1. 决策树-分类
1.1 概念
1. 决策节点 通过条件判断而进行分支选择的节点。如:将某个样本中的属性值(特征值)与决策节点上的值进行比较,从而判断它的流向。
2. 叶子节点 没有子节点的节点,表示最终的决策结果。
3. 决策树的深度 所有节点的最大层次数,决策树具有一定的层次结构,根节点的层次数定为0,从下面开始每一层子节点层次数增加。
4. 决策树优点:可视化 - 可解释能力-对算力要求低。
5. 决策树缺点:容易产生过拟合,所以不要把深度调整太大了。


| 是动物 | 能飞 | 有羽毛 | |
| 麻雀 | 1 | 1 | 1 |
| 蝙蝠 | 1 | 1 | 0 |
| 飞机 | 0 | 1 | 0 |
| 熊猫 | 1 | 0 | 0 |
是否为动物:
| 是动物 | 能飞 | 有羽毛 | |
| 麻雀 | 1 | 1 | 1 |
| 蝙蝠 | 1 | 1 | 0 |
| 熊猫 | 1 | 0 | 0 |
是否会飞:
| 是动物 | 能飞 | 有羽毛 | |
| 麻雀 | 1 | 1 | 1 |
| 蝙蝠 | 1 | 1 | 0 |
是否有羽毛:
| 是动物 | 能飞 | 有羽毛 | |
| 麻雀 | 1 | 1 | 1 |
1.2 基于信息增益决策树的建立
信息增益决策树倾向于选择取值较多的属性,在有些情况下这类属性可能不会提供太多有价值的信息,算法只能对描述属性为离散型属性的数据集构造决策树。
根据以下信息构建一棵预测是否贷款的决策树。我们可以看到有4个影响因素:职业,年龄,收入和学历。
| 职业 | 年龄 | 收入 | 学历 | 是否贷款 | |
| 1 | 工人 | 36 | 5500 | 高中 | 否 |
| 2 | 工人 | 42 | 2800 | 初中 | 是 |
| 3 | 白领 | 45 | 3300 | 小学 | 是 |
| 4 | 白领 | 25 | 10000 | 本科 | 是 |
| 5 | 白领 | 32 | 8000 | 硕士 | 否 |
| 6 | 白领 | 28 | 13000 | 博士 | 是 |
(1)信息熵:信息熵描述的是不确定性。信息熵越大,不确定性越大。信息熵的值越小,则D的纯度越高。
假设样本集合D共有N类,第k类样本所占比例为,则D的信息熵为:
![]()
(2)信息增益:信息增益是一个统计量,用来描述一个属性区分数据样本的能力。信息增益越大,那么决策树就会越简洁。这里信息增益的程度用信息熵的变化程度来衡量, 信息增益公式:![]()
(3 )信息增益决策树建立步骤:第一步,计算根节点的信息熵上表根据是否贷款把样本分成2类样本,"是"占4/6=2/3, "否"占2/6=1/3,所以
;第二步,计算属性的信息增益:
<1> "职业"属性的信息增益
,在职业中,工人占1/3, 工人中,是否代款各占1/2, 所以有
,在职业中,白领占2/3, 白领中,是贷款占3/4, 不贷款占1/4, 所以有
,所以有
,最后得到职业属性的信息增益为:
。
<2>" 年龄"属性的信息增益(以35岁为界)
![]()
<3> "收入"属性的信息增益(以10000为界,大于等于10000为一类)

<4> "学历"属性的信息增益(以高中为界, 大于等于高中的为一类)

第三步,划分属性,对比属性信息增益发现,"收入"和"学历"相等,并且是最高的,所以我们就可以选择"学历"或"收入"作为第一个决策树的节点, 接下来我们继续重复1,2的做法继续寻找合适的属性节点。

