一、牛牛冲钻五(模拟)
登录—专业IT笔试面试备考平台_牛客网


#include<iostream>
using namespace std;
int main(){int t,n,k;string s;cin>>t;while(t--){cin>>n>>k>>s;int ret=0;//统计加了多少星for(int i=0;i<n;++i)if(s[i]=='L') --ret;else if(i-1>=0&&i-2>=0&&s[i-1]=='W'&&s[i-2]=='W') ret+=k;else ++ret;cout<<ret<<endl;}
} 
二、最长无重复子数组(变长滑动窗口)
最长无重复子数组_牛客题霸_牛客网


class Solution {
public:int hash[100001];//标记重复数int maxLength(vector<int>& arr) {int n=arr.size();int ret=0;for(int left=0,right=0;right<n;++right){++hash[arr[right]];while(hash[arr[right]]>1) --hash[arr[left++]];ret=max(ret,right-left+1);//求最大 不需要在while里面更新 求最小才需要}return ret;}
}; 
三、重排字符串(贪心)
登录—专业IT笔试面试备考平台_牛客网


//该题就是贪心 要先统计数量最多的那个
#include<iostream>
#include<string>
using namespace std;
int main(){int n;string s;cin>>n>>s;int hash[26]={0};//统计字符char maxchar;//记录最大字符int maxcount=0;//以及他的最大数量for(auto&ch:s)if(++hash[ch-'a']>maxcount){//找到更大的就更新一下maxcount=hash[ch-'a'];maxchar=ch;}//这个时候我们先看看是否超过了if(maxcount>(n+1)/2) cout<<"no"<<endl;else{cout<<"yes"<<endl;//开始按顺序填那个最多的int index=0;while(maxcount--){s[index]=maxchar;index+=2;}//继续填剩下的for(int i=0;i<26;++i)if(hash[i]&&i!=maxchar-'a')while(hash[i]--){if(index>=n) index=1;s[index]=i+'a';index+=2;}cout<<s<<endl;}
} 
四、乒乓球筐(哈希)
乒乓球筐__牛客网


#include <iostream>
#include <string>
using namespace std;int main() {string a,b;while(cin>>a>>b){int hash[26]={0};for(auto&ch:a) ++hash[ch-'A'];bool ret=true;for(auto&ch:b) if(--hash[ch-'A']<0){ret=false;break;}cout<<(ret?"Yes":"No")<<endl;//多组 不能return 那就用一个bool值}
}
// 64 位输出请用 printf("%lld") 
五、组队竞赛(排序+贪心)
组队竞赛_牛客笔试题_牛客网


#include <iostream>
#include <algorithm>
using namespace std;
const int N=1e5+5;
int n;
long long a[N*3];
int main() {cin>>n;for(int i=0;i<n*3;++i) cin>>a[i];sort(a,a+3*n);//排序之后 我们就取倒数第二个人的成绩int pos=3*n-2,count=0;long long ret=0;while(++count<=n){ret+=a[pos];pos-=2;}cout<<ret<<endl;
}
// 64 位输出请用 printf("%lld") 
六、删除相邻数字的最大分数(预处理+状态dp)
删除相邻数字的最大分数_牛客题霸_牛客网


#include <iostream>
using namespace std;
//状态dp 也就是不可同时取
const int N=1e4+1;
int sum[N],f[N],g[N];//第一个是总和数组 第二个是i位置选了的dp数组  第二个是i位置不选的dp数组
int n;
int main() {cin>>n;int x;while(n--){cin>>x;sum[x]+=x;}//然后进行dpfor(int i=1;i<N;++i){f[i]=g[i-1]+sum[i];//当前位置选了g[i]=max(f[i-1],g[i-1]);//当前位置没选}cout<<max(f[N-1],g[N-1])<<endl;
}
// 64 位输出请用 printf("%lld") 
七、平方数(数学)
登录—专业IT笔试面试备考平台_牛客网


