
MIT线性代数课程精细笔记[第一课]笔记见MIT线性代数课程精细笔记[第一课]。
该笔记是连载笔记,希望对大家有帮助。
这一节中我们介绍一下消元法,即是上一节中我们提到的“系统化”求解方程所用的方法,通过矩阵消元运算可以很轻松地求解复杂方程。
另外还介绍了消元矩阵,即我们的消元运算在矩阵乘法中所表现的形式。并从消元矩阵引入,介绍逆矩阵的基础知识。
2.1 消元法介绍
对于一些“好”的系数矩阵(可逆矩阵)A 来说,我们可以使用消元法来求解方程 Ax = b,我们还是从一个例子谈起。

所谓矩阵的消元法,与我们初等数学中学习的解二元一次方程组的消元法其实师出同门,都是通过将不同行的方程进行消元运算来简化方程,最后能得到简化的方程组,只不过这里我们把系数单独抽出来进行运算,寻找一种矩阵情况下的普遍规律而已。



注:
并不是所有的 A 矩阵都可消元处理,需要注意在我们消元过程中,如果主元位置(左上角)为 0,那么意味着这个主元不可取,需要进行 “换行”处理:
首先看它的下一行对应位置是不是 0,如果不是,就将这两行位置互换,将非零数视为主元。如果是,就再看下下行,以此类推。若其下面每一行都看到了,仍然没有非零数的话,那就意味着这个矩阵不可逆,消元法求出的解不唯一。
下面是三个例子:

2.2 回带求解
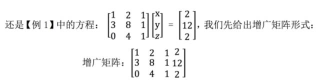
其实回带求解应该和消元法同时进行,只不过本课中以及一些软件工作原理中它们是先后进行的,所以我们这里分开讨论,先介绍增广矩阵:

一下子就看出来了,就是把系数矩阵 A 和向量 b 拼接成一个矩阵就行了。

3.1 行向量与矩阵的乘法
上面的消元法是从简单的变换角度介绍了消元的具体操作,接下来我们需要 用矩阵来表示变换的步骤,这也十分有必要,因为这是一种“系统地”变换矩阵的方法。


导致错误。其实学过矩阵之间的乘法之后这些东西都极为简单,但这里还是建议大家尽量从向量的角度去考虑问题。
3.2 消元矩阵介绍
好的,接下来是重点。学会了行向量与矩阵之间的乘法,我们就可以使用行 向量对矩阵的行做操作了。所谓消元矩阵,就是将消元过程中的行变换转化为矩阵之间的乘法形式。


我们消元过程是将第一行乘 -3 加到第二行,这是对第二行的操作,那么就从单位阵的第二行着手:



3.3 行交换矩阵与逆矩阵
3.3.1 行变换与列变换

3.3.2 逆矩阵初探
可以说我们学会了消元矩阵,就相当于我们可以用矩阵乘法对一个矩阵进行任 何变化了,那么我们考虑一个反过程,即我们把一个消元结束的矩阵 U 如何变为 未经消元的矩阵 A 呢?
答案就是乘上一个逆矩阵。

本节从矩阵消元的角度,介绍解方程的通用做法,并介绍了消元矩阵,使我们从矩阵乘法层面理解了消元的过程,并延伸了消元矩阵的应用:就是基于单位阵 I 的变化,对矩阵 A 进行行列变换的过程。
这一节的消元法以后会常用,要熟练掌握才可以。
希望对大家有帮助~