目录
一、规范要求
1、法规目录:
(1)RF Output Power
(2)Transmit Power Control (TPC)
(3)Power Density
2、限值:
二、EIRP测试方法
(1)测试条件
(2)最高功率下的射频输出功率 - PH_测试方法
方法1:对于具有连续传输能力的设备,或者对于以恒定工作周期运行(或具备运行该周期的能力)的设备(例如基于帧的设备)
方法 2:对于不具备连续传输能力且仅在一个子频段内运行(或具备在仅一个子频段内运行的能力)的设备
方法3:对于不具备连续传输能力且在两个子频段同时进行传输的设备
(3)TPC 范围内最低功率水平下的射频输出功率 - PL
方法1:对于具有连续传输能力的设备,或者对于以恒定工作周期运行(或具备运行该周期的能力)的设备(例如基于帧的设备)
方法 2:对于不具备连续传输能力且仅在一个子频段内运行(或具备在仅一个子频段内运行的能力)的设备
方法3:对于不具备连续传输能力且在两个子频段同时进行传输的设备
三、PSD测试方法
(1)测试条件
方法 1:对于具有连续传输能力的设备,或者对于以恒定工作周期运行(或具备运行该工作周期的能力)的设备(例如基于帧的设备)
方法 2:对于不具备连续传输能力且不具备以恒定工作周期进行传输能力的设备
一、规范要求
1、法规目录:
ETSI EN 301 893中4.2.3 RF output power, Transmit Power Control (TPC) and power density
(1)RF Output Power
射频输出功率是指在一次传输Burst期间的平均等效全向辐射功率(e.i.r.p.)。
(2)Transmit Power Control (TPC)
发射功率控制(TPC)是一种由 RLAN 设备所采用的机制,旨在确保来自大量设备的总功率衰减至少达到 3 分贝的缓解系数。这要求 RLAN 设备具备 TPC 范围,其中最低值至少比表 中针对具有 TPC 的设备给出的平均有效辐射功率(e.i.r.p.)值低 6 分贝。
(3)Power Density
功率密度是指在一次传输Burst期间的平均等效全向辐射功率(e.i.r.p.)密度。
2、限值:
以下限制适用于整个系统以及任何可能的配置情况。这包括智能天线系统(具有多个发射链路的设备)。
如果在同一子频段内存在多个(相邻或不相邻的)信道,那么该子频段内所有信道的总射频输出功率不得超过以下所规定的限制值。
如果在不同子频段中运行着多个不相邻的信道,那么每个子频段内的总射频输出功率均不得超过以下所规定的限制值。
最高功率水平下的射频输出功率和功率密度限制
对于其标称带宽完全位于 5150 MHz 至 5250 MHz 之间的信道,无需考虑 TPC。
对于具有 TPC 功能的设备,在配置为 TPC 范围内最高规定功率水平运行时,射频输出功率和功率密度不得超过表中给出的数值。
允许设备在没有 TPC 的情况下运行。在此情况下,适用的限制见表。

注 1:适用的功率限制为 20 dBM,但标称带宽完全处于 5150 兆赫兹至 5250 兆赫兹频段内的传输情况除外,在这种情况下,适用的功率限制为 23 dBM。
注 2:适用的功率谱密度限制为 7 dBM/MHZ,但标称带宽完全处于 5150 MHZ至 5250 MHZ频段内的传输情况除外,在这种情况下,适用的功率谱密度限制为 10 dBM/MHZ。
注 3:不具备雷达干扰检测功能的从设备应符合 5250 兆赫兹至 5350 兆赫兹频段的限制要求。
TPC 范围内最低功率水平下的射频输出功率限制(功率控制后的限制)
对于采用 TPC 技术的设备,在配置为以 TPC 范围内所规定的最低功率水平工作时,在传输Burst期间的射频输出功率不得超过下表中给出的数值。对于未采用 TPC 技术的设备,下表中的限制不适用。

