解决问题的思路
- 工作中遇到的问题可能用到的数据结构由很多,并且各种数据结构都不简单,我们不可能光凭借想象就能得到问题的解法,因此画图是在家具问题过程中用来帮助自己分析,推理的常用手段。很多问题比较抽象,不容易找到解决方案。我们可以借助图形帮助自己观察思考。
- 很多比较复杂的数据结构相关的问题,例如,二叉树,二维数组,矩阵,链表,图等问题。都可以采用画图的方式来分析。
- 利用图像来分析更能够直观的找到问题的解决方案,而且有时候在图中也能看出边界条件,我们可以将问题的某一种情况来代替全量,得出边界条件需要满足的值。这样编码会变得更加容易
二叉树的的镜像
-
题目:完成一个函数,输入一个二叉树,改函数输出他的镜像。
-
二叉树节点定义还是使用前面二叉树实现原理中的节点定义。
-
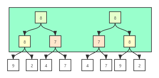
树的镜像这种问题比较新颖,光靠想的话简单情况可以想出来,当未必能一下子得出具体的实现方案。我们可以画出一个镜像图如下:

-
我们可以从上图中直观的看出镜像前后的变化,镜像前后根节点是不变化的,但是左右子树的位置交换了位置,我们可以一步一步的来话题分析,如下第一步骤。

-
框中的第一个子树部分的镜像信息,根节点不变,子树左右交换,交换后我们可以用同样的逻辑处理 8-9-2 子树和其他的子树,明显这部分用递归可以实现。
-
综上分析得出:
- 我们先前序遍历这颗树的每个节点
- 如果遍历到的节点有子节点,就交换两个子节点
- 当交换完所有非叶子节点的左右子节点后,就完成了镜像的输出。
-
代码实现如下:
/*** 获取二叉树的镜像* @author liaojiamin* @Date:Created in 17:36 2021/3/31*/
public class MirrorBinaryTree {public static BinaryNode mirrorTree(BinaryNode root){if(root == null || (root.getLeft() == null && root.getRight() == null)){return root;}BinaryNode treeTemp = root.getRight();root.setRight(root.getLeft());root.setLeft(treeTemp);if(root.getRight() != null){mirrorTree(root.getRight());}if(root.getLeft() != null){mirrorTree(root.getLeft());}return root;}public static void main(String[] args) {BinaryNode node = new BinaryNode(null, null, null);BinarySearchTree tree1 = new BinarySearchTree();Random random = new Random();for (int i = 0; i < 20; i++) {node = tree1.insert(random.nextInt(100), node);}tree1.printTree(node);System.out.println("----------------------mirror------------");mirrorTree(node);tree1.printTree(node);}
}
上一篇:数据结构与算法–代码鲁棒性案例分析
下一篇:数据结构与算法–解决问题的方法-顺时针打印矩阵