1.3 基于基尼指数决策树的建立(了解)
基尼指数(Gini Index)是决策树算法中用于评估数据集纯度的一种度量,基尼指数衡量的是数据集的不纯度,或者说分类的不确定性。在构建决策树时,基尼指数被用来决定如何对数据集进行最优划分,以减少不纯度。
基尼指数的计算:对于一个二分类问题,如果一个节点包含的样本属于正类的概率是 (p),则属于负类的概率是 (1-p)。那么,这个节点的基尼指数 (Gini(p)) 定义为:
对于多分类问题,如果一个节点包含的样本属于第 k 类的概率是 p_k,则节点的基尼指数定义为:
基尼指数的意义:1. 当一个节点的所有样本都属于同一类别时,基尼指数为 0,表示纯度最高。2. 当一个节点的样本均匀分布在所有类别时,基尼指数最大,表示纯度最低。
决策树中的应用:在构建决策树时,我们希望每个内部节点的子节点能更纯,即基尼指数更小。因此,选择分割特征和分割点的目标是使子节点的平均基尼指数最小化。具体来说,对于一个特征,我们计算其所有可能的分割点对应的子节点的加权平均基尼指数,然后选择最小化这个值的分割点。这个过程会在所有特征中重复,直到找到最佳的分割特征和分割点。
例如,考虑一个数据集 (D),其中包含 (N) 个样本,特征 (A) 将数据集分割为 |D_1|和 |D_2| ,则特征 (A) 的基尼指数为:
其中 |D_1|和 |D_2| 分别是子集 D_1 和 D_2 中的样本数量。
通过这样的方式,决策树算法逐步构建一棵树,每一层的节点都尽可能地减少基尼指数,最终达到对数据集的有效分类。
案例:


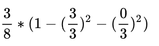
首先工资有两个取值,分别是0和1。当工资=1时,有3个样本。所以:

同时,在这三个样本中,工作都是好。所以:
![]()
就有了加号左边的式子:
![]()
同理,当工资=0时,有5个样本,在这五个样本中,工作有3个是不好,2个是好。就有了加号右边的式子:
![]()
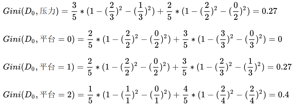
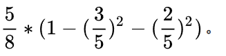
同理,可得压力的基尼指数如下:

平台的基尼指数如下:

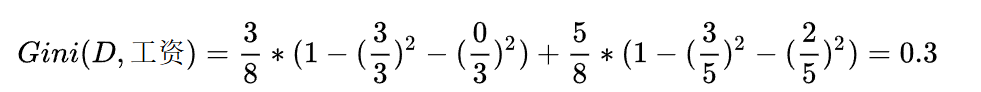
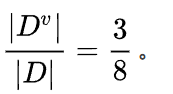
在计算时,工资和平台的计算方式有明显的不同。因为工资只有两个取值0和1,而平台有三个取值0,1,2。所以在计算时,需要将平台的每一个取值都单独进行计算。比如:当平台=0时,将数据集分为两部分,第一部分是平台=0,第二部分是平台!=0(分母是5的原因)。根据基尼指数最小准则, 我们优先选择工资或者平台=0作为D的第一特征。
我们选择工资作为第一特征,那么当工资=1时,工作=好,无需继续划分。当工资=0时,需要继续划分。
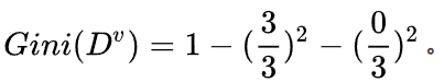
当工资=0时,继续计算基尼指数:

当平台=0时,基尼指数=0,可以优先选择。同时,当平台=0时,工作都是好,无需继续划分,当平台=1,2时,工作都是不好,也无需继续划分。直接把1,2放到树的一个结点就可以。
1.4 API介绍
class sklearn.tree.DecisionTreeClassifier(....)
参数:
criterion "gini" "entropy” 默认为="gini" 当criterion取值为"gini"时采用 基尼不纯度(Gini impurity)算法构造决策树,当criterion取值为"entropy”时采用信息增益( information gain)算法构造决策树.
max_depth int, 默认为=None 树的最大深度# 可视化决策树
function sklearn.tree.export_graphviz(estimator, out_file="iris_tree.dot", feature_names=iris.feature_names)
参数:estimator决策树预估器out_file生成的文档feature_names节点特征属性名
功能:把生成的文档打开,复制出内容粘贴到"http://webgraphviz.com/"中,点击"generate Graph"会生成一个树型的决策树图
示例:
from sklearn.datasets import load_iris
from sklearn.model_selection import train_test_split
from sklearn.preprocessing import StandardScaler
from sklearn.tree import DecisionTreeClassifier, export_graphviz# 1)获取数据集
iris = load_iris()# 2)划分数据集
x_train, x_test, y_train, y_test = train_test_split(iris.data, iris.target, random_state=22)#3)标准化
transfer = StandardScaler()
x_train = transfer.fit_transform(x_train)
x_test = transfer.transform(x_test)# 4)决策树预估器
estimator = DecisionTreeClassifier(criterion="entropy")estimator.fit(x_train, y_train)# 5)模型评估,计算准确率
score = estimator.score(x_test, y_test)
print("准确率为:\n", score)# 6)预测
index=estimator.predict([[2,2,3,1]])
print("预测:\n",index,iris.target_names,iris.target_names[index])# 可视化决策树
export_graphviz(estimator, out_file="iris_tree.dot", feature_names=iris.feature_names)
把文件"iris_tree.dot"内容粘贴到"Webgraphviz"点击"generate Graph"决策树图:

示例:
import pandas as pd
from sklearn.model_selection import train_test_split
from sklearn.feature_extraction import DictVectorizer
from sklearn.tree import DecisionTreeClassifier, export_graphviz
# 1、获取数据
titanic = pd.read_csv("src/titanic/titanic.csv")
titanic.head()
# 筛选特征值和目标值
x = titanic[["pclass", "age", "sex"]]
y = titanic["survived"]#2、数据处理
# 1)缺失值处理, 因为其中age有缺失值。
x["age"].fillna(x["age"].mean(), inplace=True)# 2) 转换成字典, 因为其中数据必须为数字才能进行决策树,所在先转成字典,后面又字典特征抽取,这样之后的数据就会是数字了, 鸢尾花的数据本来就全部是数字,所以不需要这一步。
"""
x.to_dict(orient="records") 这个方法通常用于 Pandas DataFrame 对象,用来将 DataFrame 转换为一个列表,其中列表的每一个元素是一个字典,对应于 DataFrame 中的一行记录。字典的键是 DataFrame 的列名,值则是该行中对应的列值。
假设你有一个如下所示的 DataFrame x:A B C
0 1 4 7
1 2 5 8
2 3 6 9
执行 x.to_dict(orient="records"),你会得到这样的输出:
[{'A': 1, 'B': 4, 'C': 7},{'A': 2, 'B': 5, 'C': 8},{'A': 3, 'B': 6, 'C': 9}
]
"""
x = x.to_dict(orient="records")
# 3)、数据集划分
x_train, x_test, y_train, y_test = train_test_split(x, y, random_state=22)
# 4)、字典特征抽取
transfer = DictVectorizer()
x_train = transfer.fit_transform(x_train) #稀疏矩阵
x_test = transfer.transform(x_test)# 3)决策树预估器
estimator = DecisionTreeClassifier(criterion="entropy", max_depth=8)
estimator.fit(x_train, y_train)# 4)模型评估
# 方法1:直接比对真实值和预测值
y_predict = estimator.predict(x_test)
print("y_predict:\n", y_predict)
print("直接比对真实值和预测值:\n", y_test == y_predict)# 方法2:计算准确率
score = estimator.score(x_test, y_test)
print("准确率为:\n", score)# 6)预测
x_test = transfer.transform([{'pclass': '1rd', 'age': 22.0, 'sex': 'female'}])
index=estimator.predict(x_test)
print("预测1:\n",index)#[1] 头等舱的就可以活下来
x_test = transfer.transform([{'pclass': '3rd', 'age': 22.0, 'sex': 'female'}])
index=estimator.predict(x_test)
print("预测2:\n",index)#[0] 3等舱的活不下来# 可视化决策树
export_graphviz(estimator, out_file="titanic_tree.dot", feature_names=transfer.get_feature_names_out())
2. 集成学习方法之随机森林
机器学习中有一种大类叫集成学习(Ensemble Learning),集成学习的基本思想就是将多个分类器组合,从而实现一个预测效果更好的集成分类器。集成算法可以说从一方面验证了中国的一句老话:三个臭皮匠,赛过诸葛亮。集成算法大致可以分为:Bagging,Boosting 和 Stacking 三大类型。
(1)每次有放回地从训练集中取出 n 个训练样本,组成新的训练集;
(2)利用新的训练集,训练得到M个子模型;
(3)对于分类问题,采用投票的方法,得票最多子模型的分类类别为最终的类别;
随机森林就属于集成学习,是通过构建一个包含多个决策树(通常称为基学习器或弱学习器)的森林,每棵树都在不同的数据子集和特征子集上进行训练,最终通过投票或平均预测结果来产生更准确和稳健的预测。这种方法不仅提高了预测精度,也降低了过拟合风险,并且能够处理高维度和大规模数据集。
2.1 算法原理