不具备雷达干扰检测功能的从属设备,应符合 525 MHz 至 5350 MHz 频段的限值要求。
二、EIRP测试方法
(1)测试条件
合格性要求应在定义的那些信道和信道带宽上进行验证。
本条所述的测量可能需要重复进行,以涵盖:
- 制造商声明的每个发射功率控制(TPC)范围(或对于没有发射功率控制功能的设备而言的发射机输出功率电平),以及相应的天线组件(见第 5.4.1 条的 e)、f)和 g)项);
- 制造商声明的每个发射操作模式(见第 5.3.3.2 条和第 5.4.1 条的 c)项)。
测量应在施加规定的测试信号的情况下进行。或者,如果具备特殊测试功能,设备也可以配置为连续发射模式,或配置为占空比至少为 10% 的恒定占空比模式(例如基于帧的系统)。
对于配有天线连接器并使用专用外部天线的被测设备(UUT),或者对于配有内置天线但提供了临时天线连接器的被测设备,应结合规定的天线组件增益采用传导测量法。
对于设计使用内置天线且未提供外部(临时)天线连接器的设备,可使用第 B.4 条所述的测试夹具,在工作温度范围的两个极端温度下进行相对测量。
(2)最高功率下的射频输出功率 - PH_测试方法
附加条件
这些测量应在正常和极端测试条件下进行。
被测单元(UUT)应配置为在以下两种情况下运行:
- 在 TPC 范围内规定的最高发射机输出功率水平下运行;
- 如果设备不具备 TPC 功能,则在规定的最大发射机输出功率水平下运行。
方法1:对于具有连续传输能力的设备,或者对于以恒定工作周期运行(或具备运行该周期的能力)的设备(例如基于帧的设备)
此选项适用于仅在一个子频段内运行的设备,或者能够同时在两个子频段内运行的设备(但出于测试目的,该设备可配置为:
- 持续发射模式运行或以恒定工作周期(x)运行,
- 仅在其中一个子频段内运行。
步骤1:
(频谱仪中的 “diode detector” 是 “二极管检波器”。
它的作用是将射频(RF)信号转换为直流(DC)信号,以便频谱仪能够测量和显示信号的幅度。二极管检波器通常由一个或多个二极管组成,这些二极管对射频信号进行整流,将其转换为直流电压,该直流电压与输入的射频信号幅度成正比。频谱仪通过测量这个直流电压来确定射频信号的幅度,并在屏幕上显示出相应的频谱图像。)
对于配置为连续发射模式(x = 1)的设备,立即进入步骤 2。
- 发射机的输出功率应耦合到一个匹配的二极管检波器或其等效器件上。二极管检波器的输出端应连接到示波器的垂直通道上。
- 二极管检波器和示波器的组合应能够如实地再现发射机输出信号的占空比。
- 所观察到的发射机占空比(发射开启时间 /(发射开启时间 + 发射关闭时间))应记为 x(0 < x ≤ 1),并记录在测试报告中。
步骤2:
- 射频输出功率应使用配有热电偶探测器或同等探测器的宽带射频功率计来测定,且其积分周期应比发射机的重复周期长 5 倍或更多。所测得的值应记为 A(单位为分贝毫瓦)。
- 当对以多个发射链路同时激活模式运行的智能天线系统进行传导测量时,应分别测量每个发射链路的输出功率,以便计算被测设备(UUT)的总功率(value A in dBm)。
- 在最高功率水平 PH(即有效辐射功率)下的射频输出功率应根据上述测量得到的功率输出 A(以 dBm 表示)、观察到的占空比 x、所声明的天线增益 G(以 dBi 表示)以及(如适用)波束成形增益 Y(以 dB 表示)通过以下公式计算得出。该值应在测试报告中予以记录。
如果针对此功率设置或 TPC 范围计划使用多个天线组件,应使用天线组件中增益最高的那个组件的增益。
![]()
方法 2:对于不具备连续传输能力且仅在一个子频段内运行(或具备在仅一个子频段内运行的能力)的设备
- 能够在两个子频段中运行,但不能同时在两个子频段运行的设备;或者能够同时在两个子频段中运行,但为了测试目的,可以配置为仅在一个子频段中发射信号的设备。
- 能够同时在两个子频段中发射信号且无法配置为仅在一个子频段中发射信号的设备,应使用方法 3 进行测试。
步骤 1:
使用适用于 6 GHZ的快速功率传感器对设备的发射信号进行采样。保存原始样本。这些样本应能体现信号的均方根功率。(功率计设置如下)
采样速度:1 MS/s 或更快。
测量时长:要足够长,以至少捕获 10 个发射脉冲串。
步骤 2:
对于具有一条发射链路的设备进行传导测量时:
将功率传感器连接到发射端口,对发射信号进行采样并存储原始数据。在后续所有步骤中都使用这些存储的样本。
对于具有多条发射链路的设备进行传导测量时:
将一个功率传感器连接到每个发射端口,以便对所有发射端口进行同步测量
触发功率传感器,使其同时开始采样。确保所有传感器采样之间的时间差小于 500 纳秒。
对于每个单独的采样点(时域),将所有端口同时采集的功率样本相加并存储。在后续步骤中使用这些相加后的样本。
步骤 3:
在存储的测量样本中找出每个脉冲串的起始时间和结束时间。
起始时间和结束时间定义为功率至少比步骤 2 中存储样本的最高值低 30 分贝的点。
如果动态范围不足,可能需要适当降低 30 分贝这个数值。
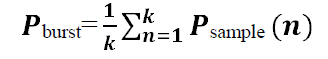
在每个单独的脉冲起始和停止时间之间,使用以下公式计算脉冲期间(Pburst)的均方根(平均)功率