#include<iostream>
#include<cmath>
using namespace std;
typedef long long LL;
int main(){LL x;cin>>x;LL a=sqrt(x);LL x1=a*a,x2=(a+1)*(a+1);if(x2-x>x-x1) cout<<x1<<endl;else cout<<x2<<endl;
} 
八、**分组(枚举+二分)
登录—专业IT笔试面试备考平台_牛客网


#include<iostream>
#include<unordered_map>
using namespace std;
int n,m;
unordered_map<int,int> cnt;//统计各个声部各有多少人数
bool check(int x){//查看每组最多x人的时候最少能分几组int g=0;for(auto&[a,b]:cnt)g+=b/x+(b%x!=0);return g<=m;
}
int main(){cin>>n>>m;int x;int hmax=0;//统计最多人数的声部for(int i=0;i<n;++i){cin>>x;hmax=max(hmax,++cnt[x]);}int kinds=cnt.size();//有多少种类if(kinds>m) cout<<-1<<endl;//种类太多的话就无法安排else{
//         for(int i=1;i<=hmax;++i) 暴力枚举 
//             if(check(i)){
//                 cout<<i<<endl;
//                 break;
//             }//二分int left=1,right=hmax;while(left<right){//左区间端点法int mid=left+(right-left)/2;if(check(mid)) right=mid;else left=mid+1;}cout<<left<<endl;}
} 
九、【模板】拓扑排序
【模板】拓扑排序_牛客题霸_牛客网


#include <iostream>
#include <vector>
#include <queue>
using namespace std;
const int N=2e5+1;
int in[N];//统计入度信息
vector<vector<int>> edges(N);//每个点对应边的集合
queue<int> q;//进行bfs
vector<int> ret;//获取最终结果
int n,m,a,b;
int main() {cin>>n>>m;while(m--){//开始建图cin>>a>>b;edges[a].emplace_back(b);++in[b];//统计入度信息}//此时图建完了 然后开始把所有入度为0的点都丢进去for(int i=1;i<=n;++i)if(in[i]==0) q.push(i);//开始进行bfswhile(!q.empty()){int a=q.front();ret.emplace_back(a);q.pop();//把跟t有关的入度删了for(auto&b:edges[a])if(--in[b]==0) q.push(b);}//检查一下是否符合要求if(ret.size()!=n) cout<<-1;//说明不是有向无环图else{for(int i=0;i<n-1;++i) cout<<ret[i]<<" ";cout<<ret[n-1];}
}
// 64 位输出请用 printf("%lld") 
十、字符串替换(模拟)
字符串替换_牛客题霸_牛客网


class StringFormat {
public:string formatString(string A, int n, vector<char> arg, int m) {string ret;int j=0;//用来标记参数列表for(int i=0;i<n;++i)if(A[i]=='%'){ret+=arg[j++];++i;}else ret+=A[i];while(j<m) ret+=arg[j++];return ret; }
}; 
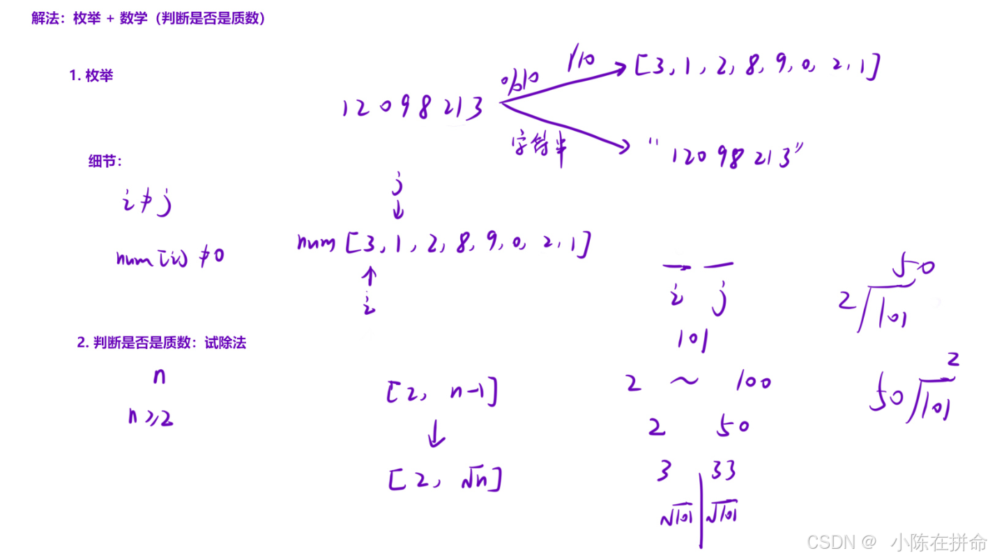
十一、**神奇数(数学)
神奇数_牛客笔试题_牛客网
 