-
随机: 特征随机,训练集随机
-
样本:对于一个总体训练集T,T中共有N个样本,每次有放回地随机选择n个样本。用这n个样本来训练一个决策树。
-
特征:假设训练集的特征个数为d,每次仅选择k(k<d)个来构建决策树。
-
-
森林: 多个决策树分类器构成的分类器, 因为随机,所以可以生成多个决策树
-
处理具有高维特征的输入样本,而且不需要降维
-
使用平均或者投票来提高预测精度和控制过拟合

2.2 API 介绍
class sklearn.ensemble.RandomForestClassifier参数:
n_estimators int, default=100
森林中树木的数量。(决策树个数)criterion {“gini”, “entropy”}, default=”gini” 决策树属性划分算法选择当criterion取值为“gini”时采用 基尼不纯度(Gini impurity)算法构造决策树,当criterion取值为 “entropy” 时采用信息增益( information gain)算法构造决策树.max_depth int, default=None 树的最大深度。
示例:
import pandas as pd
from sklearn.model_selection import train_test_split
from sklearn.feature_extraction import DictVectorizer
from sklearn.tree import export_graphviz
from sklearn.ensemble import RandomForestClassifier
from sklearn.model_selection import GridSearchCV# 1、获取数据
titanic = pd.read_csv("src/titanic/titanic.csv")
titanic.head()
# 筛选特征值和目标值
x = titanic[["pclass", "age", "sex"]]
y = titanic["survived"]#2、数据处理
# 1)缺失值处理
x["age"].fillna(x["age"].mean(), inplace=True)
# 2) 转换成字典
x = x.to_dict(orient="records")
# 3)、数据集划分
x_train, x_test, y_train, y_test = train_test_split(x, y, random_state=22)
# 4)、字典特征抽取
transfer = DictVectorizer()
x_train = transfer.fit_transform(x_train)
x_test = transfer.transform(x_test)'''
#3 预估: 不加网格搜索与交叉验证的代码
estimator = RandomForestClassifier(n_estimators=120, max_depth=5)
# 训练
estimator.fit(x_train, y_train)
'''#3 预估: 加网格搜索与交叉验证的代码
estimator = RandomForestClassifier()
# 参数准备 n_estimators树的数量, max_depth树的最大深度
param_dict = {"n_estimators": [120,200,300,500,800,1200], "max_depth": [5,8,15,25,30]}
# 加入网格搜索与交叉验证, cv=3表示3次交叉验证
estimator = GridSearchCV(estimator, param_grid=param_dict, cv=3)
# 训练
estimator.fit(x_train, y_train)# 5)模型评估
# 方法1:直接比对真实值和预测值
y_predict = estimator.predict(x_test)
print("y_predict:\n", y_predict)
print("直接比对真实值和预测值:\n", y_test == y_predict)# 方法2:计算准确率
score = estimator.score(x_test, y_test)
print("准确率为:\n", score)'''
加网格搜索与交叉验证的代码
print("最佳参数:\n", estimator.best_params_)
print("最佳结果:\n", estimator.best_score_)
print("最佳估计器:\n", estimator.best_estimator_)
print("交叉验证结果:\n", estimator.cv_results_)
'''
#估计运行花1min