其中,“k”代表样本总数,“n”代表实际样本数量。
所有 Pburst 值中最高的那个值是 A(单位为 dBm)
在最高功率水平 PH 下的射频输出功率(即有效辐射功率,e.i.r.p.)应根据上述测量的功率输出 A(以 dBm 表示)、所标明的天线组件增益 G(以 dBi 表示)以及(如适用)波束成形增益 Y(以 dB 表示)通过以下公式计算得出。如果针对此功率设置打算使用多个天线组件,则应使用增益最高的天线组件的增益:

方法3:对于不具备连续传输能力且在两个子频段同时进行传输的设备
此选项适用于在两个子频段同时进行传输但无法配置为仅在其中一个子频段进行传输的设备。
此操作首先分别测量每个子频段的峰值功率,然后测量整体传输的峰值与平均功率比值,并利用此值通过测量的峰值功率值分别计算每个子频段的射频输出功率(e.i.r.p.)。
测试程序如下:
步骤 1:测量下低频子带内的总峰值功率。

确保频谱分析仪的本底噪声至少比功率包络峰值低 30 分贝到 40 分贝。如果无法做到这一点(例如在进行辐射测量时),则将信道功率功能的带宽降低到仍略高于标称信道带宽的值(例如,高出 10%),以避免本底噪声影响测量结果。
- 当扫描完成后,使用 “信道功率” 功能来测量 5150 兆赫兹至 5350 兆赫兹频段内发射信号的总峰值功率。
- 对于具有多条发射链路的设备进行传导测量时,上述步骤应针对每条激活的发射链路重复进行。应将测量结果相加,以得出 5150 兆赫兹至 5350 兆赫兹频段内发射信号的总峰值功率。
步骤 2:测量上子频段内的总峰值功率。
将起始频率设置为 5420 兆赫兹,终止频率设置为 5775 兆赫兹。
确保频谱分析仪的本底噪声至少比功率包络峰值低 30 至 40 分贝。若无法达到这一要求(例如在进行辐射测量时),则将信道功率功能的带宽调至略高于标称信道带宽的值(例如高出 10%),以避免本底噪声对测量结果产生影响。
扫描完成后,使用 “信道功率” 功能测量 5470 兆赫兹至 5725 兆赫兹频段内所有发射信号的总峰值功率。
对于有多条发射链路的设备进行传导测量时,上述步骤应针对每条激活的发射链路重复进行。测量结果应相加,以得出 5470 兆赫兹至 5725 兆赫兹频段内发射信号的总峰值功率。
步骤 3:计算总峰值功率。
将步骤 1 中测得的 5150 兆赫兹至 5350 兆赫兹频段的测量值与步骤 2 中测得的 5470 兆赫兹至 5725 兆赫兹频段的测量值相加,从而计算出总峰值功率。
现代频谱分析仪或许能够在一次测量中就测出两个子频段的峰值功率,在这种情况下,步骤 1 和步骤 2 可以合并进行。
步骤 4:测量总平均输出功率。
使用适用于 6 GHz 的快速功率传感器对设备的发射信号进行采样,并保存原始样本。这些样本应能代表信号的均方根功率。
设置:
采样速度:1 MS/s 或更快。
测量时长:要足够长,以至少捕获 10 个发射脉冲串。
对于具有一条发射链路的设备进行传导测量时:
将功率传感器连接到发射端口,对发射信号进行采样并存储原始数据。在后续所有步骤中使用这些存储的样本。
对于具有多条发射链路的设备进行传导测量时:
将一个功率传感器连接到每个发射端口,以便对所有发射端口进行同步测量。
触发功率传感器,使其同时开始采样。确保所有传感器采样之间的时间差小于 500 纳秒。
对于每个单独的采样点(时域),将所有端口同时采集的功率样本相加并存储。在后续所有步骤中使用这些相加后的样本。
在存储的测量样本中找出每个脉冲串的起始时间和结束时间。
起始时间和结束时间定义为功率至少比存储样本的最高值低 30 dB 的点。若动态范围不足,可能需要适当降低 30 dB 这个数值。
在每个单独脉冲串的起始时间和结束时间之间,使用以下公式计算该脉冲串的均方根(平均)功率(Pburst):