#include <iostream>
#include <cmath>
#include <vector>
using namespace std;
bool isprimenum(int x){//判断该数是否是质数 用试除法if(x<2||x%2==0) return false;//偶数肯定不是质数int n=sqrt(x);for(int i=3;i<=n;i+=2)//奇数除以偶数肯定不能整除if(x%i==0) return false;return true;
}
bool check(int x){//判断是否是神奇数 vector<int> nums;while(x){nums.emplace_back(x%10);x/=10;}int n=nums.size();for(int i=0;i<n;++i)//枚举十位数 for(int j=0;j<n;++j)//枚举个位数if(i!=j&&nums[i]!=0&&isprimenum(nums[i]*10+nums[j]))return true;return false;
}
int a, b;
int main() {cin>>a>>b;int ret=0;for(int i=max(10,a);i<=b;++i)if(check(i)) ++ret;cout<<ret<<endl;
}
// 64 位输出请用 printf("%lld") 
十二、DNA序列(定长滑动窗口)
DNA序列_牛客题霸_牛客网


#include <iostream>
#include <string>
using namespace std;
string s;
int N;//限定子串的长度
int main() {cin>>s>>N;int maxCount=0;//用来统计最大的countint Count=0;//用来统计窗口里的c+gint begin=-1;//用来统计初始位置int n=s.size();int left=0,right=0;//滑动窗口for(;right<N-1;++right)  //先把前n-1个进去Count+=(s[right]=='C'||s[right]=='G');for(;right<n;++right,++left){Count+=(s[right]=='C'||s[right]=='G');if(Count>maxCount){maxCount=Count;begin=left;}Count-=(s[left]=='C'||s[left]=='G');}cout<<s.substr(begin,N)<<endl;
}
// 64 位输出请用 printf("%lld") 
十三、*小乐乐改数字(模拟)
小乐乐改数字_牛客题霸_牛客网


#include <iostream>
#include <string>
using namespace std;
//'A' 的 ASCII 码是 65
//'a' 的 ASCII 码是 97
//'0' 的 ASCII 码是 48
//' ' (空格) 的 ASCII 码是 32
string s;
int main() {cin>>s;for(auto&ch:s)if(ch&1) ch='1';else ch='0';cout<<stoi(s)<<endl;//自动处理前导零
}
// 64 位输出请用 printf("%lld") 
十四、*十字爆破(预处理+模拟)
登录—专业IT笔试面试备考平台_牛客网

 
//可以提前把每行每列的值都给他存起来
#include<iostream>
using namespace std;
const int N=1e6+1;
typedef long long LL;
LL row[N],col[N];//统计每行每列的值
int n,m;
int main(){scanf("%d %d",&n,&m);LL nums[n][m];//这个用NN建的话空间太大了 for(int i=0;i<n;++i)for(int j=0;j<m;++j){scanf("%lld",&nums[i][j]);row[i]+=nums[i][j];col[j]+=nums[i][j];}//开始尝试打印for(int i=0;i<n;++i){for(int j=0;j<m;++j)printf("%lld ",row[i]+col[j]-nums[i][j]);printf("\n");}
} 
十五、**比那名居的桃子(定长滑动窗口/前缀和)
登录—专业IT笔试面试备考平台_牛客网


