写在前面
后缀自动机,简称SAMSAMSAM,是一种十分优秀的字符串匹(shu)配(ju)算(jie)法(gou)
字符串界的bossbossboss,几乎可以解决全部正常的字符串题目
至少我前前后后学了一年,听过444次课,几度怀疑自己不适合oioioi
请做好心理准备
定义
有限状态自动机
不管,可以理解为有向图。
唯一的区别是信息储存在边上,每个点有字符集个数的转移到若干其他点,类比字典树。
如果对于一个字符串,沿着每个点的转移走,如果不出界,称该自动机可以表示这个字符串。
以下将“点”称为状态
能干啥
后缀自动机能表示母串的所有子串。
算法流程
首先明确一点:子串规模是O(N2)O(N^2)O(N2)的
所以一个状态必须表示多个子串
也就是说,我们要定义出等价的子串
对于一个子串SSS,定义endpos(S)endpos(S)endpos(S)为SSS在原串中所有出现的结束位置的集合
每个状态与一个endposendposendpos集合一一对应。即一个状态表示一个endposendposendpos集合。
需要注意的是,endposendposendpos是完全虚构的,在代码中不会出现。
然后可以表示所有endposendposendpos等于它的字符串,称这些子串为一个endposendposendpos等价类
转移
此时我们定义转移为这个类所有串加上这个字符后所在的转移。
一个类的同一个转移是相同的,因为向ccc的转移的本质是当前endposendposendpos整体后移一位的所有ccc的位置。
感性理解。
两个性质
1.两个子串S1,S2S_1,S_2S1,S2满足S1S_1S1是S2S_2S2的后缀,当且仅当endpos(S2)⊆endpos(S1)endpos(S_2)\subseteq endpos(S_1)endpos(S2)⊆endpos(S1)
S2S_2S2出现的地方一定有S1S_1S1出现,但有S1S_1S1出现的地方不一定有S2S_2S2
2.一个等价类中的子串均为该类中最长串的后缀且长度连续
第一个显然
对于一个串SSS,若有后缀S1S_1S1长度小于SSS,且S1S_1S1和SSS是等价类
设S2S_2S2为长度在它们之间的后缀
有endpos(S)⊆endpos(S2)⊆endpos(S1)endpos(S) \subseteq endpos(S_2) \subseteq endpos(S_1)endpos(S)⊆endpos(S2)⊆endpos(S1)
因为endpos(S)=endpos(S1)endpos(S)=endpos(S_1)endpos(S)=endpos(S1)
所以endpos(S)=endpos(S2)=endpos(S1)endpos(S) = endpos(S_2) = endpos(S_1)endpos(S)=endpos(S2)=endpos(S1)
说明它们之间的串都是一个等价类
Parent链
由于类中的长度只有一段,逼死强迫症
所以我们定义每个状态SSS的failfailfail指针
满足endpos(S)∈endpos(fail(S))endpos(S) \in endpos(fail(S))endpos(S)∈endpos(fail(S))
且fail(S)fail(S)fail(S)要尽量靠后
可以理解为:从一个状态沿failfailfail往上跳,取出该类中的所有串,你将会见证这个串不断失去第一个字符,不断变为后缀,最后变成空串。我们称这条链为parentparentparent链。
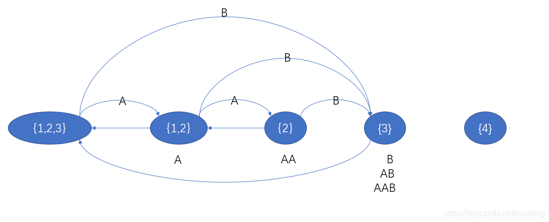
先放个图,以AABAABAAB为栗子

可能看不出啥,但有个大概印象吧
构造算法
SAM 采用增量算法,即一个一个字符插入
这使得 SAM 擅长处理动态问题
现在假设插入第iii个字符,前i−1i-1i−1个的 SAM 已经建立好
首先,上一个插入的点是整个串所在的状态,记为ppp
新建一个节点,记为curcurcur。显然curcurcur最长的长度为当前串的长度。
由于其他子串已经处理了,我们要做的,就是搞出当前串的后缀
此处分333种情况
①最简单的情况
栗子:AA\texttt {AA}AA插入B\texttt BB

此时curcurcur是{3}\{3\}{3}
由于每个类里的字符串是等价的(感性理解)
我们可以找到旧的串的所有后缀,给它加上新的字符
也就是让ppp沿着failfailfail不断跳,令ch[p][S[i]]=curch[p][S[i]]=curch[p][S[i]]=cur
即:原来的所有后缀加上新来的字符就成了新的后缀



