一、PHP开源源代码下载地址:
https://github.com/php/php-src.git
二、PHP的构成
1、目录结构

2、目录分析
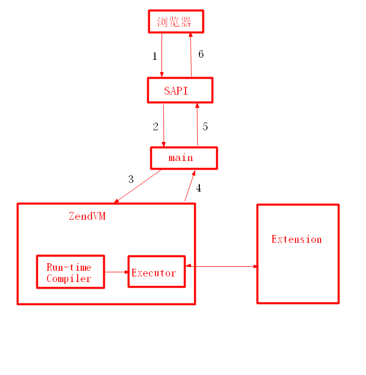
(1)sapi目录是PHP的应用接口层。
(2)main为php的主要代码,主要是输入/输出、Web通信、PHP框架的初始化操作等,比如fastcgi协议的解析、扩展的加载、PHP配置的解析等工作都是在这里完成的。
(3)Zend目录是PHP解析器的主要实现,即ZendVM,它是PHP语言的核心实现,PHP代码的解释、执行都是由Zend完成的。
(4)ext目录是PHP的扩展目录,比如php的curl扩展,gd库扩展、pdo扩展等都是在这里。
(5)TSRM目录为线程安全相关的实现。
(6)PHP各组成部分之间关系图:

3、SAPI
(1)PHP是一个脚本解析器,提供脚本的解析与执行。它的输入是普通的文本,然后由PHP解析器按照预先定义好的语法规则进行解析执行。我们可以在不同环境中应用这个解析器,比如命令行下、Web环境下、嵌入其他应用中使用。为此,PHP提供了一个SAPI层以适配不同的应用环境,SAPI可以认为是PHP的宿主环境。
(2)SAPI也是整个PHP框架最外层的一部分,它主要负责PHP框架的初始化工作。SAPI代码位于PHP源码的 /sapi 目录下,经常用到的两个SAPI是Cli和Fpm。
4、ZendVM
(1)ZendVM是一个虚拟的计算机,它介于PHP应用和实际计算机中间,我们编写的PHP代码就是被它解释执行的。ZendVM是PHP语言的核心实现,他主要由两部分组成:编译器和执行器。
(2)编译器负责将PHP解释为执行器可识别的指令,执行器负责执行编译器解释出的指令。
(3)ZendVM的角色等同于Java中的JVM,它们都是抽象出的虚拟计算机。
5、Extension
(1)扩展是PHP内核提供的一套用于扩充PHP功能的一种方式,PHP社区中有丰富的扩展可供使用,这些扩展为PHP提供了大量实用的功能,PHP中很多操作的函数都是通过扩展提供的。
(2)通过扩展,我们可以使用C/C++实现更强大的功能和更高的性能。扩展分为PHP扩展和Zend扩展,PHP扩展比较常见,而Zend扩展主要应用于ZendVM,我们所熟知的Opcache就是Zend扩展。
三、PHP生命周期
1、PHP的整个生命周期被划分为以下几个阶段:
(1)模块初始化阶段(module startup)
(2)请求初始化阶段(request startup)
(3)脚本执行阶段(execute sccript)
(4)请求关闭阶段(request shutdown)
(5)模块关闭阶段(module shutdown)
注:根据不同SAPI的实现,各阶段的执行情况会有一些差异,比如命令行模式下,每次执行一个脚本都会完成的经历这些阶段。而FastCgi模式下则在启动时执行一次模块初始化,然后各个请求只经历请求初始化,脚本执行,请求关闭几个阶段,在SAPI关闭时,才经历模块关闭阶段。
2、模块初始化阶段—分析
(1)这个阶段主要进行PHP框架和Zend引擎的初始化操作。该阶段的入口函数为php_module_startup()。这个阶段一般只在SAPI启动时执行一次,对于Fpm而言,就是在Fpm的master进程启动时执行的。
(2)该阶段的几个主要处理如下:
(3)激活SAPI:sapi_activate(),初始化请求信息SG(request_info)、设置读取POST请求的handle等。
(4)启动PHP输出:php_output_startup()
(5)初始化垃圾回收器:gc_globals_ctor(),并分配zend_gc_globals内存。
(6)启动Zend引擎:zend_startup(),主要操作包括
(6.1)启动内存池 start_memory_manager()
(6.2)设置一些util函数句柄,如zend_error_cb、zend_pringf、zend_write等。
(6.3)设置Zend虚拟机编译、执行器的函数句柄zend_compile_file、zend_execute_ex、垃圾回收函数句柄gc_collect_cycles