解法1:定长滑动窗口
#include<iostream>
using namespace std;
typedef long long LL;
const int N=1e5+10;
LL h[N],s[N];
int n,k;
//滑动窗口 维护一个k长度的区间
int main(){cin>>n>>k;for(int i=1;i<=n;++i) cin>>h[i];for(int i=1;i<=n;++i) cin>>s[i];//先让前面k-1个进去int left=1,right=1;//滑动窗口LL hsum=0,ssum=0,hmax=0,smin=0,begin=0;for(;right<k;++right){hsum+=h[right];ssum+=s[right];}for(;right<=n;++left,++right){hsum+=h[right];ssum+=s[right];if(hsum>hmax){//如果快乐值更多 就得更新begin=left;hmax=hsum;smin=ssum;}else if(hsum==hmax&&ssum<smin){//如果快乐值一样 羞耻值少 也得更新begin=left;smin=ssum;}//出窗口hsum-=h[left];ssum-=s[left];}cout<<begin<<endl;
} 
解法2:前缀和
#include<iostream>
using namespace std;
typedef long long LL;
const int N=1e5+10;
LL h[N],s[N];
int n,k;
//滑动窗口 维护一个k长度的区间
int main(){cin>>n>>k;int x;for(int i=1;i<=n;++i){cin>>x;h[i]=h[i-1]+x;}for(int i=1;i<=n;++i){cin>>x;s[i]=s[i-1]+x;}//先让前面k-1个进去LL hmax=0,smin=0,begin=0;for(int i=k;i<=n;++i)if(h[i]-h[i-k]>hmax){begin=i-k+1;hmax=h[i]-h[i-k];smin=s[i]-s[i-k];}else if(h[i]-h[i-k]==hmax&&s[i]-s[i-k]<smin){begin=i-k+1;smin=s[i]-s[i-k];}cout<<begin<<endl;
} 
十六、压缩字符串1(双指针)
压缩字符串(一)_牛客题霸_牛客网


class Solution {
public:string compressString(string param) {int n=param.size();if(n<2) return param;string ret;//处理返回结果for(int i=0;i<n;){int j=i+1,count=1;while(j<n&¶m[j]==param[i]){++j;++count;}ret+=param[i];if(count>1) ret+=to_string(count);i=j;}return ret;}
}; 
十七、**chika和蜜柑(重写排序)
登录—专业IT笔试面试备考平台_牛客网


#include<iostream>
#include<algorithm>
using namespace std;
const int N=2e5+10;
typedef long long LL;
typedef pair<LL,LL> PLL;
PLL a[N];//酸度和甜度的数组
int n,k;
int main(){cin>>n>>k;for(int i=0;i<n;++i) cin>>a[i].first;for(int i=0;i<n;++i) cin>>a[i].second;sort(a,a+n,[&](const PLL&a,const PLL&b){return a.second==b.second?a.first<b.first:a.second>b.second; });LL s=0,t=0;for(int i=0;i<k;++i){s+=a[i].first;t+=a[i].second;}cout<<s<<" "<<t<<endl;
} 
十八、01背包
01背包_牛客题霸_牛客网


class Solution {
public:int dp[1010]={0};int knapsack(int V, int n, vector<vector<int> >& vw) {//体积不超过V的情况下 当前能够装下的最大重量//dp[i][j]表示从前i个物品选,体积不超过j的最大重量for(int i=0;i<n;++i)for(int j=V;j>=vw[i][0];--j)dp[j]=max(dp[j],dp[j-vw[i][0]]+vw[i][1]);return dp[V];}
}; 