其中,“k”代表样本总数,“n”代表实际样本数量。
所有 Pburst 值中最高的就是总平均输出功率,这个值将用于后续的计算。
第 5 步:计算峰值与平均功率比。
利用步骤 3 中计算出的总峰值功率值以及步骤 4 中测量到的总平均输出功率的最大值,以分贝为单位计算峰值与平均功率比。
步骤 6:计算每个子频段的射频输出功率(有效全向辐射功率,e.i.r.p.)。
对于每个子频段,应根据在步骤 5 中得到的峰值功率与平均功率之比,以及每个子频段中测得的峰值功率值(见步骤 1 和步骤 2),来计算最高功率电平 PH 下的射频输出功率(有效全向辐射功率)。这些值(以 dBm 为单位的值 A)将用于最大有效全向辐射功率的计算:
加上单个天线单元(标明的)以 dBi 为单位的天线组件增益 G。
若适用,加上以 dB 为单位的额外波束成形增益 Y。
若针对此功率设置使用了不止一个天线组件,则应使用最大的总天线增益(G 或 G + Y):
对于每个子频段,应使用以下公式计算 PH(有效全向辐射功率)。

(3)TPC 范围内最低功率水平下的射频输出功率 - PL
方法1:对于具有连续传输能力的设备,或者对于以恒定工作周期运行(或具备运行该周期的能力)的设备(例如基于帧的设备)
此选项适用于仅在一个子频段内运行的设备,或者能够同时在两个子频段内运行的设备(但出于测试目的,该设备可配置为:
- 持续发射模式运行或以恒定工作周期(x)运行,
- 仅在其中一个子频段内运行。
步骤 1 和步骤 2:
见第 PH的步骤 1 和步骤 2。
在第 PH步骤 1 中进行的占空比测量可能无需重复。
步骤3:
最低功率电平 PL 下的射频输出功率(有效全向辐射功率,e.i.r.p.)应根据上述测得的功率输出值 A(单位为 dBm)、观测到的占空比 x、标明的以 dBi 为单位的天线增益 G,以及(若适用)以 dB 为单位的波束成形增益 Y,按照以下公式进行计算。该值应记录在测试报告中。如果针对此功率设置或发射功率控制(TPC)范围使用了不止一个天线组件,则应使用增益最高的天线组件的增益。
![]()
方法 2:对于不具备连续传输能力且仅在一个子频段内运行(或具备在仅一个子频段内运行的能力)的设备
- 能够在两个子频段中运行,但不能同时在两个子频段运行的设备;或者能够同时在两个子频段中运行,但为了测试目的,可以配置为仅在一个子频段中发射信号的设备。
- 能够同时在两个子频段中发射信号且无法配置为仅在一个子频段中发射信号的设备,应使用方法 3 进行测试。
步骤 1到步骤4:
可以参考PH中的步骤
步骤 5:
在最高功率水平 PL 下的射频输出功率(即有效辐射功率,e.i.r.p.)应根据上述测量的功率输出 A(以 dBm 表示)、所标明的天线组件增益 G(以 dBi 表示)以及(如适用)波束成形增益 Y(以 dB 表示)通过以下公式计算得出。如果针对此功率设置打算使用多个天线组件,则应使用增益最高的天线组件的增益:
![]()
方法3:对于不具备连续传输能力且在两个子频段同时进行传输的设备
此选项适用于在两个子频段同时进行传输但无法配置为仅在其中一个子频段进行传输的设备。
此操作首先分别测量每个子频段的峰值功率,然后测量整体传输的峰值与平均功率比值,并利用此值通过测量的峰值功率值分别计算每个子频段的射频输出功率(e.i.r.p.)。
测试程序如下:
步骤 1:测量下低频子带内的总峰值功率。