(6.4)分配函数符号表 方法符号表(function_table)、类符号表(class_table)、常量符号表(zend_constants)等,如果是多线程的话,还会分配编译器、执行器的全局变量。
(6.5)注册Zend核心扩展:zend_startup_builtin_funtions(),这个扩展是内核提供的,该过程将注册Zend核心扩展提供的函数,如strlen、define、func_get_args、class_exists等。
(6.6)注册Zend定义的标准常量:zend_register_standard_constants(),比如 E_ERROR、E_WARNING、E_ALL、TRUE、FALSE等。
(6.7)注册$GLOBALS超全局变量的获取handle。
(6.8)分配php.ini配置的存储符号表 EG(ini_directives)。
(7)注册PHP定义的常量:PHP_VERSION、PHP_ZTS、PHP_SAPI等。
(8)解析php.ini:解析完成后所有的php.ini配置保存在configuration_hash哈希表中。
(9)映射PHP、Zend核心的php.ini配置:根据解析出的php.ini,获取对应的配置值,将最终的配置插入EG(ini_directives)哈希表。
(10)注册用于获取$_GET、$_POST、$_COOKIE、$_SERVER、$_ENV、$_REQUEST、$_FILES变量的handle。
(11)注册静态编译的扩展:php_register_internal_extensions_func()。
(12)注册动态加载的扩展:php_init_register_extensions(),将php.ini中配置的扩展加载到PHP中。
(13)回调各扩展定义的module startup钩子函数,即通过PHP_MINIT_FUNCTION()定义的函数。
(14)注册php.ini中禁用的函数、类:disable_funstions、disable_classes。
3、请求初始化阶段—分析
该阶段是在请求处理前每一个请求都会经历的一个阶段。对于fpm而言,是在worker进程accept一个请求且获取、解析完请求数据后的一个阶段。该阶段的处理函数为php_request_startup()。
主要处理有以下几个:
(1)激活输出:php_output_activate()
(2)激活Zend引擎:zend_activate(),主要操作有
(2.1)重置垃圾回收器:gc_reset()
(2.2)初始化编译器:ini_compiler()
(2.3)初始化执行器:ini_exexutor(),将 EG(function_table)和 EG(class_table)分别执行 CG(function_table)和CG(class_table)。
(2.4)初始化全局变量符号表 EG(symbol_table)、include过的文件符号表 EG(included_files)
(2.5)初始化词法扫描器:sapi_activate()
(3)激活SAPI:sapi_activate()
(4)回调个扩展定义的request startup钩子函数:zend_activate_modules()
4、脚本执行阶段—分析
(1)该阶段包括PHP代码的编译、执行两个核心阶段,这也是Zend引擎最重要的功能。
(2)在编译阶段,PHP脚本将经历从PHP源代码到抽象语法树,再到opline指令的转化过程,最终生成的opline指令就是Zend引擎可识别的执行指令,这些指令被执行器执行,这就是PHP代码解释执行的过程。该阶段入口函数为php_execute_script()。
5、请求关闭阶段—分析
(1)该阶段将flush输出内容、发送HTTP应答header头、清理局部变量、关闭编译器、关闭执行器等。
(2)另外,在该阶段将回调各扩展的request shutdown钩子函数。
(3)该阶段与请求初始化阶段操作是相反的。
6、模块关闭阶段—分析
该阶段在SAPI关闭时执行,与模块初始化阶段对应,主要进行资源的清理、PHP各模块的关闭操作,同时将回调各扩展的 module shutdown 钩子函数。
注:免费领取阿里云产品优惠券:https://www.haveyb.com/aliyun