 
最后fail(cur)=1fail(cur)=1fail(cur)=1,完结撒花

 ②然而这只是最简单的情况
栗子:AA\texttt {AA}AA插入A\texttt AA

没区别


 咦?已经有转移了呀
说明什么?
说明现在新串的这个后缀已经在之前的串中出现了
那这个后缀的后缀也一定出现了
(请摆脱这个栗子)
记q=ch[p][S[i]]q=ch[p][S[i]]q=ch[p][S[i]]
上面的话翻译一下,ppp表示的串+S[i]+S[i]+S[i]已经出现了
而这个玩意就是qqq
……吗?
ppp的最长串+S[i]+S[i]+S[i]一定在qqq上(定义),但不一定是qqq最长的
先讨论是最长的的情况
yyyyyy一下,我们要找的后缀不就是qqq的最长串吗?
而这个后缀的后缀,也就是我们后面要找的,就在qqq的parentparentparent链上
这么说来,我们令fail[cur]=qfail[cur]=qfail[cur]=q就好了

 over
③然而还有个最复杂的情况
也就是上面的不是qqq最长的
栗子:AAB\texttt{AAB}AAB加B\texttt BB

 走程序


 停
此时的qqq有B,AB,AAB\texttt {B,AB,AAB}B,AB,AAB
而我们的curcurcur只想要B\texttt BB和链上的东西
怎么办?
拆了呗

 记新建的点为q′q'q′
维护信息
首先curcurcur要的是q′q'q′和qqq祖先上的

然后我们发现qqq和q′q'q′有后缀关系

接下来维护转移
q和q′q和q'q和q′是同一个分出来的,而它们原来的转移共同构成了后面的状态
现在它们拆开了,理应维护好后面
即:将qqq的转移拷贝给q′q'q′

考虑这样的事实:在前面某个位置,原来转移到了这个状态。现在这个状态分了,需要考虑具体转移到哪一边。
注意到转移到q′q'q′而不转移到qqq,当且仅当这个状态最长串长小于q′q'q′最长串长。
并且都是qqq去掉末尾的一个字符后的后缀
根据意识流这样的状态最后面的满足的刚好是ppp
而剩下的都在ppp的parentparentparent链上
即:跳ppp的parentparentparent链,如果有到qqq的转移,将它改到q′q'q′
因为是后缀,所以一定是S[i]S[i]S[i]的转移(因为ch[p][S[i]]=qch[p][S[i]]=qch[p][S[i]]=q)
 至此,SAM 就构造完毕了
至此,SAM 就构造完毕了
复杂度是O(N)O(N)O(N)的,显然我不会证
代码
具体实现的时候,每个节点只记录最长串的长度lenilen_ileni
int fa[MAXN],ch[MAXN][26];
int len[MAXN],last=1,tot=1;
int siz[MAXN],a[MAXN],c[MAXN];
void insert(int c)
{int p=last,cur=++tot;len[cur]=len[last]+1;last=cur;for (;p&&!ch[p][c];p=fa[p])  ch[p][c]=cur;//跳failif (!p) fa[cur]=1;//情况1else{int q=ch[p][c];if (len[p]+1==len[q]) fa[cur]=q;//情况2else//情况3{int clone=++tot;len[clone]=len[p]+1;for (int i=0;i<26;i++) ch[clone][i]=ch[q][i];fa[clone]=fa[q];fa[q]=fa[cur]=clone;for (;ch[p][c]==q;p=fa[p]) ch[p][c]=clone;}	}
}
运用
劈配子串
按照定义,沿着转移走
最长公共子串
建出SSS的后缀自动机,拿TTT去跑
不断用lenilen_ileni更新答案
如果走不动了就跳failfailfail
处理出现次数
对于每一次插入,一个类出现次数增加,当且仅当这是当前的后缀
也就是把这个点的parentparentparent链都+1+1+1
显然会TTT。于是先建完,按长度瞎排个序,倒着往上推。
这样sizisiz_isizi表示状态iii中的一个串的出现次数。显然它们是一样的。
应该是用的最多的。
void query()
{for (int i=1;i<=tot;i++) c[len[i]]++;for (int i=1;i<=n;i++) c[i]+=c[i-1];for (int i=1;i<=tot;i++) a[c[len[i]]--]=i;for (int i=tot;i>=1;i--) siz[fa[p]]+=siz[p];
}
然后你就可以处理各种沙雕的字符串题
本质不同的串的个数
由于一个串只会被表示一遍
我们相当于求所有状态表示的串的个数之和。
即∑(len[p]−len[fa[p]])\sum( len[p]-len[fa[p]])∑(len[p]−len[fa[p]])
Link Cut Tree维护parent链
先写到这里吧,想到再补。