确保频谱分析仪的本底噪声至少比功率包络峰值低 30 分贝到 40 分贝。如果无法做到这一点(例如在进行辐射测量时),则将信道功率功能的带宽降低到仍略高于标称信道带宽的值(例如,高出 10%),以避免本底噪声影响测量结果。
- 当扫描完成后,使用 “信道功率” 功能来测量 5150 兆赫兹至 5350 兆赫兹频段内发射信号的总峰值功率。
- 对于具有多条发射链路的设备进行传导测量时,上述步骤应针对每条激活的发射链路重复进行。应将测量结果相加,以得出 5150 兆赫兹至 5350 兆赫兹频段内发射信号的总峰值功率。
步骤 2:测量上子频段内的总峰值功率。
- 将起始频率设置为 5420 兆赫兹,终止频率设置为 5775 兆赫兹。
- 确保频谱分析仪的本底噪声至少比功率包络峰值低 30 至 40 分贝。若无法达到这一要求(例如在进行辐射测量时),则将信道功率功能的带宽调至略高于标称信道带宽的值(例如高出 10%),以避免本底噪声对测量结果产生影响。
- 扫描完成后,使用 “信道功率” 功能测量 5470 兆赫兹至 5725 兆赫兹频段内所有发射信号的总峰值功率。
- 对于有多条发射链路的设备进行传导测量时,上述步骤应针对每条激活的发射链路重复进行。测量结果应相加,以得出 5470 兆赫兹至 5725 兆赫兹频段内发射信号的总峰值功率。
步骤 3:计算总峰值功率。
将步骤 1 中测得的 5150 兆赫兹至 5350 兆赫兹频段的测量值与步骤 2 中测得的 5470 兆赫兹至 5725 兆赫兹频段的测量值相加,从而计算出总峰值功率。
现代频谱分析仪或许能够在一次测量中就测出两个子频段的峰值功率,在这种情况下,步骤 1 和步骤 2 可以合并进行。
步骤 4:测量总平均输出功率。
使用适用于 6 GHz 的快速功率传感器对设备的发射信号进行采样,并保存原始样本。这些样本应能代表信号的均方根功率。
设置:
采样速度:1 MS/s 或更快。
测量时长:要足够长,以至少捕获 10 个发射脉冲串。
对于具有一条发射链路的设备进行传导测量时:
将功率传感器连接到发射端口,对发射信号进行采样并存储原始数据。在后续所有步骤中使用这些存储的样本。
对于具有多条发射链路的设备进行传导测量时:
将一个功率传感器连接到每个发射端口,以便对所有发射端口进行同步测量。
触发功率传感器,使其同时开始采样。确保所有传感器采样之间的时间差小于 500 纳秒。
对于每个单独的采样点(时域),将所有端口同时采集的功率样本相加并存储。在后续所有步骤中使用这些相加后的样本。
在存储的测量样本中找出每个脉冲串的起始时间和结束时间。
起始时间和结束时间定义为功率至少比存储样本的最高值低 30 dB 的点。若动态范围不足,可能需要适当降低 30 dB 这个数值。
在每个单独脉冲串的起始时间和结束时间之间,使用以下公式计算该脉冲串的均方根(平均)功率(Pburst):

其中,“k”代表样本总数,“n”代表实际样本数量。
所有 Pburst 值中最高的就是总平均输出功率,这个值将用于后续的计算。
第 5 步:计算峰值与平均功率比。
利用步骤 3 中计算出的总峰值功率值以及步骤 4 中测量到的总平均输出功率的最大值,以分贝为单位计算峰值与平均功率比。
步骤 6:计算每个子频段的射频输出功率(有效全向辐射功率,e.i.r.p.)。
对于每个子频段,应根据在步骤 5 中得到的峰值功率与平均功率之比,以及每个子频段中测得的峰值功率值(见步骤 1 和步骤 2),来计算最高功率电平 PH 下的射频输出功率(有效全向辐射功率)。这些值(以 dBm 为单位的值 A)将用于最大有效全向辐射功率的计算:
- 加上单个天线单元(标明的)以 dBi 为单位的天线组件增益 G。
- 若适用,加上以 dB 为单位的额外波束成形增益 Y。
- 若针对此功率设置使用了不止一个天线组件,则应使用最大的总天线增益(G 或 G + Y):
- 对于每个子频段,应使用以下公式计算 PH(有效全向辐射功率)。

