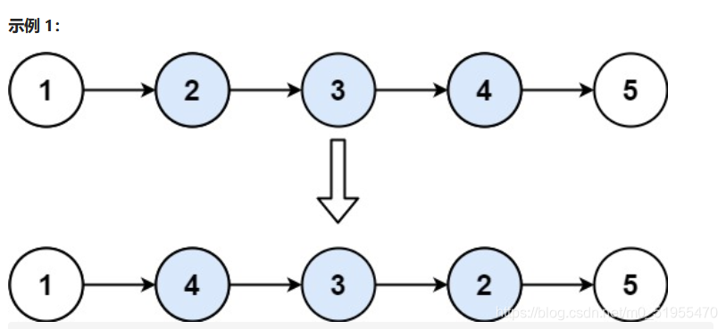
给你单链表的头指针 head 和两个整数 left 和 right ,其中 left <= right 。请你反转从位置 left 到位置 right 的链表节点,返回 反转后的链表 。

输入:head = [1,2,3,4,5], left = 2, right = 4
输出:[1,4,3,2,5]
示例 2:
输入:head = [5], left = 1, right = 1
输出:[5]
提示:
链表中节点数目为 n
1 <= n <= 500
-500 <= Node.val <= 500
1 <= left <= right <= n
代码如下:
/*** Definition for singly-linked list.* struct ListNode {* int val;* ListNode *next;* ListNode() : val(0), next(nullptr) {}* ListNode(int x) : val(x), next(nullptr) {}* ListNode(int x, ListNode *next) : val(x), next(next) {}* };*/
class Solution {
public:ListNode* reverseBetween(ListNode* head, int left, int right) {ListNode *dummy = new ListNode;ListNode *pre = dummy;pre->next = head;for (int i = 0;i<left-1;i++){pre = pre->next;}ListNode *cur = pre->next;ListNode*next;for (int i =0;i<right-left;i++){next = cur->next;cur->next = next->next;next->next = pre->next;pre->next = next;}ListNode *index = dummy->next;delete dummy;return index;}
};