)
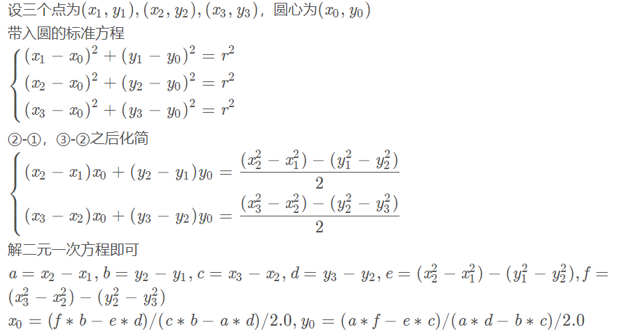
如何三点定圆?
我们知道三点的坐标,直接公式推导即可
我就不推导了,直接放结论

比赛时现推,或者直接抄模板
代码:
#include<bits/stdc++.h>
using namespace std;
#define il inline
#define re register
il int read()
{re int x = 0, f = 1; re char c = getchar();while(c < '0' || c > '9') { if(c == '-') f = -1; c = getchar();}while(c >= '0' && c <= '9') x = x * 10 + c - 48, c = getchar();return x * f;
}
#define eps 1e-12
#define maxn 100005
#define ff(x) (x) * (x)
int n, m;
double r;
struct node
{double x, y;
}o, e[maxn];
il double dis(node a, node b){return sqrt(ff(a.x - b.x) + ff(a.y - b.y));}
il void get(node a, node b, node c)
{double a1 = b.x - a.x, a2 = c.x - a.x, b1 = b.y - a.y, b2 = c.y - a.y;double c1 = (ff(b.x) - ff(a.x) + ff(b.y) - ff(a.y));double c2 = (ff(c.x) - ff(a.x) + ff(c.y) - ff(a.y));o = (node){(b2 * c1 - b1 * c2) / (b2 * a1 * 2 - b1 * a2 * 2), (a2 * c1 - a1 * c2) / (a2 * b1 * 2 - a1 * b2 * 2)};r = dis(a, o);
}
il void work()
{o = e[1], r = 0;for(int i=2;i<=n;i++){if(dis(o, e[i]) > r + eps){o = e[i], r = 0;for(int j=1;j<i-1;j++){if(dis(o, e[j]) > r + eps){o.x = (e[i].x + e[j].x) / 2;o.y = (e[i].y + e[j].y) / 2;r = dis(o, e[j]);for(int k=1;k<=j-1;k++)if(dis(o, e[k]) > r + eps) get(e[i], e[j], e[k]);}}}// printf("%.10lf\n%.10lf %.10lf\n", r, o.x, o.y);}
}
int main()
{n = read();for(int i=1;i<=n;i++)scanf("%lf%lf", &e[i].x, &e[i].y);random_shuffle(e + 1, e + n + 1);work();printf("%.10lf\n%.10lf %.10lf", r, o.x, o.y);return 0;
}