三、PSD测试方法
(1)测试条件
这些测量应仅在正常测试条件下进行
被测设备(UUT)应配置为在最低标称信道带宽下运行,且满足以下情况之一:
- 在其发射功率控制(TPC)范围内的最高标称发射机输出功率电平;
- 若设备不具备发射功率控制(TPC)功能,则为设备所标明的最大发射机输出功率电平。
方法 1:对于具有连续传输能力的设备,或者对于以恒定工作周期运行(或具备运行该工作周期的能力)的设备(例如基于帧的设备)
步骤1:
- 中心频率:被测通道的中心频率
- RBW:1 MHz
- VBW:3 MHz
- 频率跨度:2 倍标称带宽(例如,对于 20 MHz 的通道,频率跨度为 40 MHz)
- 检测器模式:峰值
- 跟踪模式:最大值保持模式
步骤2:
当轨迹绘稳定时,找到功率包络的峰值并记录频率。
步骤3:
- 中心频率:等于步骤 2 中记录的频率
- 频率跨度:3 MHz
- RBW:1 MHz
- VBW:3 MHz
- 扫描时间:1 分钟
- 检测器模式:均方根值
- 跟踪模式:最大保持值
步骤4:
- 当完成跟踪操作后,应使用频谱分析仪上的"Hold" or "View"选项来捕获跟踪数据。
- 找到跟踪数据中的峰值值,并将分析仪标记置于该峰值处。此数值被记录为 1 MHz 带宽内的最高平均功率(功率密度)D。
- 或者,如果频谱分析仪具备测量频谱功率密度的功能,可以使用该功能以 dBm / MHz 的单位显示功率密度 D。
- 对于同时在多个发射链路激活模式下运行的智能天线系统进行传导测量的情况,应分别测量每个发射链路的功率密度,以计算 UUT 的总功率密度(值为 dBm / MHz)的 D。
步骤5:
根据上述测量得到的功率密度 D、观察到的占空比 x、适用的天线组件增益 G(单位为 dBi)以及(如适用)波束成形增益 Y(单位为 dB),按照以下公式计算最大频谱功率密度有效辐射功率(e.i.r.p.)。此值应在测试报告中予以记录。如果针对此功率设置预期使用多个天线组件,则应使用增益最高的天线组件的增益。
![]()
方法 2:对于不具备连续传输能力且不具备以恒定工作周期进行传输能力的设备
如果设备存在非连续传输,并且无法配置为连续传输或采用恒定的工作周期,则可以使用此方法。
对于在两个子频段同时进行传输的设备,应在每个子频段分别测量功率密度,并将其与规定的适用限值进行比较。
步骤1:
- 起始频率:适用子频带的下限边频(例如 5150 MHz 或 5470 MHz)
- 截止频率:适用子频带的上限边频(例如 5350 MHz 或 5725 MHz)
- RBW:10 kHz
- VBW:30 kHz
- 扫描点数:> 20000(适用于 5150 MHz 至 5350 MHz)
- > 25500(适用于 5470 MHz 至 5725 MHz)
- 对于不支持此数量扫描点数的频谱分析仪,频率带宽可以进行分割。
- 检测器模式:均方根值
- 跟踪模式:最大保持值
- 扫描时间:30 秒
对于非连续信号,等待其轨迹稳定下来。将(轨迹)数据集保存到一个文件中。
步骤2:
对于使用操作模式 2 或操作模式 3 进行的智能天线系统的导通测量,针对每个发射端口重复测量。对于每个采样点(频域),将不同发射链路的重合功率值(单位:毫瓦)相加,并以此作为新的数据集。
使用以下公式将文件中所有样本的功率值相加。

其中,“k”代表样本总数,“n”代表实际样本数量。
将功率(以 dBm 为单位)的各个数值进行归一化处理,使其总和等于本子频段中中所测量的射频输出功率(e.i.r.p.)。
可以使用以下公式:

其中“n”代表实际的样本数量
步骤5:
从文件中的第一个样本“PSamplecorr(n)”(频率最低的那个)开始,将以下代表 1 MHz 段的样本的功率(单位为毫瓦)相加,并记录功率和位置(即样本 #1 至样本 #100)的结果。这是第一个 1 MHz 段的功率密度(有效辐射功率),需将其保存下来。
步骤6:
将步骤 5 中累加的样本的起始点向前移动一个样本位置,并重复步骤 5 中的操作(即从样本 #2 到样本 #101)。
步骤7:
重复执行步骤 6,直至数据集结束,并保存每个 1 MHz 段的辐射功率密度值。
• 从所有保存的结果中,最高值即为被测单元(UUT)的最大功率密度(e.i.r.p.)。此值应符合第 4.2.3.2.2 条表 2 中所规定的限值,并应在测试报告中记录下来。
有自动化需求可以留言沟通